Explore tweets tagged as #RuralWA
@WAComDirector
Sarah Clifthorne
6 years
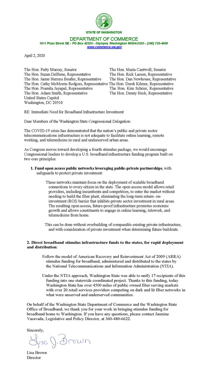
#COVID19 puts on full display that our #broadband infrastructure doesn't cut it. Learning & #telemedicine in #ruralWA & underserved areas suffering. I've asked our state's members of Congress to immediately direct funds & leverage partnerships for rapid development. My letter: ⬇️
3
18
48
@paper_collar
Marcus Sounness 🐑☘️🌾
7 years
Doing some recruiting at the moment. Great farm, great location #Stirlingranges, great job! Please share #farmjobs #ruralwa #ruraljobs
1
24
25
@WAComDirector
Sarah Clifthorne
5 years
Honored to speak @LifeScienceWA East West Summit today! #RuralWA communities need greater #broadband access for #healthcare, education & opportunity. #LifeSciences can help lead change by working to create innovative access solutions.
0
5
15
@WAComDirector
Sarah Clifthorne
6 years
Broadband improves care in #ruralWA @JohnTomkowiak of @WSUMedicine explains the problems and the opportunities!
0
2
7
@RD_WA_STATE
Rural Development WA
1 month
Washington State’s own USDA Rural Development leadership in D.C.! State Director Kirk Pearson and Deputy Director Peter McMillin at the FY 2026 State Directors Summit at USDA HQ, advocating for investments that lift rural communities. #RuralStrong #RuralWA
0
0
5
@WAComDirector
Sarah Clifthorne
5 years
The pandemic is hitting industries in profoundly different ways. This assistance is focused on hardest-hit sectors like restaurants & fitness centers. Equity a top priority for funds. Dollars will go to #ruralWA & those facing historic disadvantage. Live: https://t.co/Ii6H864bol
0
7
11
@WAComDirector
Sarah Clifthorne
7 years
Thank you to @noa__net for the tour of its #Spokane facility Many of its staff live in #ruralWA making bringing #broadband to remote areas personal. Our agency is pleased to be helping with this effort. We have the shared mission of equal broadband & opportunity for all.
0
2
8
@WAComDirector
Sarah Clifthorne
6 years
Thanks to @choosemason for inviting me to keynote annual luncheon today! Excited to share path we're taking to accelerate connecting #ruralWA to broadband & celebrate partnerships on infrastructure and business development. @alderbrook_
0
1
4
@WAStateCommerce
Washington State Department of Commerce
5 years
#WAState has 60+ years of space expertise. We're approaching 100 companies statewide spanning #ruralWA & urban communities. Much more work to do to continue growing our space startups. @GovInslee #Aerospace Sector Lead Robin Toth presents to #WALeg. Live: https://t.co/8fYcHDBs8F
5
9
37
@imontheroadagn
Erin Gorter
4 years
Congratulations @kelly_gorter for being named WA Rural Ambassador at #PerthRoyalShow awards dinner last night. Judging by all finalists, WA’s rural future is looking strong, passionate, full of energy & drive. Great interview this morning @Russell_Woolf #agindustry #ruralwa
9
4
120
@flydayjams
bailey 🕊
8 months
NEVER KILL YOURSELF #inlandwa #ruralwa #centralwa
1
1
4
@AgKitto
KittoAg
6 years
Lupins are looking happy right now The rain has been falling, tipped 12mm out today Spreading, spraying and watching these babies growing We’ll get some canola images up for you soon #plant2020 #agriculture #agricultureaustralia #agriculturewa #ruralwa #farmlife
1
0
26
@WAComDirector
Sarah Clifthorne
7 years
Congratulations to Sen. Wellman, Rep. Hudgins, Sen. Sheldon & Rep. Dye on enactment of SB 5511, expanding #broadband infrastructure in #ruralWA. Critical for #smallbiz, #healthcare & education. All #WAState needs equal access. @lisawellman44 @zackhudgins @repmarydye #waleg
0
7
7
@RuralHealthWes1
Rural Health West
4 years
Koolangka's Kreate know how to get a conference started in style 🙌 #AHC21 #aboriginalhealth #ruralhealthwest #ruralwa #ruralhealthwa
0
0
3
@RD_WA_STATE
Rural Development WA
1 year
Leavenworth is glowing with holiday cheer! ✨ The Village of Lights transforms this Bavarian gem into a magical winter wonderland, with dazzling lights on daily from 6 AM to 11 PM through February. Have you experienced this holiday delight? #MainStreetMonday #RuralWA
0
0
6
@DeSotoPhyllis
Phyllis De Soto
5 years
0
0
0
@ZiplyFiber
Ziply Fiber
5 years
We’re excited to announce our partnership with the Port of Whitman County to increase fiber access in southeastern Washington, especially now that it’s needed more than ever. https://t.co/X6TU8Pro32 #ruralWA
0
0
3
@bengmugenr
嘣呒哏儿
1 year
西澳的鄉村居然是這麼保存和添加柴油的。雖然設施都這麽潦草了,倒還是挺講究品牌且量化管理的。#WA #WesternAustralia #Varley #Wheatbelt #Rural #RuralWA #Diesel #LibertyRural #LibertyRuralDiesel #FuelTank #DieselTank
0
0
0