シン・演習Bot Profile
シン・演習Bot

@ensyuis

Followers
1K
Following
168
Media
62
Statuses
75

シン規性の高い問題を扱いたい。

Joined November 2025
Don't wanna be here? Send us removal request.
@ensyuis
シン・演習Bot
12 hours
Komal ​図に示すようなn階建ての対称な塔が、長さlのドミノで作られています。各ドミノが(崩れない範囲で)可能な限り引き出されているとしたら、この塔の「バルコニー」の長さはいくらになるのか?
0
0
1
@ensyuis
シン・演習Bot
2 days
200 puzzling 鉛筆の尖った先を下にしてテーブルの上に垂直に立てる。そこから手を離すと、鉛筆はバランスを崩して倒れる。鉛筆の先が動く方向は、鉛筆が倒れる方向に対してどのように依存するのか?また、それは摩擦係数によってどのように変化するのか?鉛筆の先が先に浮き上がることはあるのか?
0
2
20
@ensyuis
シン・演習Bot
3 days
物理チャレンジ
1
2
18
@ensyuis
シン・演習Bot
4 days
物理チャレンジ2011 面白い問題です
76
623
6K
@ensyuis
シン・演習Bot
4 days
a、b、cが正の実数であるとき、次の不等式を証明せよ。また、等号が成立するのはどのようなときか。
0
0
3
@ensyuis
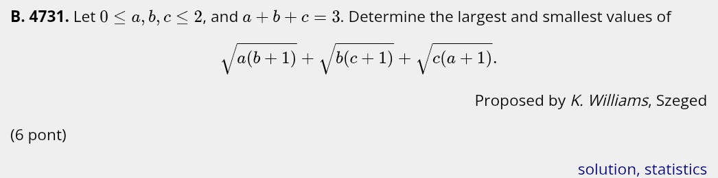
シン・演習Bot
5 days
0≦a、b、c≦2 であり、かつa+b+c=3であるとする。このとき、以下の式の最大値と最小値を求めよ。
0
0
5
@ensyuis
シン・演習Bot
7 days
Komal P5000 U字管は水で満たされている。左側には長さl、巻数Nのコイルが巻き付けられている。このコイルに電流Iを流すと、U字管の水面の高さはどのように、またどれだけ変化するかを求めよ。但し、管の直径はコイルの長さlに比べて十分小さい。水の比透磁率はμとし、その数値は1よりわずかに小さい。
0
0
6
@ensyuis
シン・演習Bot
8 days
Komal2016 図は、抵抗器およびコンデンサーが無限に連結された回路の配置を示している。各抵抗器の抵抗はR、各コンデンサーの静電容量はCである。点AとBの間の合成抵抗と合成容量をそれぞれ求めよ。
1
3
16
@ensyuis
シン・演習Bot
9 days
200 puzzling physics problems 球形コンデンサーの静電容量は、その表面をへこませて体積が3%減少するように変形させたとき、何パーセント変���するかを求めよ。
0
3
16
@ensyuis
シン・演習Bot
10 days
Komal2025 質量mの球が、半形Rのワイヤーに通されており、摩擦なしで動く。糸がこの球に取り付けられており、その糸はワイヤーの端点Cにある滑車を通っている。糸のもう一端には、質量mの物体が取り付けられている。左側の球がワイヤーの最���点を通過するとき、2つの物体の速さと加速度を求めよ。
0
3
30
@ensyuis
シン・演習Bot
11 days
Icho51pre 分子モーターの合成と研究
0
2
14
@ensyuis
シン・演習Bot
12 days
Icho47pre バクーでの時間と生きながらえること
0
1
18
@ensyuis
シン・演習Bot
13 days
F=ma2020 国際宇宙ステーションの外側に立っている宇宙飛行士が、ゴミを3つ捨てたい。宇宙飛行士は、ISSの進行方向を向き、地球は左側に見えている。 宇宙飛行士の視点で、3つのゴミをそれぞれ(I)左(II)右(III)上に投げた。戻ってくる可能性があるのはどれか?
0
0
7
@ensyuis
シン・演習Bot
14 days
Icho53pre SI 基本単位の改定
0
1
21
@ensyuis
シン・演習Bot
15 days
Icho47pre 黙示録の四騎士に対する聖戦
0
0
8
@ensyuis
シン・演習Bot
16 days
Icho55pre 「タミフル」
0
2
28
@ensyuis
シン・演習Bot
17 days
F=ma2012 輪に、2本の紐が点Aと点Bで取り付けられている。2本の紐は中心Oで結ばれ、そこから重りGが静止して吊り下げられている。紐の長さと2本のなす角は一定である。初め、OAは水平である。輪を時計回りに90°回転させ、OAが鉛直になるまで動かす。このとき、紐の張力についての正しい記述を選べ。
0
0
2
@ensyuis
シン・演習Bot
17 days
Icho 50 pre プールべ図
0
1
9
@ensyuis
シン・演習Bot
18 days
摩擦に関すること
0
0
0
@ensyuis
シン・演習Bot
18 days
F=ma2025 同じ装置から3つのボールを発射する。どのボールも半径はRである I.普通のテニスボール質量m₁ II.中身の詰まった木のボール質量m₂ III.中身の詰まったゴムのボール質量m₃ ここでm₁<m₂<m₃である。3つとも、発射装置からの初速度は同じである。どのボールの最終速度が一番大きくなるか?
1
1
17