علي الدخيل ( math ) Profile
علي الدخيل ( math )

@carmath2014

Followers
8K
Following
14K
Media
908
Statuses
9K

متخصص في الرياضيات و حاصل على درجة الماجستير في الرياضيات ومدرب اولمبياد ( موهبة)

KSA
Joined November 2014
Don't wanna be here? Send us removal request.
@SeriesIntegral
級数・積分bot
20 hours
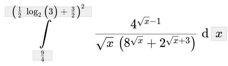
integral 2-1 :
1
2
19
@sonukg4india
SKG
2 days
🦖
14
4
85
@fwl_mak
استاذه . فاطمه
13 hours
🌟 the sets of numbers 🌟 #math #mathematics #رياضيات #تعليم #تحصيلي #تعليم_المدينة_المنورة #الذكاء_الاصطناعي #تقنية #ابداع_رقمي #تصميم
1
6
29
@Diarytells
Diary
4 days
2
3
19
@fhdalalwi1412
فهد العلوي
5 days
1
2
4
@microfusio91945
Julia Gomez
6 days
@fhdalalwi1412 @carmath2014 Sir, I think this problem is a closed interval of MINUS 1/4 to 1/4, but I can't be sure that it is correct. How should I solve it correctly?
1
1
1
@Diarytells
Diary
8 days
1
1
21
@Diarytells
Diary
10 days
Solve it
1
2
14
@sonukg4india
SKG
10 days
8
13
175
@hassan_anwari74
حسن علي الأنواري
11 days
الأعمار تدور كعقارب الساعة؛ نكبر، نتغير، نتعلم، وفي كل مرحلة رسالة ؛ لا يفهمها إلا من عاشها .
12
209
702
@WorldProv
أمثال عالمية
13 days
قد يكون الشخص مستقيماً، لكن من يَعكِس صورته لك هو الأعوج، فلا تصدِّق كلَّ ما تَسمع ."
19
255
858
@iih4u
هاني
14 days
منظر مُهيب اللهم زد هذا البيت تعظيمًا وتشريفًا
56
1K
10K
@skglearning
Hello math
13 days
✒️
5
117
899
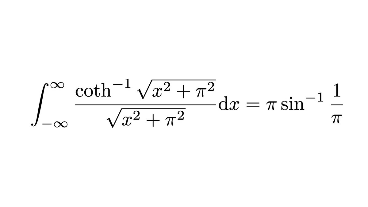
@SeriesIntegral
級数・積分bot
14 days
integral 1-12 :
2
1
17
@sonukg4india
SKG
15 days
Rotational matrix.
3
128
846
@skglearning
Hello math
15 days
Stoke’s Theorem
4
82
604
@sonukg4india
SKG
15 days
1
45
238
@Mohbabd
محمد بن عبدالله
18 days
عااااجل 🚨 أعلنت مكتبة PDF Drive عن إتاحة جميع الكتب الموجودة بالعالم للقراءة والتحميل مجانًا وللجميع عدد الكتب حوالي 85 مليون كتاب جاهزين للتحميل، رابط المكتبة :
12
252
2K
@Sarrah_learning
Learn English🚴🏼‍♀️ تعلم الإنجليزية 🌐
19 days
0
5
53
@SeriesIntegral
級数・積分bot
19 days
series 1-3 :
0
1
17