Explore tweets tagged as #bayesianoptimization
🎯 Hyperparameter Optimization with Optuna — Completed! ✅ Implemented Bayesian Optimization (TPE) ✅ Applied dynamic & conditional search spaces Visualized parameter importance 🚀 #MachineLearning #Optuna #HyperparameterTuning #AI #DataScience #BayesianOptimization
0
0
0
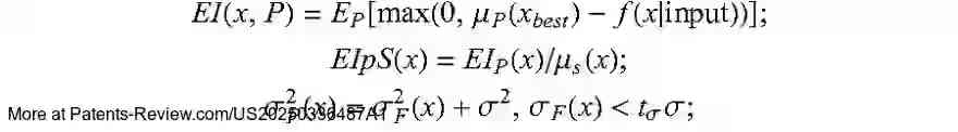
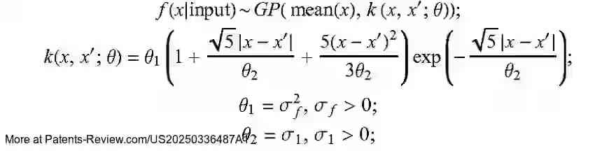
🚨 New patent application alert: #US20250336487A1 by #InstituteOfAtmosphericPhysics! Discover a novel method for reconstructing aerosol chemical components using #CNN, #BiLSTM, and #BayesianOptimization. This approach leverages multi-source environmental data, enhancing
0
0
0
Excited to see our few shot #BayesianOptimization for #DrugDiscovery algorithm ProfBO is being featured in our co-author Prof. @KChoNYC's KeyNote Talk at @NeurIPSConf-2025! ArXiv: https://t.co/TQ3I7viQ7F
0
0
2
Meta releases Ax 1.0 for automated machine learning optimization https://t.co/DtReN7g9Li
#Meta #MachineLearning #ArtificialIntelligence #BayesianOptimization #OpenSource
0
0
0
🚀 Stop wasting time with random search! Learn how Bayesian Optimization uses smart strategies like PI, EI, and UCB to find optimal solutions efficiently. 🎥 Watch the full video here: https://t.co/yKe8eTt7Zb
#MachineLearning #AI #BayesianOptimization
0
0
3
Thompson Sampling Via Fine-Tuning LLM for Bayesian Optimize Read more on https://t.co/A28UF4nfZi
#ThompsonSampling #ThompsonSamplingViaFineTuning #ToSFiT #Bayesianoptimization #largelanguagemodels #VariationalBayesianOptimisticSampling #Gaussianprocess #news #technews #technology
0
0
0
Exploring the Conformers of an Organic Molecule on a Metal Cluster with #BayesianOptimization #cheminformatics
https://t.co/HRXs0djwfr Vol63 Issue3 #JCIM #MachineLearning #DeepLearning
0
2
17
Just finished a session on "Hyperparameter Optimization with #Keras Tuner" Search Algorithms: BayesianOptimization, RandomSearch, GridSearch, Hyperband Tuner.... Thanks everyone for joining and many thanks @DelilahRose____, @ZindiAfrica for the opportunity #ML #KerasKnights
0
2
16
Want to find the best solution to a problem in just a few steps? Bayesian optimization does exactly that — smarter, faster, more efficient. 📺 Watch the full video here: https://t.co/yKe8eTtFOJ
#AI #MachineLearning #BayesianOptimization
0
0
1
Bayesian optimization isn't just smarter—it's faster and more efficient. 🧠 See how it beats grid and random search when finding the best outcome with fewer resources. 🎥 Watch full video here → https://t.co/yKe8eTtFOJ
#machinelearning #bayesianoptimization #AI
0
0
1
#mmd_publications2025 Materials and Design journal: 'Data-efficient #optimization of thermally-activated #polymer #actuators through #machinelearning'✨ @ElsevierConnect @sciencedirect 🔗➡️ https://t.co/KxcHK0nSBe
#mmd_aalto #aaltouniversity #Bayesianoptimization #ModelCom
1
0
0
#ベイズ最適化 ができるツール ※一例、有料含む ・miHub (MI-6社) https://t.co/xlfHdU3JB0 ・明治大学 金子研究室 https://t.co/r7qypTpfNb ・Datachemical LAB https://t.co/VRScV6Hm3T ・PHYSBO (東京大学) https://t.co/dAJ3gzjogv ・三井情報&東工大※試作版 https://t.co/SalDUi6Bto
0
16
72
Read #FeaturePaper "Outlier-Robust Surrogate Modeling of Ion–Solid Interaction Simulations" from Roland Preuss and Udo von Toussaint. https://t.co/MWfMIcJbgB
#Gaussianprocess
#Bayesianoptimization
#mixturelikelihood
0
0
0
🚀 Honored to host Bojana from @SchwallerGroup at GreenDynamics this week for our GD AI Seminar Series! She gave an inspiring talk on reframing Large Language Models as Bayesian optimizers for chemical discovery. 👏 Huge thanks to Bo #AI #LLM #BayesianOptimization #ChemistryAI
1
2
9
#EMST 🔥Using 2000-2019 data from Sichuan and Yunnan, China, this study optimizes LightGBM, RF, and SVM hyperparameters via Bayesian optimization (GP, TPE) with 18 driving factors.📝 @EmerMgtST #ForestFires #BayesianOptimization Details: https://t.co/F8segHXsoC
0
0
2
My PhD thesis on applications of C̶h̶a̶t̶G̶P̶T̶ #GaussianProcesses in the natural sciences is now available online! https://t.co/mhMHMHvaJo A belated thanks to my examiners! @andrewwhite01 and @pl219_Cambridge
#AI4Science #GaussianProcesses #BayesianOptimization
10
37
502