H.O.(Japan) Profile
H.O.(Japan)

@fun_Fibonacci

Followers
381
Following
157
Media
135
Statuses
241

Erdős number 3. F(n),L(n), φ=#Fibonacci, #Lucas number, #goldenratio. https://t.co/Tq3kGH2uLQ

日本
Joined September 2024
Don't wanna be here? Send us removal request.
@fun_Fibonacci
H.O.(Japan)
14 minutes
Fibonacci Quart. Problem H-781 by H.O.
0
1
0
@fun_Fibonacci
H.O.(Japan)
5 days
AMM problem 12106の一般化 by H.O.
0
3
16
@fun_Fibonacci
H.O.(Japan)
5 days
AMM problem 12106の一般化 by H.O.
0
3
16
@fun_Fibonacci
H.O.(Japan)
9 days
Fibonacci Quart. Problem B-1326 by H.O.
0
4
14
@fun_Fibonacci
H.O.(Japan)
10 days
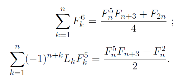
A NEW FORMULA FOR THE SUM OF THE SIXTH POWERS OF FIBONACCI NUMBERS (2010), and Fibonacci Quart. Problem H-869. These identities obtained by the same method.
2
3
29
@fun_Fibonacci
H.O.(Japan)
11 days
AMM problem 3802, Fibonacci Quart. Problem H-821 by H.O.
0
4
23
@fun_Fibonacci
H.O.(Japan)
12 days
Mathematics Magazine Problem 2222 by H.O.
1
11
73
@fun_Fibonacci
H.O.(Japan)
14 days
0
1
21
@fun_Fibonacci
H.O.(Japan)
15 days
0
2
14
@fun_Fibonacci
H.O.(Japan)
17 days
Michael Pennが私の問題(Mathematics Magazine Problem2222(2025年6月掲載11月締切))をYouTubeで解説している. https://t.co/Ivh7kCi6RX 彼は引用元を書いていないのが私としては不満. ところで, この問題にはもっと簡単な解法があります.
1
0
18
@fun_Fibonacci
H.O.(Japan)
17 days
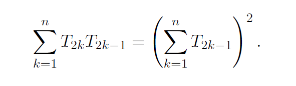
Tribonacci数 T(n)は次のように定義される. T(0)=0,T(1)=T(2)=1 , T(n+3)=T(n+2)+T(n+1)+T(n) for n≧0. このとき, 次の式が成り立つ. Fibonacci Quart. Problem B-1209 by H.O.
0
2
22
@fun_Fibonacci
H.O.(Japan)
20 days
Fibonacci Quart. Problem H-737 (for n=2). Mathlog:  https://t.co/HZdZcknjaO
1
2
11
@fun_Fibonacci
H.O.(Japan)
24 days
Fibonacci Quart. Problem B-1217 by H.O.
0
1
16
@fun_Fibonacci
H.O.(Japan)
26 days
Fibonacci Quart. Problem H-757 by H.O.
0
1
16
@fun_Fibonacci
H.O.(Japan)
29 days
Fibonacci Quart. Problem H-783 by H.O.
0
3
23
@fun_Fibonacci
H.O.(Japan)
30 days
Fibonacci Quart. Problem B-1165 by H.O.
0
1
17
@fun_Fibonacci
H.O.(Japan)
1 month
Fibonacci Quart. Problem H-45 by R. Graham. Fibonacci Quart. Problem H-766 by H.O.
1
3
13
@fun_Fibonacci
H.O.(Japan)
1 month
Fibonacci Quart. Problem H-849 by H.O.
0
3
15
@fun_Fibonacci
H.O.(Japan)
1 month
以下の関係式は「二項係数の和・平方和・立方和・逆数和」でも紹介しているので 興味のある方はご覧ください. mathlog: https://t.co/NLuefvCP2D
0
3
20
@fun_Fibonacci
H.O.(Japan)
1 month
今日思いついた, 自然数の [立方和=和の平方] の証明. ただし [奇数の和=平方和] は既知とする. これは新証明か?
0
2
31