Explore tweets tagged as #FishCognition
@IvanVin_
Ivan Vinogradov
2 years
Exciting announcement: I will be giving my #PhD exit seminar on #fishcognition on September 21st at 4 pm (AEST). "Aquatic IQs: Fish cognition, its predictors, and adaptive value" ๐ŸŸ๐Ÿง  Zoom: https://t.co/CDm1hraPhg Password: 820203
1
1
18
@mbenskydesigns
Miles Bensky
6 years
First of what I hope to be many training buddies #largemouthbass #fishcognition
0
0
5
@Harryfsuter
Harry Suter
3 years
Buzzing to be giving a talk at #ISBE2022 tomorrow! Come catch me in the morning cognition session (11:25) to find out how/why dominants and subordinates differ in their cognitive abilities ๐Ÿ ๐Ÿง  #CognitiveEvolution #FishCognition #CooperativeBreeding
0
7
39
@AnimalisticThe
TheAnimalisticPodcast
4 years
So many notes from last week's interview! Sure to be an interesting episode on #fishcognition and #fishwelfare this Sunday!
0
1
1
@RSocPublishing
Royal Society Publishing
2 years
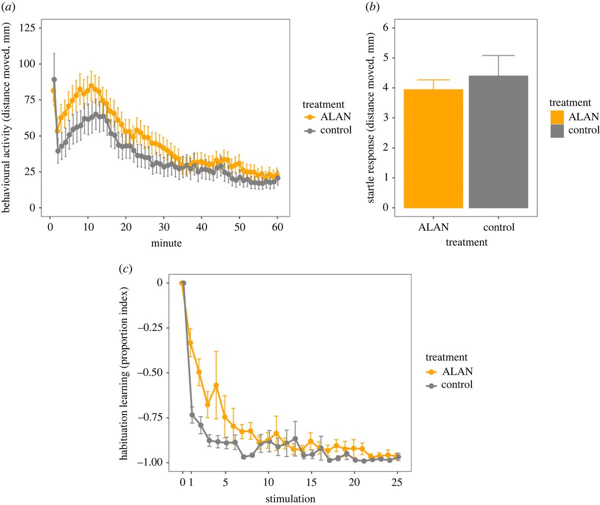
Embryonic exposure to artificial light at night impairs learning abilities and their covariance with behavioural traits in teleost fish https://t.co/Rl0ljGgrmI, new from @TLuconXiccato | #BiologyLetters #fishcognition #zebrafish #lightpollution
0
2
6
@JMichelleLavery
Michelle Lavery
8 years
Had a great experience this weekend explaining exciting examples of fishes' cognitive abilities at a Christmas party full of non-scientists - they genuinely seemed interested! Good to be reminded that #fishwelfare and #fishcognition matter to the public too :) ๐Ÿ‘
0
0
5
@SubreddOfTheDay
SubbredditOfTheDay
7 years
January 6th - /r/FishCognition: Fish cognition and behaviour
0
0
0
@RichardSsuna
Dr Richard Ssuna
9 months
Bluestreak cleaner wrasses use reflections to size up opponents before fights! New study shows these fish have self-awareness, using mirrors for strategic aggression. #FishCognition #AnimalIntelligence #Science
0
0
0
@hissandmiss
abandoned spaceship
8 years
Behavioral biologist contend how Betta fish are so obvious about their depression due to lack of stimulation #fishcognition #neurochemistry
@hissandmiss
abandoned spaceship
8 years
Fish Depression Is Not a Joke
0
0
0
@JuanWang_Eco
Juan Wang
6 years
๐Ÿ  Fish are amazing! #fishcognition #UnimelbScicomm
@m_hendleyy
Michael Hendley
6 years
Me blaming the fish and not my horrible skills after not catching anything out on the bay. Great talk @JuanWang_Eco about the learning capabilities of fish in regards to catch and release programs #unimelbscicomm
0
1
2
@mbenskydesigns
Miles Bensky
5 years
New paper published! Looked at individual differences in #behavior and #learning in #stickleback. Found cool correlations/trade offs with reversal learning flexibility but the timing of the measurement was important #fishcognition #Science #somanytrials
0
4
20
@ast309
J Craig Wheeler
4 months
Fish can learn, solve problems & strategizeโ€”just like more complex animals. New study shows guppies & sticklebacks adapt, persist & even learn socially in the wild. ๐ŸŸ๐Ÿง  Read more: https://t.co/m0C6pdyGRd #AnimalConsciousness #FishCognition
0
0
0
@poozyfax
Ryan P.
11 years
We have a set number of brain cells (neurons), whereas fish continuously grow new neurons #sciencefax #fishcognition #neurogenesis
1
1
1
@Kiloueka
Nierly-Amazing๐ŸŒฑ๐Ÿณ๏ธโ€๐ŸŒˆ
5 years
"Fish 'are much smarter than people give them credit for' says Australian marine biologist Culum Brown" https://t.co/MhQ9yxgNSc #carp #carptwt /r/fishcognition
0
1
1
@Kiloueka
Nierly-Amazing๐ŸŒฑ๐Ÿณ๏ธโ€๐ŸŒˆ
5 years
"Many people assume that fish are less intelligent than mammals, but it turns out that isnโ€™t true at all - they are actually way smarter than you probably give them credit for." https://t.co/JjNJMrhTsv #carp #carptwt /r/fishcognition
0
1
0
@Steffi_Giersz
Dr. Stefanie Gierszewski
8 years
#Fish do count! ๐ŸŸ๐ŸŸ๐ŸŸ ๐Ÿ โ—๏ธ3๏ธโƒฃ#fishsci #TeamFish #FishCognition
@GoatsThatStare
Christian Nawroth
8 years
Understanding the origin of number sense: a review of fish studies https://t.co/tWjjTSS1I2
0
0
1
@Q_PETITJEAN
Quentin PETITJEAN, PhD
6 years
New open-access perspective article on the Effects of #Pollution on Fish Behaviour, Personality, and Cognition out in @FrontEcolEvol ๐Ÿ ๐Ÿก๐ŸŸ Thanks to @jacquin_lisa for this great collaboration @EDB_Lab #Fishbehaviour #FishPersonality #Fishcognition โžก๏ธ https://t.co/WZksHdzb6X
0
2
7
@Kiloueka
Nierly-Amazing๐ŸŒฑ๐Ÿณ๏ธโ€๐ŸŒˆ
5 years
As animals and invertebrates adapt to rising ocean temperatures, their brains might be changing, too. https://t.co/AhtvC6zoOm #carp #carptwt /r/fishcognition
0
0
0
@TheManyFishes
ManyFishes
2 years
@NickARJones and co-organizers: Thanks for the opportunity to spread the word about @TheManyFishes initiative @2023Behaviour!!! #BigTeamScience #OpenScience #FishCognition
@NickARJones
Nick
2 years
The methods in fish cognition symposium is over โ€“ but this is not the end! I am looking forward to working on the plans we developed together in the workshop, publication of the work presented by the symposium speakers, and @TheManyFishes.
0
6
5