Explore tweets tagged as #AsHeis
@prophetori
JESUS 636FM #1 📻📡🎙️ 🔯✝️🇮🇱
2 years
0
0
0
@MarnitaColeman
Fresh Start Parenting
2 years
Once you understand this principle, teach it to your kids. #AsHeIs #SoAreWe
0
0
0
@Kintuibrahim256
Asheis🇺🇬
2 days
@Aster_DEX Why does aster keep on unlocking millions of tokens instead of burning them, foolish project
0
0
1
@TheRealMarnita
Marnita Coleman
2 years
It is crit-i-cal that we teach our children the ways of the Lord, early. Culture is speaking to them EVERYday. We must be LOUDER than what they see. Declare this over your children. Tell them your story of God's greatness. They'll love it! #AsHeIs #SoAreWe
0
0
0
@cygnus_asheis
すわん
1 year
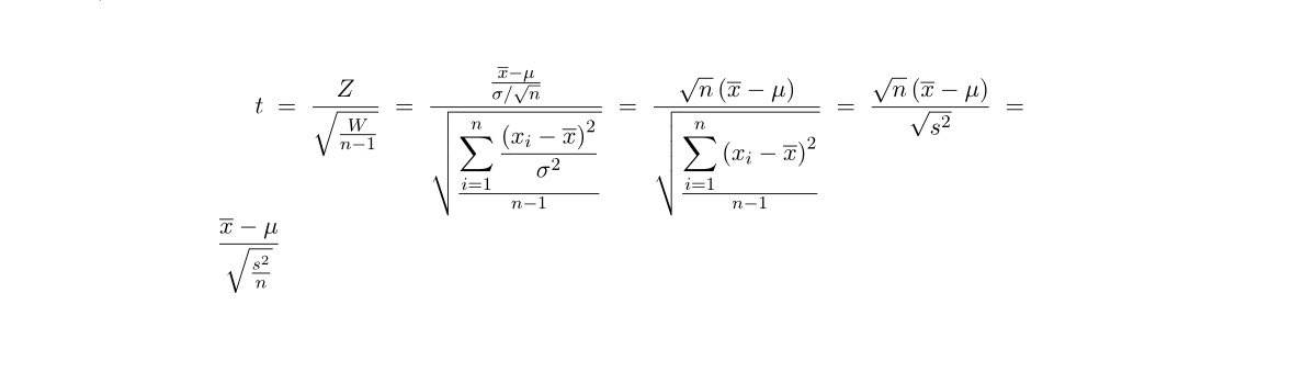
(x_bar - μ)/(U/√n) をt統計量として定めるとして、なんで分母が自由度n-1のカイ二乗分布に従うのか納得感がない、、と思ったけど 別に上の形式だと分子が標準正規分布に従ってるわけではないな。正しくはこうか
0
0
5
@TheRealMarnita
Marnita Coleman
2 years
When you "feel" stuck, take a different view. We walk by faith, not by sight! No doubt about it. #AsHeIs #SoAmI #Winners #Unstoppable
0
0
0
@TheRealMarnita
Marnita Coleman
2 years
You aren't really stuck. You're feelings are lying, hoping you will believe the lie. Stay focused on what you have purposed in your heart and watch IT come to pass. #AsHeIs #SoAmI #Winner #Unstoppable
0
0
0
@Kintuibrahim256
Asheis🇺🇬
29 days
@Vindicatedchidi @ice_blockchain Is staking of our ion coming to online+ also because all tokens are in misses browser?
0
0
0
@Kintuibrahim256
Asheis🇺🇬
3 days
@sidrachain When is open mainet
0
0
0
@chenfordera
scrappy🇵🇸||wildcards era♦️
3 years
i was told to watch the mentalist so i did and I’m on ending of s4 beginning of s5 and this show is a constant ‘😀???’ feeling. just now idk what the actual fresh folded heap fuck i just witnessed Jane is just- I’ve never EVER seen anyone in any show or irlas destructive asheis.
0
0
2
@LamiakEH
Lamiak
2 years
@harryelsocio Hubo que pintar paredes y techos casi. Me venía con cabeza para campeón de mus del pueblo. Peazo riada que solté cuando se "asomó" al mundo, y dijo "ola ke asheis", luego era grande, también hubo que hechar los tripajos de color gris, el padre dió la vuelta al ambulatorio 🤣🤣🤣
1
0
0
@Kintuibrahim256
Asheis🇺🇬
1 month
@M_Kananura Thank you Uganda police, those fools misuse them, they're hazardous to road safety
0
0
0
@cygnus_asheis
すわん
1 year
<長期目標@ 20241014> 2024年12月:統計検定準1級 2025年4月:応用情報技術者試験 2025年10月:データベーススペシャリスト 2025年11月:統計検定1級 2026年3月まで:Kaggle Expert 2027年3月まで:TOEFL iBT 100
1
0
3
@Kintuibrahim256
Asheis🇺🇬
3 days
@26Whitepapers Core is dead even sei is over out performing it would have invested in sei
0
0
1
@Kintuibrahim256
Asheis🇺🇬
16 days
@famo_everything @okx @ice_blockchain @ice_z3us You listen to at @connectwithtola too much....okx asked you to withdraw your ice tokens before delisting long time ago but you listened to fud
1
0
1
@Kintuibrahim256
Asheis🇺🇬
1 month
@rajeevanandspur And why is it the most under performing among all alts?
1
0
1
@SandraF32262311
Sandra Flower
3 years
@krassenstein MarjorieGreenandElsieStephanicneedtobetakenalongwith DonaldTrumptheyareasguilty asheis
0
0
0
@Kintuibrahim256
Asheis🇺🇬
1 month
@AFTVMedia What's that? Where's Saliba?
0
0
0