Edoardo Pozzi
@edoardopozziMD
Followers
454
Following
1K
Media
46
Statuses
368
Urology resident @ SanRaffaeleMI ๐ฎ๐น
Milano
Joined December 2011
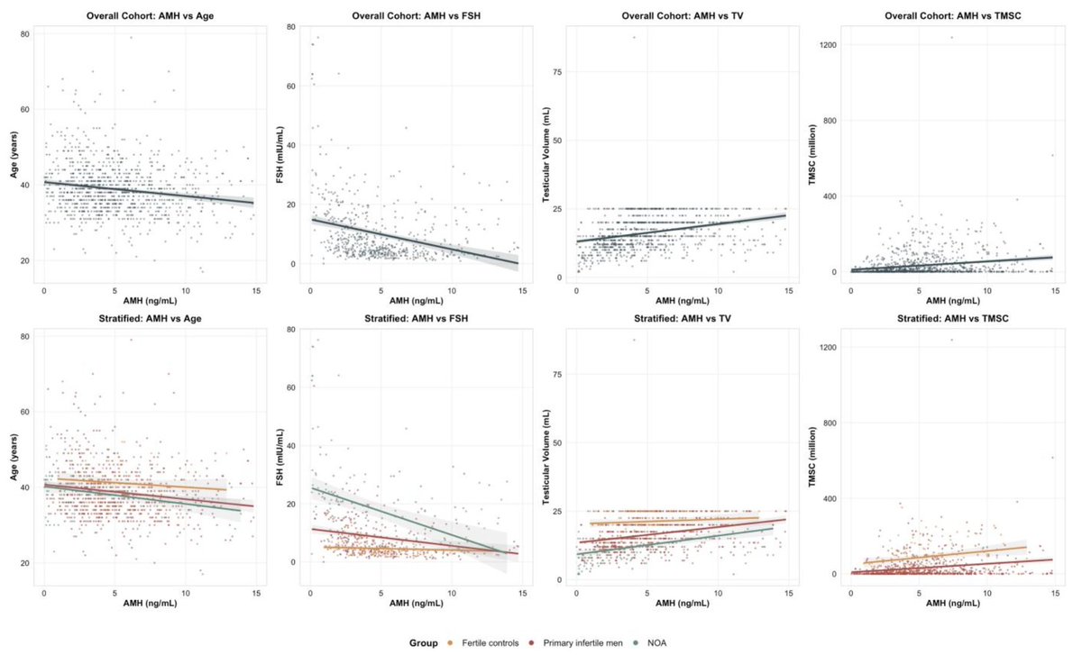
๐งฌAMH as a biomarker of male fertility ๐ 1,085 men analyzed across 3 cohorts: fertile controls (n=116), primary infertility (n=791), NOA (n=178) ๐ฌAMH significantly lower in NOA vs fertile men & primary infertility @EndoSocJournals ๐ https://t.co/Gu5hHVkrE7
1
2
3
0
2
6
๐๐๐งฌ #Epidemiology of #RenalCancer: #Incidence, #Mortality, #Survival, #GeneticPredisposition, and #RiskFactors
https://t.co/YKFXuvZzP9 Up-to -date facts and figures together with future projections at @EUplatinum
4
20
47
Men with #DelayedEjaculation report lower sexual satisfaction and more depressive symptoms than those with #PrematureEjaculation ๐ https://t.co/pysxjKtC0n
@FaustoNegri @CorsoChri @edoardopozziMD @Raffodoc @lucajavier @F_Montorsi @DrMEisenberg @gaspare2006 @SanRaffaeleMI
0
6
9
๐ค Meet the ESSM Basic Science Committee โ driving innovation in #SexualMedicine! ๐งฌ They promote research, develop content for Congresses & webinars, and bridge benchside science with clinical care. ๐ฒSwipe up to meet the team. @omeronurcakir
1
5
17
Comment on: Male sexual dysfunction associated with GLP-1 receptor agonists: a cross-sectional analysis of FAERS data ๐ https://t.co/4X2CoiD9KM
@edoardopozziMD @gaspare2006 @MyUniSR
Male sexual dysfunction associated with GLP-1 receptor agonists: a cross-sectional analysis of FAERS data๐ https://t.co/ianHaM8LuN
@ashkanpal @StanfordMed @AbbyChen5 @StanfordUrology @satvir_basran @HeyDr_Jay @NCKU_official @f_delgiudice @SapienzaRoma @DrMEisenberg
0
2
3
โ
Great collaborative work: men with testicular cancer who choose a testicular prosthesis during surgery experience significantly โฌ๏ธ regret + better body image + โฌ๏ธ satisfaction than those who choose not to have it ๐ Link: https://t.co/EnyqR5akRU
@lucajavier
1
2
12
๐ก Stay ahead in Von Hippel-Lindau (VHL) management! Join our new #UROwebinar, which offers essential updates on current standards, innovations, and practical decision-making across specialties. Register now and claim your CME credit ๐ https://t.co/LOF5XpEXaO
@_alelarcher
0
10
15
Testosterone therapy represents a cornerstone in the management of testosterone deficiency, yet its use in men at high risk for prostate cancer has remained controversial.
