cccgta Profile Banner
CCC Profile
CCC

@cccgta

Followers
362
Following
65
Media
290
Statuses
343

Your source for frequent original reporting and trusted news, entertainment, sports and so much more. Join us by subscribing: https://t.co/PTslzthu2P

USA
Joined April 2020
Don't wanna be here? Send us removal request.
@cccgta
CCC
3 years
DISCLAIMER: This account is a roleplay account that reports on events taking place within the universe of the GTA Twitter RP Community. CCC News is not a legitimate source of news, so do not take anything as fact. This account is unaffiliated with Rockstar Games.
1
0
1
@cccgta
CCC
1 year
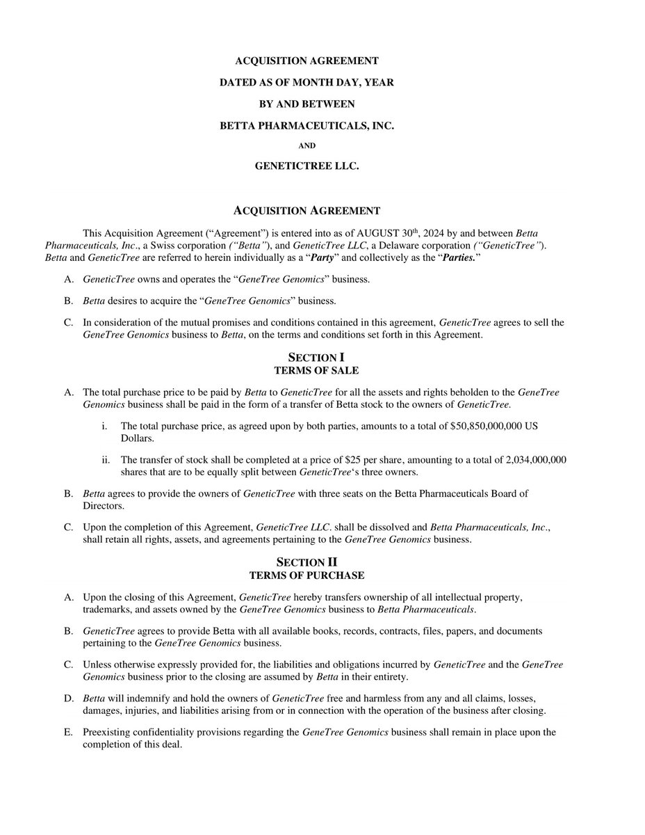
…together, we can make even more groundbreaking advancements for the good of mankind.“ - Anton Schinecker, CEO of Betta Pharmaceuticals
0
0
2
@cccgta
CCC
1 year
They have even gone as far as developing new methods and treatments that are capable of treating and curing diseases and disorders previously thought to be impossible! We at Betta Pharmaceutical are ecstatic to have GeneTree join the Betta family and we’re certain that…
1
0
2
@cccgta
CCC
1 year
#CCCbiz: Betta Pharmaceuticals purchases GeneTree Genomics for $50.85 billion. “GeneTree Genomics was founded in 2020 by some of the world’s greatest minds. Since then, GeneTree has developed groundbreaking technology for the purpose of gene-editing, research, & healthcare.
1
2
5
@cccgta
CCC
1 year
#CCCbiz: Chambers International sells designer clothing company, FÜCA Holdings, and all of its subsidiaries to Axiom Group in a deal reported to have be worth over 23 billion US dollars. Neither company has responded to a request for comment at this time.
0
0
5
@cccgta
CCC
1 year
#ccc: Burger Shot to trial bodycams after increase of abusive behaviour towards staff. https://t.co/qvcN6k1N5g
0
0
10
@cccgta
CCC
1 year
To follow, Kierz Tanner has also been sworn in as Vice President. https://t.co/2HMtgi2pNj
0
0
8
@cccgta
CCC
1 year
#cccbreaking Mark Collins has been sworn in as the 59th POTUS. https://t.co/vhRwfDUAqA
1
0
10
@cccgta
CCC
1 year
CCC will be live at todays Inauguration of President-Elect Mark Collins and Vice President-Elect Kierz Tanner. Watch live - https://t.co/FfkZPDDexj
0
2
15
@cccgta
CCC
1 year
#CCCbiz: US Airline 'FlyUS' acquires Orbital Air in $40 Billion dollar deal. To follow, TTGETA have purchased a further 6.01% of Chambers International taking their ownership stake up to 7.06%, around $23B https://t.co/CjLvJlJYP0
0
3
9
@cccgta
CCC
1 year
#CCCbiz: After a several year absence from the company, Madeline Chambers has returned to the position of CEO of Chambers International.
0
0
9
@cccgta
CCC
1 year
#CCCRecap: Another election, another Red Wave as Republican Mark Collins secured a historical victory to become President of the United States. Read more here - https://t.co/WHg3H4SMoT
1
3
14
@cccgta
CCC
1 year
#CCC: Election day has been set to August 10th. [@USAVoteRP]
0
3
5
@cccgta
CCC
2 years
If you have anything newsworthy, don’t be shy and send us a DM! Have a pitch for a television series, movie, or documentary? Our DMs are open for that too!
0
0
0
@cccgta
CCC
2 years
#CCCrumourmill: Over the past few weeks, execs from AmbiguX-Halcyon & the Chairwoman of Chambers International allegedly had several meetings with the Betta Pharmaceuticals Board of Directors. Could Betta be facing an acquisition by AmbiguX-Halcyon and/or Chambers Intl?
0
1
2
@GlammysAwards
RECORDING AD MINISTRATION/GLAMMYs
2 years
THE GLAMMYs is back!!! It will be airing on CCC across millions of televisions around the world! It will air the pre ceremony, the actual ceremony, and the post ceremony the following day. All through Feb 9 - Feb 12 You don’t want to miss it!🏆
1
6
11
@cccgta
CCC
2 years
#CCCbiz: Documents submitted to the SEC and obtained by CCC, reveal that TT International & the Arcadius Group have made a large investment into tech, entertainment, and defense conglomerate, Chambers International. More to this story to come as information becomes available.
0
2
9
@cccgta
CCC
2 years
#CCC: Despite being under construction for the last 10 years, construction of the Mile High Club has stagnated. STD Contractors has reportedly been fired from the project, in hope that a new contractor will be able to complete the building in the next couple of years.
0
0
5
@cccgta
CCC
2 years
#CCC: Local Los Santos scuba diver finds abandoned ATHENA drone off the coast of the LS Docks. Chambers International remarked that the drone is inactive and defunct, and was simply missed during the cleanup after the LS Docks incident a little over 2 years back.
0
0
2
@cccgta
CCC
2 years
#CCCnightlife: Bahama Mamas in Liberty City hosts one time special “Urban Disko” event featuring 250 and DJ Whoeva! Doors open at 10PM EST, with a limited number of tickets remaining. Did you manage to snag one?
0
1
3
@cccgta
CCC
2 years
#CCCrumourmill: Perseus to welcome Chambers Intl. Chairwoman, Madeline Chambers, and beloved music artist Missy Dada, to their fashion house in Paris France. Could this be indicative of a future collab between the three? Only time will tell.
@KTannerGTA
Kierz Tanner ❁
2 years
A real pleasure to welcome you both. Although I can’t personally join you, I’m sure Camilla and the team will provide state of the art hospitality during your visit. PERSEUS - Luxury at it’s finest.
0
1
5