fightonphils Profile Banner
FightOnPhilippines 🇵🇭 Profile
FightOnPhilippines 🇵🇭

@fightonphils

Followers
260
Following
9K
Media
1K
Statuses
8K

#FightOnPhilippines! Change the status quo! Searching for progressive ideas to transform the Philippines & its people! 🇵🇭

Republic of the Philippines
Joined August 2011
Don't wanna be here? Send us removal request.
@fightonphils
FightOnPhilippines 🇵🇭
2 years
Join us on T-H-R-E-A-D-S @fightonphilippines
0
1
0
@fightonphils
FightOnPhilippines 🇵🇭
10 months
Garbage.
@ABSCBNNews
ABS-CBN News
10 months
Rodante Marcoleta proclaimed senator https://t.co/91059t359a
0
0
0
@RanhilioAquino
Fr. Ranhilio Aquino
10 months
LAST MINUTE VOTER'S EDUCATION What a Senator IS NOT - He is not a matinee idol - He is not an entertainer - He is not a clown. - He is not the distributor of aid or relief goods. The Senator is a LEGISLATOR - He must have a vision of an orderly, supporting and flourishing human
12
6K
16K
@fightonphils
FightOnPhilippines 🇵🇭
10 months
If you love your country and your community, DO NOT VOTE for candidates who DO NOT VALUE your needs or concerns. You & your families have suffered enough under idiotic greedy politicians you voted for previously. Break the cycle. Vote for real change & help yourselves!
0
0
0
@JohnArcilla
John Arcilla official
11 months
Sadly majority of Filipinos are not politically mature to deal with many issues yet. Majority of the citizens of all the Nations I am afraid are mostly naive about their real power. Such a fertile ground for Politicians with thesame level of thinking or orientation with the
20
164
603
@fightonphils
FightOnPhilippines 🇵🇭
1 year
Finally. This case is long overdue! Our judicial system is horribly slowly and Justice will never be truly served. Those responsible for these crimes must be held accountable! Ppl died under their watch!
@DrTonyLeachon
Tony Leachon MD
1 year
MANILA – The Sandiganbayan turned down former Department of Health (DOH) secretary and current Iloilo 1st District Rep. Janette Garin's motions seeking to dismiss the graft and illegal use of public funds cases against her and others in connection with the Dengvaxia vaccine
0
2
4
@fightonphils
FightOnPhilippines 🇵🇭
1 year
Words and actions do have consequences. You fuck around and this is what you get #Duterte Truly a ‘Game of Thrones��� moment by the BBM administration. World class Filipino Politics.
0
0
0
@rapplerdotcom
Rappler
1 year
WATCH: Filipino students 4 to 5 years behind expected literacy standards A new report from the Second Congressional Commission on Education (EDCOM 2) revealed an unsettling fact: public school students are lagging four to five years behind the expected literacy curriculum.
0
11
29
@fightonphils
FightOnPhilippines 🇵🇭
1 year
It’s a new year and nothing has changed. Poor are still poor as fuck. Rich are still in charge of everything. Education is terrible. Our kids are failing and the cycle continues. You want real change, break the wheel.
0
0
0
@boochanco
Boo Chanco
1 year
My column today: We are in such a mess because both leaders and people are too focused on “what’s in it for me” and forget about the nation. We need a sense of national purpose. We can only pray for national enlightenment before our future is totally lost.
Tweet card summary image
philstar.com
We always like to believe that Filipinos are a happy and resilient people, seemingly unfazed by the bigger and bigger challenges faced as a consequence of bad governance.
14
101
298
@fightonphils
FightOnPhilippines 🇵🇭
1 year
New Year’s resolutions: Never Ever VOTE for Sara Duterte for Public Office again. Her incompetence is criminal!
0
0
1
@fightonphils
FightOnPhilippines 🇵🇭
1 year
Wishing our followers here a very Merry Christmas! It’s been a crazy year, but we persevere! We need to keep fighting and advocating for progress in our country!