bmjoncology.bmj.com
Testosterone therapy (TTh) represents a cornerstone in the management of testosterone deficiency (TD), yet its use in men at high risk for prostate cancer (PCa) has remained controversial.1 2 The...
0
1
6
Men with testosterone deficiency and a family history of prostate cancer did not have a significantly higher risk of being diagnosed with cancer from receiving testosterone therapy. https://t.co/JJ8WKXakyW
0
1
3
๐๐ฌ First study ever: Testosterone therapy in men with TD & family history of prostate cancer (high-risk) shows NO increased cancer risk over 10 years compared to matched untreated men! Link ๐: https://t.co/5O466Bpbh5
@BMJOncology @coreyable @TPKohn @scrittoreandre1
0
9
36
congratulations to @omeronurcakir for his great guideline changing editorial @KingsCollegeLon @KingsFertility @Urology_KCH @pozziedo @SanRaffaeleMI @BMJOncology @castiglionfabio
1
5
18
The February 2025 Issue of IJIR has been just released. Check it out ๐ https://t.co/NbhjWm5ACH
@VaibhavModgil @PeteGrice @rajmathur7 @IPearce82 @KoleAkula @Hoferurology @UTHealthSA @NunoTomada @UPorto @PascoalPat @AXiangMD
@CChangUro @The_UroBro @JSimhan @UCSFUrology
3
7
14
Age-related decline in total testosterone levels among young men: insights from a large single-center observational study | International Journal of Impotence Research
nature.com
International Journal of Impotence Research - Age-related decline in total testosterone levels among young men: insights from a large single-center observational study
0
2
6
Age-related decline in total #testosterone levels among young men: insights from a large study ๐ https://t.co/3FyNEIBYq0
@CorsoChri @edoardopozziMD @SanRaffaeleMI @FedericoBellad1 @FaustoNegri @Raffodoc @lucajavier @eug20miglia @candela_luigi @profmontorsi @gaspare2006
nature.com
International Journal of Impotence Research - Age-related decline in total testosterone levels among young men: insights from a large single-center observational study
0
6
14
Another great talk - @edoardopozziMD Nutraceuticals seem effective in combination with PDE5Is e.g. L-arginine for ED. Sounds like the Wild West though, issues with regulation #ESSM2025
0
1
3
0
0
2
๐ฌ Our study reveals distinct immune signatures in MFI, showing premature immune aging patterns & pro-inflammatory profiles through scRNA-seq analysis. โก๏ธ Findings link different infertility types to unique T cell signatures ๐ https://t.co/62itL4CeQX
@NatureComms
2
2
16
๐ Our study finds that 13.5% of men initially eugonadal showed tT levels suggestive of TD at 3-month follow-up. These men had reduced baseline testicular volume and abnormal karyotype. https://t.co/UJqiblB5tn
@edoardopozziMD @CorsoChri @Raffodoc @lucajavier @scrittoreandre1
0
4
13