Explore tweets tagged as #CTRO
@CtroIntr
IntrZap05
1 hour
2
0
18
@MayteVigoa70
Mayte
9 hours
Hoy @IzquierdoAlons1 visitó la MIPYME Kala Srl, se dedican a la producción de varios productos de aseo, en Ctro Habana. #DePieYCombatiendo #GenteQueSuma #LaHabanaViveEnMí
0
0
3
@roxboxfix
Rohit Malde
3 days
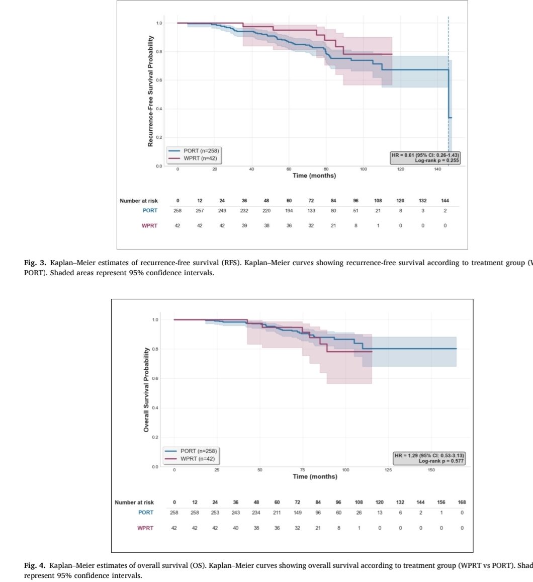
Benefit of prophylactic pelvic irradiation in intermediate-risk prostate cancer: A multicenter retrospective study (iPPAPI) https://t.co/QVTMOf9d3h WPRT did not improve RFS or OS Acute GU, GI & sexual toxicities were similar Severe late GI toxicity more frequently with WPRT
0
5
17
@StAr_MCM74
Stefano Arcangeli
17 hours
🔍Check out a post-hoc analysis of the ABRUPT trial on the 🔗between ☢️ RT dose to pelvic substructures & late GU TOX ⛔️ bladder trigone D1cc ≥20.3 Gy ⛔️ NVB D0.035 cc ≥23.6 Gy ➡️ https://t.co/HiDlJqyj3s #prostatecancer @OncoAlert @oncodaily @urotoday
1
4
10
@cefiro3107
siempre 🔥 3k
1 day
Alguno con ganas le chupete la pija, x el ctro? Aca con lugar
0
0
4
@Nvrmdme_
Nvrmnd | Angel 🤍✨️
3 days
Happy Valentine's Day to all BLBB fans 🤍✨️ Celebrating the family we built, the friendship, the support and the love that we have for @bbil1ypn and @babe_in_ 🥰 #bbil1ypn #babiibabe #BillyBabe #บิลลี่เบ้บ #BACEQUAD #BoutBabeEntertainment ctro 🥰
2
8
23
@NuestroMarMenor
Nuestro Mar Menor
2 days
La tortuga mora (Testudo graeca) sobrevive en toda la Costa Litoral gracias a los esfuerzos de las asociaciones ecologistas y medioambientales. Este incendio es muy preocupante para su población. Esperamos que se controle pronto. Foto: Ctro. Recup. Fauna Silvestre @ElVallePR
0
5
26
@SJuanPabloII_
Ctro.SJuanPabloII507
7 days
Recordando el tema. No hubo acción y fuimos nosotros los llamados a declarar a Ministerio Público.
@TReporta
Telemetro Reporta
4 months
Ariel López, del Centro San Juan Pablo II, denunció que han detectado casos de menores entre 13 y 17 años que podrían estar siendo víctimas de explotación sexual en la Avenida México en horas de la noche. López dijo que ya han presentado el caso ante Senniaf para que se inicie
2
66
91
@hR8OTCtroSEzeb8
なっちゃん
2 days
ケイちゃん。
0
0
3
@ctroCEPA
Centro CEPA
5 days
Cuarto mes consecutivo de caída real de los salarios registrados 1- En diciembre, los salarios registrados del sector privado cayeron 0,3% en términos reales (+2,5% nominal vs. 2,8% IPC), quedando 1,6% por debajo del nivel observado en noviembre 2023.
1
6
7
@Marcegiotto2509
Marcegiotto
4 days
@Radio10 @Gatosylvestre @Ariel_Zak @NachoRodriOk @valeriaweise @JuanStrasnoy @pabloladaga En épocas de los 80 era muy común las fiestas de carnaval en ctro . lucense de olivos y algún corso por zona norte y nos desplazabamos en tren mitre que funcionaba casi toda la noche. Linda celia que tuve que suspender mi vacaciones por bloqueo de cuba y falta de vuelos
0
1
2
@fighting_laban
ZachLia Multi Fandom...
6 days
I love you so, love is beautiful one... All we need is love, real love ctro.. CAPGO WEDgotToBelieve
1
7
21
@ctroooo
ctro⚕️
4 days
@UuestR but fuck this was not worth sacrificing trading and years of no updates
1
0
2
@hR8OTCtroSEzeb8
なっちゃん
3 days
ヤッター🙌 #ブルアカ #ブルアカみゅーじっく
0
0
6
@PavelS73345
Pavel Svoboda
5 days
@SalamonTomas Tu nejde o glorifikaci ci pomluvy. Jde o regulerni kampan. Bohuzel z casti za nase prachy kvuli "nezavislym" faantikum z CTRo
0
0
2
@R3troSp3ctro
Retro 🌋
2 days
I hate when people say you gotta know all the info for context.. no I don’t. I’m making my decision right here, right now, with the info in front of me and we’re gonna go from there.
0
1
13
@ctro_f1_pubg
しとろ
2 days
@kuzushinsetsu もしかして、先手が「王手放置」で負けなのでは…?
1
0
5
@hR8OTCtroSEzeb8
なっちゃん
5 days
エルフィンナイトが無い…と???
0
0
3
@hR8OTCtroSEzeb8
なっちゃん
9 days
秋葉神社⛩️
0
0
4