danni_codes Profile Banner
Daniel Hernandez Profile
Daniel Hernandez

@danni_codes

Followers
92
Following
518
Media
288
Statuses
454

💻 CS Student | 👨🏻‍💻 Aspiring Developer | 🚗 Road to Fullstack | 📚 Always Learning #100DaysOfCode #100DaysOfX https://t.co/dFGCnZs6PL

San Diego, CA
Joined August 2019
Don't wanna be here? Send us removal request.
@danni_codes
Daniel Hernandez
6 years
I'm publicly committing to the 100DaysOfCode Challenge starting today! Learn More and Join me! https://t.co/bqrh0g094h #100DaysOfCode
1
4
22
@danni_codes
Daniel Hernandez
5 years
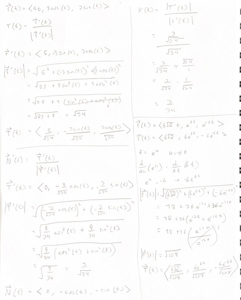
Day81 #100DaysOfCode #java Replicated my problem using a simpler structure. My main issue is understanding how timelines work in jfx. #100DaysOfMath #calculus More unit tangent and normal vectors. You'd think it'd be easy differentiating e numbers, but it got complex here
2
30
8
@danni_codes
Daniel Hernandez
5 years
Day80 #100DaysOfCode #java Worked on pause functionality some more. I know the problem has to do with play() animation method. #100DaysOfMath #calculus Worked on finding unit tangent vectors and unit normal vectors. Gonna working on binormal vectors tomorrow.
1
7
7
@danni_codes
Daniel Hernandez
5 years
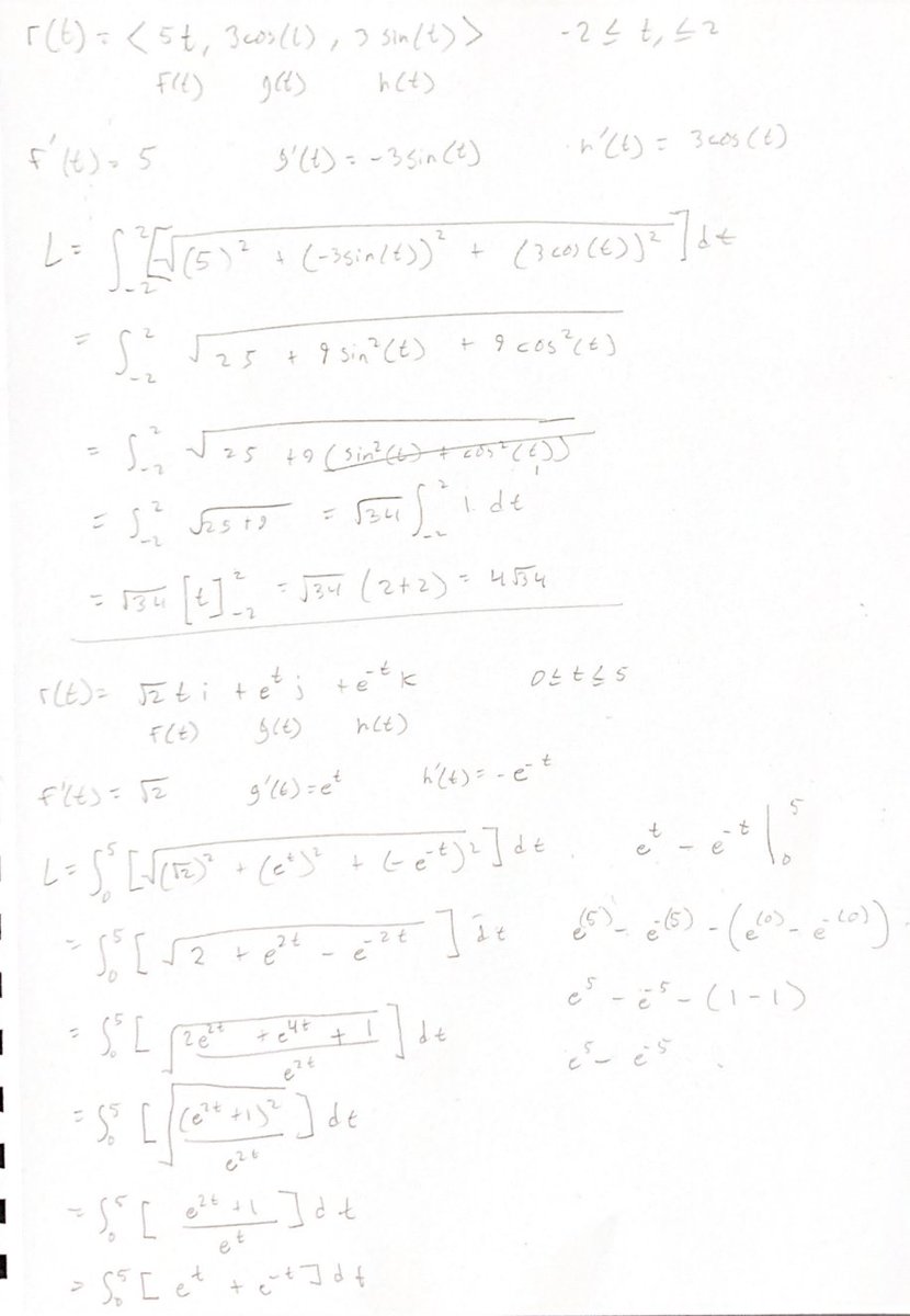
Day79 #100DaysOfCode #java Continued working on pause functionality. Learned that the getTime() method only works with KeyFrames. #100DaysOfMath #calculus More arc length problems. This part is definitely a refresher from calc 1 and calc2. Its a lot of integrals & derivatives
1
6
10
@danni_codes
Daniel Hernandez
5 years
Day78 #100DaysOfCode #java No luck just yet. https://t.co/m5Np6GbLGv https://t.co/VJIupmhQtp #100DaysOfMath #calculus Introduction to arc length. arc length is the definite integral of the magnitude of the derivative of the curve.
2
6
4
@danni_codes
Daniel Hernandez
5 years
Day77 #100DaysOfCode #java Working on the functionality to pause & resume the timer at the same point. So far no luck. https://t.co/VJIupm0f4P #100DaysOfMath #calculus More parametric equations of space curves. Glad the trig is kept to a minimum and the derivatives are easy.
1
3
3
@danni_codes
Daniel Hernandez
5 years
