Explore tweets tagged as #MATLABMobile
@optinum
Opti-Num Solutions
8 years
Winner!! 🌈😎 #MATLABMobile
0
3
3
@michio_MWJ
michio inoue l MATLAB の中の人
2 years
できた👍 #MATLABMobile
@Evogel611
Takamitsu
2 years
@michio_MWJ r = @(u,v) cos(10.*u + 7.*v); funx = @(u,v) r(u,v).*sin(u).*cos(v); funy = @(u,v) r(u,v).*sin(u).*sin(v); funz = @(u,v) r(u,v).*cos(u); fsurfの例で遊んでたらできました笑 https://t.co/LRdz4hrcOt
0
2
23
@cafe_on_the
leftbank
2 years
ふぉおおお (制御系のライセンス持ってない) #MATLABMobile
0
0
4
@mikio_cse
Mikio @ MATLABのCustomer Successのエンジニア
6 years
ジムに通えなくなったこともあり、自宅でスクワットなどやっているのですが、スクワットをしている様子をMATLAB Mobileのセンサ情報を使って定量化してみようと。figureをみると… ・スクワット20回をほぼ同じ周期(1.2s)で行っている ・最初の5回くらい体が水平方向にぶれてる #MATLAB #MATLABMobile
1
12
41
@hnjhn716
のりへー
6 years
振動確認 #matlab #matlabmobile
1
0
2
@hnjhn716
のりへー
5 years
昼ラン終了。 汗が止まりません。。。 #matlabmobile #beatyesterday #garmin
0
0
7
@cafe_on_the
leftbank
2 years
おー、なるほど GUIは開けないけど、モデル実行はできるんですね! #MATLABMobile
@michio_MWJ
michio inoue l MATLAB の中の人
2 years
@cafe_on_the 確かに Simulink が使えるとは言えませんね・・失礼しました。ただ sim 実行はできそうです?
0
2
9
@hnjhn716
のりへー
6 years
基礎?の確認 振動なし フローリングでやった方がよかったか #matlab #matlabmobile
0
0
2
@hnjhn716
のりへー
4 years
えーっと、とりあえずF5押すか ・・・ パシャ!! #MATLAB #MATLABMobile
0
0
6
@hnjhn716
のりへー
4 years
スマホでこれ出てくるとちょっと感動する #matlabmobile
@michio_MWJ
michio inoue l MATLAB の中の人
4 years
「これが 280 文字以内で描けるの?」みたいな投稿を見つけるとついクリックしちゃって時間が溶ける・・ さて、こちらの絵は何文字で描かれているでしょう!?答えはこちら⬇️ https://t.co/iIMVuIxy2R #MATLABCentral
0
2
6
@Navajadeoccamm
Daniel Monzón
3 years
0
0
1
@cafe_on_the
leftbank
4 years
なるほどね MATLAB Mobileで記録したGPSデータも簡単に表示できるんだ (先週出かけたときにログ取ろうと思ってて忘れたので仮想データです) #MATLAB #MATLABMobile
0
0
4
@JamesjHorton
James Horton
11 years
0
0
2
@hnjhn716
のりへー
5 years
在宅なので昼休みは家の周りをランニング🏃‍♂️ シャワー直行できるのが最高 #beatyesterday #garmin #matlabmobile
0
0
3
@MathWorks
MathWorks
8 years
Race cars, arm robots and a GPS App = 2017 Mobile Devices Challenge Winners! https://t.co/ZRdbtX52gy #matlabmobile
0
7
8
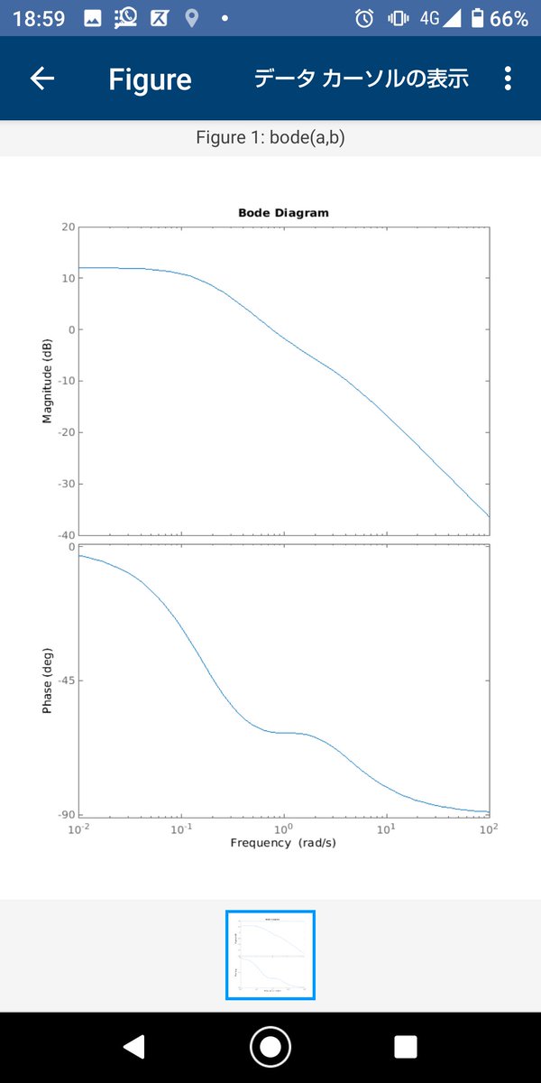
@takuyaMI7
イマタク
4 years
ボード線図もちゃんとかけた! これ無料ってまじすか?! #MATLABmobile
0
0
6
@hnjhn716
のりへー
6 years
標高追加。 嫁さんと2人で出た佐久市競歩大会(78キロ) 喧嘩しながら歩いたな〜笑 ガーミンでもちろん見れるわけですけど 楽しいこれ😃 #matlabmobile #garmin
1
1
4
@hnjhn716
のりへー
5 years
雨かと思ったら見事に止んでいたので、🍜は中止して昼ラン! 田んぼの側溝でドデカいさかなを見て追っかけていたら予定より遠くまで行ってしまった笑 #beatyesterday #garmin #MATLABMobile
0
0
5