0
0
1
@DrTonyLeachon
Tony Leachon MD
1 year
The saddest news this Christmas season : Our lawmakers allocated zero funds to PhilHealth without any objections from DOF Sec Recto, DOH Sec Herbosa and PhilHealth CEO Ledesma. Their justification? They say PhilHealth has adequate reserves. It does not need funds. Its
95
865
2K
@iamkarendavila
Karen Davila
1 year
Unconscionable. P6.352 TRILLION budget and congress removes P10B to digitize our students. As it is, Filipino students are left behind with digital skills compared to our ASEAN neighbors. We should put our money where are mouth is. Invest in our students!
@sonnyangara
Sonny Angara
1 year
10 billion was cut from the proposed 2025 computerisation program of the DepEd. That could have funded thousands of computers/gadgets for our public school children. Infrastructure is important but so is investing in our people and human capital. The digital divide will widen
109
994
3K
@DrTonyLeachon
Tony Leachon MD
1 year
Patients will now go to the congressmen to avail of medical services from specialty hospitals. The Sin Tax Law and Philhealth Law intended to institutionalize these assistance thru Philhealth. In a nutshell, we are going back to the 70’s and 80’s na pipila sa bahay ng mga
@DrTonyLeachon
Tony Leachon MD
1 year
Too sad. Filipinos speak up ! Breaking : zinero ng Bicam ang PhilHealth sa 2025 budget. THe Bicam report is not yet public though. Not transparent. Where we will get funds for healthcare when they didn’t give funds after diverting 90 billion funds to unprogrammed
102
941
2K
@tj_canino
Torey Canino
1 year
sorry moots, not volleyball related but i'd like to use my reach regarding this national issue.😔 PHILHEALTH GOT ZERO BUDGET FOR 2025 AND TO ONLY RELY ON RESERVES! THIS IS FCKING ALARMING AND KAILANGAN KALAMPAGIN ANG KONGRESO!!!! 🤬
85
4K
10K
@rapplerdotcom
Rappler
1 year
Araullo is not only awarded a total of P2.080 million in damages, his civil case is the first application of the Supreme Court’s earlier decision that finally defined red-tagging as harmful.
Tweet card summary image
rappler.com
(1st UPDATE) Araullo is not only awarded a total of P2.080 million in damages, his civil case is the first application of the Supreme Court’s earlier decision that finally defined red-tagging as...
51
696
3K
@IanMakabayan
Lean Porquia #ResistTheFascist
1 year
BREAKING: Atom Araullo wins red-tagging case against Lorraine Badoy-Partosa and paid liar Jeffrey Celiz. Both are ordered to pay P2.070 million in damages. This landmark case will open the floodgate of cases against these perennial red-taggers.
@bulatlat
Bulatlat
1 year
Journalist @atomaraullo wins civil case against red-taggers Lorraine Badoy and Jeffrey Celiz, the Movement Against Disinformation says.
122
7K
30K
@boochanco
Boo Chanco
1 year
My column today: Our main problem was and still is, having political leaders who are more interested in quickly enriching themselves than helping the nation’s economy grow. That is why I don’t think we will catch up with our neighbors any time soon.
Tweet card summary image
philstar.com
It’s so heartbreaking for our generation to see how we have fallen through the years.