Day76 #100DaysOfCode #java Finished product of a functioning timer https://t.co/VJIupm0f4P #100DaysOfMath #calculus graphing parametric equations and vector integration #100DaysOfRunning Not running until I feel better
2
6
4
@danni_codes
Daniel Hernandez
5 years
Day75 #100DaysOfCode #java finally got my minutes & seconds timelines to function properly https://t.co/VJIupm0f4P #100DaysOfMath #calculus vector function integration #100DaysOfRunning 2.95 miles. Not feeling great. Didn't wanna miss a day. Had to walk 404 mi / 500 mi
1
1
4
@danni_codes
Daniel Hernandez
5 years
Day74 #100DaysOfCode #java Put some more time into my doTime() function. Making progress https://t.co/VJIupm0f4P #100DaysOfMath #calculus More vector derivatives #100DaysOfRunning 7.3 @CharityMiles for @NNEDV. Thx @HopeHummus for sponsoring me! #SpreadHope 400.92 mi / 500 mi
1
5
4
@danni_codes
Daniel Hernandez
5 years
Day73 #100DaysOfCode #java tinkered with different key frames to display minutes https://t.co/VJIupm0f4P #100DaysOfMath #calculus vector function differentiation #100DaysOfRunning 7.3 @CharityMiles for @NNEDV. Thx @HopeHummus for sponsoring me! #SpreadHope 393.62 mi / 500 mi
1
3
7
@danni_codes
Daniel Hernandez
5 years
Day72 #100DaysOfCode #java was able to display a functional timer https://t.co/VJIupmhQtp #100DaysOfMath #calculus Started vector functions & space curves section #100DaysOfRunning 7.3 @CharityMiles for @NNEDV. Thx @HopeHummus for sponsoring me! #SpreadHope 386.32 mi / 500 mi
1
1
3
@danni_codes
Daniel Hernandez
5 years
Day71 #100DaysOfCode #Java hit a wall working through the example. starting over https://t.co/VJIupm0f4P #100DaysOfMath #calculus Reviewed cones in 3D #100DaysOfRunning 4.9 @CharityMiles. Somehow the app shut off early and only part of the run was recorded 379.02 mi / 500 mi
1
5
5
@danni_codes
Daniel Hernandez
5 years
Day70 #100DaysOfCode #Java Worked through a tutorial on how to create a timer in javafx for my pomodoro app https://t.co/VJIupm0f4P #100DaysOfMath #calculus Started working on cylinders and quadric surfaces #100DaysOfRunning 7.3 @CharityMiles for @NNEDV 371.72 mi / 500 mi
1
3
6
@danni_codes
Daniel Hernandez
5 years
Day69 #100DaysOfCode #Java figured out inter stage value manipulation permissions issue I was stuck on https://t.co/VJIupm0f4P #100DaysOfMath #calculus Today was actually the last equations of lines & planes day #100DaysOfRunning 6.6 @CharityMiles for @NNEDV 364.42 mi / 500 mi
