fuguti Profile Banner
FG🐡 Profile
FG🐡

@fuguti

Followers
4K
Following
63K
Media
14K
Statuses
102K

「バカに毛が生えたブログ」の人。JADEでSEOをやってます。 検索結果が好きです。アイコンはシブタクさん(@pochimin02)に描いていただきました。※発言は個人の見解です。

東京某所
Joined November 2008
Don't wanna be here? Send us removal request.
@fuguti
FG🐡
10 hours
お待たせしました!!!!! ハック vs ナチュラルな検索結果のお題でしたw 検索結果少ない選手権など、読んでもSEOスキルが全然上がらなそうな検索ニュースまとめ(11/15~11/21) https://t.co/1KTNUTG6zH
Tweet card summary image
baka-ke.com
「バカに毛が生えたブログ」のFGによる、SEO/SEM情報コーナー。毎週金曜日に、国内と海外の役に立たない検索関連の情報をさらっとまとめてお届けします。  Xハッシュタグ「#金曜日のネタ帳」から今週の検索ニュースをピックアップ!参照:#金曜...
@medicomkim
木村 正晴|メディコム(株) 森レンタルとSEO屋
11 hours
あら、今日は #金曜日のネタ帳 更新されないんかな @fuguti
1
1
3
@fuguti
FG🐡
13 hours
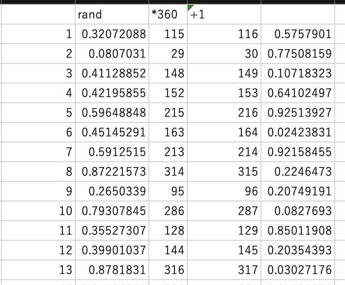
100日雑に統計の本を読む(64) 無作為抽出の話。 360人の生徒から45の標本調査をする問題で、乱数を360倍して小数点以下を切り捨てて1を足す、これにより45個の異なる数値が出続けるまで…みたいな問題があり「???」となっている。なぜこんな回りくどいことをするのかが全く理解できず一回休み。
0
0
1
@fuguti
FG🐡
24 hours
AIと見るユーザー思考追跡100日+(107) 地域で見かけた会社。 「○○市 ユンボ」って普段考えもしないクエリだなw サイト見たらYouTubeがいくつかあったけど販売アイテムがどんなものかをイメージするのにとても有効なように見える。ニッチだけどYouTubeの検索なんかもあるんだろうか。
0
0
0
@fuguti
FG🐡
2 days
100日雑に統計の本を読む(63) 総務省統計局だけ覚えればいいのかなと思っていたが、公的統計は省によって異なるものがある。これ出されたらわからないなw
0
0
0
@fuguti
FG🐡
2 days
GA4 100日遊戯(139日目) Campaign URL Builderでつくったやつ。 偽cpcなどが反映されている様子。 https://t.co/QXLpVgPwnL
@fuguti
FG🐡
7 days
GA4 100日遊戯(138日目) Campaign URL Builderのmediumをcpcにして偽cpcを作る。あと短縮URLを使用する。
0
0
0
@fuguti
FG🐡
3 days
100日雑に統計の本を読む(62) 家計調査を行っているのは何省か?という問題が出てきたw 答えは総務省統計局。 https://t.co/cvi3ZCCEtD
0
0
1
@fuguti
FG🐡
3 days
情緒がない
0
0
1
@fuguti
FG🐡
3 days
「心温まるニュースをください」とGeminiに言ったら出てきたもの(urlはなかったので検索した) いい温度感である https://t.co/RFVyTNw96l
Tweet card summary image
news.jp
筆者の話です。隣家の奥さんが「いつでも取っていいよ」と言ってくれる畑の大根。元・給食調理員の母は、も...
0
0
0
@fuguti
FG🐡
3 days
100日過ぎてからなにか描く(122日目) TableauPrepで「追加」というのを使うと、一括ユニオンできるという話をむらやまさんに聞く。またひとつ豊かな人生になる。
0
0
1
@fuguti
FG🐡
3 days
伝え方の話として念頭に入れておきたい。 “指標の言い換え”で成果を示す、ステークホルダーに通じるSEOの話し方(後編) | Web担当者Forum https://t.co/gnLffuC8JN @webtanforumより
Tweet card summary image
webtan.impress.co.jp
上層部が知りたい“成果”に合わせて説明を変えるコツを紹介。
0
1
4
@fuguti
FG🐡
4 days
SNSでコメントをするとエンゲージメントが上がるという話。Threadsすごいな Replying to Comments Boosts Engagement by 5-42% on These Major Platforms https://t.co/TLPdFSwX66
Tweet card summary image
buffer.com
Replying to comments can boost social media engagement by 5-42% across platforms, according to our analysis of nearly 2 million posts. Here's how it works and why it matters.
0
0
0
@fuguti
FG🐡
4 days
100日雑に統計の本を読む(61) 300人の生徒の中から無作為に生徒を10人選定したら男子が10人だった、という問題。 全然関係ないのだけどこの確率をどうやって出すのかなと思って調べたら超幾何分布の話が出てきた(範囲外)。
0
0
0
@fuguti
FG🐡
4 days
100日過ぎてからなにか描く(121日目) TableauPrepで異なるファイルをユニオンとかする時に任意のセグメントを入れられるのを覚えて、とても豊かな気持ちになるようになったw
0
0
0
@tan_no_kan
たんのかん
4 days
すいません
2
4
12
@fuguti
FG🐡
4 days
テストに出るので皆さん覚えましょうw
@tan_no_kan
たんのかん
4 days
「このサイトは築地だね」と表現した場合、「JavaScript の可用性に依存せず一貫性のある完全な情報を提供するプログレッシブ エンハンスメントなサイトだね」を暗黙的に意味するミームがここに誕生しました、通じない SEOer はモグリだ!(過剰解釈)
1
1
2
@fuguti
FG🐡
4 days
AIモードが横断的な一覧ページになってユーザーはその中で商品を比較する。いきなり最適な商品ページに着地するとかそういう流れになるのか。行動が大きく変化するな… https://t.co/2kN2OAQgFa @MattGSouthern, @sejournalより
Tweet card summary image
searchenginejournal.com
Google is rolling out AI shopping updates across Search and Gemini, including conversational queries, agentic checkout, and AI-powered local business calling.
0
0
3