24
121
310
@iamkarendavila
Karen Davila
1 year
Let’s do the math on AKAP. Congress gets P26B. If all 316 members get equally, they get P83M each. If sectoral reps aren’t included, representatives from congressional districts get almost P103M each. Senate gets P5B. If all 24 senators get AKAP funds equally, they get P208M
548
3K
8K
@DrTonyLeachon
Tony Leachon MD
1 year
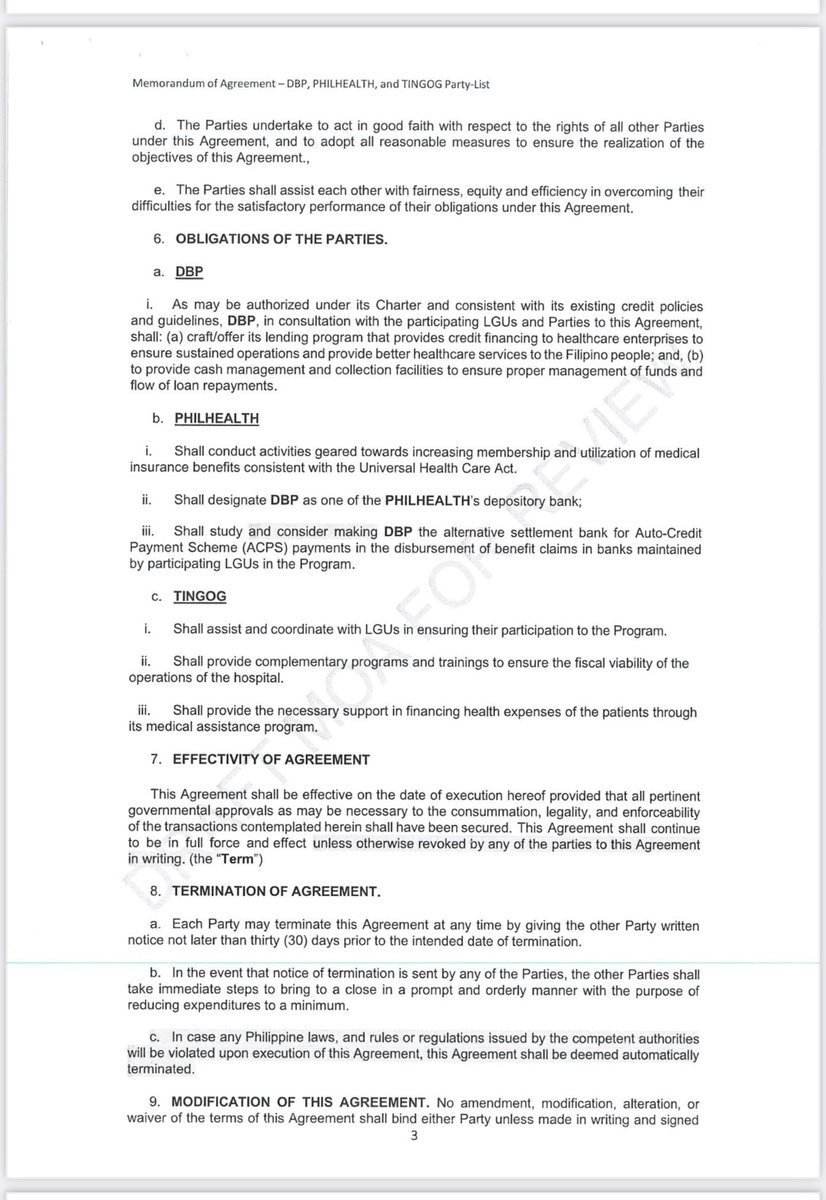
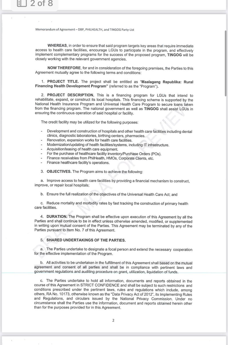
Yesterday, a brazenly illegal MOA was signed by philhealth, Tingog partylist and DBP . Virtually gives Tingog partylist power over loans that LGUs will get from DBP for health purposes . It is does not make sense except if using people's money as personal campaign kitty is ok
@DrTonyLeachon
Tony Leachon MD
1 year
Philhealth plus DBP and Tingog party Is this allowed ? It’s electioneering! https://t.co/hqqiZLggl0
33
134
202