1
5
5
@danni_codes
Daniel Hernandez
5 years
Day68 #100DaysOfCode #Java Learning about atomic variables & exception handling https://t.co/VJIupm0f4P #100DaysOfMath #calculus last day working on equations of lines & planes. Starting cylinders & surfaces tmrw #100DaysOfRunning 6.6 @CharityMiles for @NNEDV 357.78 mi / 500 mi
1
0
8
@danni_codes
Daniel Hernandez
5 years
Day67 #100DaysOfCode #Java Learning about preserving values in between stage open/close https://t.co/VJIupm0f4P #100DaysOfMath #calculus Equations of lines & planes #100DaysOfRunning 6.6 @CharityMiles for @NNEDV. Thx @HopeHummus for sponsoring me! #SpreadHope 351.14 mi / 500 mi
1
1
6
@danni_codes
Daniel Hernandez
5 years
Day 66 #100DaysOfCode #Java Learned about basic communication between windows https://t.co/VJIupm0f4P #100DaysOfMath #calculus Had trouble with intersecting lines #100DaysOfRunning 6.6 @CharityMiles for @NNEDV. Thx @HopeHummus for sponsoring me! #SpreadHope 344.5 mi / 500 mi
0
0
2
@danni_codes
Daniel Hernandez
5 years
Day 65 #100DaysOfCode #Java Refactoring. Put popout windows in separate classes. https://t.co/VJIupm0f4P #100DaysOfMath #calculus Equations of lines and planes #100DaysOfRunning 6.6 @CharityMiles for @NNEDV. Thx @HopeHummus for sponsoring me! #SpreadHope 337.86 mi / 500 mi
1
3
4
@danni_codes
Daniel Hernandez
5 years
Day 64 #100DaysOfCode #Java Finally able to access file lines to populate TextFields https://t.co/VJIupm0f4P #100DaysOfMath #calculus More cross products #100DaysOfRunning 6.6 @CharityMiles for @NNEDV. Thx @HopeHummus for sponsoring me! #SpreadHope 331.22 mi / 500 mi
0
2
4
@danni_codes
Daniel Hernandez
5 years
Day 63 #100DaysOfCode #Java Can't access individual lines. Tried reading them into an array, but returns null https://t.co/VJIupm0f4P #100DaysOfMath #calculus Worked on direction angles & cosines + cross product #100DaysOfRunning 6.6 @CharityMiles for @NNEDV 324.58 mi / 500 mi
1
2
7
@danni_codes
Daniel Hernandez
5 years
Day 62 #100DaysOfCode #Java Worked reading .txt file lines into textfields https://t.co/VJIupm0f4P #100DaysOfMath #calculus Worked on scalar, vector, & orthogonal projections of vectors #100DaysOfRunning 6.04 mi. First day running in the Bondi 6. Felt great 317.94 mi / 500 mi
1
6
3