ayvengoroe Profile Banner
Ардчилалыг дэмжигч Profile
Ардчилалыг дэмжигч

@ayvengoroe

Followers
12K
Following
174K
Media
4K
Statuses
131K

Шудрага байгаад хаа хүрэх нь бүү мэд. Гэхдээ шудрага байсандаа харамсахгүй.

Ulaanbaatar, Mongolia
Joined March 2019
Don't wanna be here? Send us removal request.
@ayvengoroe
Ардчилалыг дэмжигч
2 years
za ene petitioniig bugdeeree sign hiihiig urialj baina. Tun zuv petition baina. Tsaash n uursdiin suvgaar tugeetsgeeye. Hudalch novshiin Harvardiin diplom n huchingui boloosoi.
0
3
6
@CASTEL_8888
C🅰️STEL
19 hours
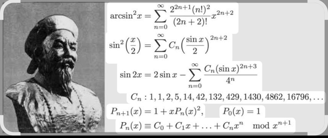
Энэ бүүр янзтай 2 Тэрээр 1692 онд Өвөр Монголын Орdos нутагт төрсөн бөгөөд 1764 онд Бээжинд нас баржээ. Түүний нээлтүүд Европчуудаас 80–100 жилээр түрүүлсэн байдаг. Математикийн түүхчид Мянгатын нээлтийг өндрөөр үнэлж баруунд сүүлийн 20–30 жилд л түүнийг мэдэх болсон.
5
48
98
@PioneerBoston
Pioneer Institute
2 days
In 2022, state and local governments spent an average of $15,000 per person, with 57% of the spending by state governments and 43% by local governments. Explore this data on Pioneer’s new US DataLabs website.
1
0
0
@Sundui_18
Сундуй
20 hours
Богд уулыг сэглэсэн сэтэртнүүд... Эд нар гар дүрээгүй газар гэж алга УИХ АН бүлгийн дарга О.Цогттгэрэл 45 айлын хаус ЭХСайд Б.Чойжилсүрэн нууц 48 хаус сүндэрлэж бна Хууль зөрчсөн барилгуудыг нураах уу чадах ууу эсвэл нураах хураах чинь энгийн ардад л үйлчилдэг юм уу
0
52
51
@tamirmongol
Тамир
18 hours
Тээр жил Болдхэт захирал бодит байдлыг товч тодорхой хэлчихсэн. Одоо гэтэл НӨАТ-с илүү НДШ гэж мангас нэмэгдчихсэн бх жишээтэй...
4
87
138
@TenGerTV
TenGer TV
1 day
Play time амьд хөгжмийн наадамд зориулан ирэх жил нийслэлийн төсвөөс 18 орчим тэрбум төгрөгийг төсөвлөжээ. Гэтэл жилд 30 мянга гаруй хүн оролцдог энэ арга хэмжээний орлого нь ганц хоёр тэрбум төгрөгөөр хэмжигдэхгүй. Нэг хүний тасалбар нь 600 мянгаар үнэлэгддэг атал өөрсдийн арга
11
121
168
@ihpapolicy
IHPA
16 days
Health policy shapes everything from your doctor’s office to your pharmacy counter. But trying to influence it? Feels like navigating a maze. IHPA is your map through it all. Follow us today to start finding your way through.
0
1
10
@Huleg21
Huleg
1 day
Энэ хүн 👇төрийн хүн биш гдгийг Та ч харлаа Би ч харлаа
7
101
167
@ChinzillaMon
Chinzilla🇲🇳🇺🇦
13 hours
ШУУРХАЙ: Их хэмжээний авлига авсан гаалийн байцаагч нарыг саатуулжээ Тодруулбал, Жилд хэдэн тэрбумаар хэмжигдэх гаалийн татварыг бүрдүүлэх ёстой Улаанбаатар хотын гааль, Замын-Үүдийн гаалийн улсын байцаагч нар нь “гаальчин” гэх тодотголтой мэдүүлэгч нарын хамааралтай 100 гаруй
Tweet card summary image
isee.mn
Цагдаа, тагнуулын байгууллагаас Нийгмийн даатгал, Татварын байгууллагын албан тушаалтнуудын холбогдсон хэргүүдийг өнгөрсөн саруудад илрүүлж шалгалтын ажиллагаа...
8
74
108
@Budeekhuu
Budeekhuu
1 day
Хятадаас хямдхан түүхий эд авчраад эм хийдэг л гээд бгаа юм даа,"Монос"-ыг. Хамгийн гол нь улсын эмнэлгүүд ерөнхийдөө "Монос"-ын эм бичиж өгдөг, өвчтөнүүддээ уулгадаг. Аймаар монополь бгаа биз. Энэ эмэгтэй тэр тухай л яриад бх шиг бн.
22
97
164
@Enkhsaikhan_PM
Мэндсайхан ЭНХСАЙХАН
1 day
2000 оноос хойш дэлхийн 84 оронд 184 удаа Татварын өршөөл үзүүлсэн гнээ. Сүүлийн 10 жилд 30 гаруй орон Tax amnesty хэрэглэж.. Хэрэгтэй цагтаа хэрэг болдог л эд гнэ шүү
@Enkhsaikhan_PM
Мэндсайхан ЭНХСАЙХАН
2 days
О.Цогтгэрэл: Компаниудыг татварын өршөөлд хамруулах хуулийг АН-аас өргөн барьж, татвар бууруулах цогц бодлогыг хэрэгжүүлэхийн тулд МАН-ыг шахна
3
25
51
@ganzorigv
Ganzorig Vanchig (aka Vinzo)
1 day
Африкийн Намиби улсад зочилж байхдаа гайхалтай сайхан түүх сонсов. 1990 онд тусгаар тогтносон энэ улс анх Германы колони байж байгаад Дэлхийн хоёрдугаар дайны дараа Өмнөд Африк улсын харъяа хэсэг нь болж эзлэгдэж байгаад ердөө 35 жилийн өмнө туурга тусгаар улс болжээ. Гэхдээ бие
6
22
89
@AyushBate
ᠠᠶᠤᠰᠢ ᠪᠠᠲᠤ ᠡᠷᠳᠡᠨᠢ
22 hours
Алдарт Хэннэси групын өв залгамжлагч, дэлхийд алдартай Килиан үнэртэй ус бүтээгч залуу зун МНГд түр саатсан. Ойрхноор н Тэрэлжид очсон. Үзэсгэлэнт байгалийнхаа онгон дүр төрхийг сүйтгэснийг хараад би үнэхээр гутсан. Мэлхий хадны харалдаа хүртэл байшин. Яасан бузартай шунал вэ?!?!
16
83
167
@digitalsumocom
Digital Sumo
1 month
Tired of high CPCs or unreliable traffic? Sign up to get this exclusive Rolodex of 125+ alternative sources of paid traffic for more product, ecommerce and affiliate marketing sales. You'll find plenty of alternatives in this Rolodex for sustainable web traffic that converts!
0
0
4
@batengineer
BATENGINEER
19 hours
Боловсрол чинь чамд шударга бусын эсрэг зогсохыг зааж өгөөгүй бол чамд боловсрол олгоогүй гэсэн үг шүү.
6
43
62
@ChinzillaMon
Chinzilla🇲🇳🇺🇦
21 hours
АВЛИГА АВЧ БАЙГААД АТГ-ЫНХАНД БАРИГДСАН ТАТВАРЫН БАЙЦААГЧ А.БАДАМ 10 ОРОН СУУЦ, ХОЁР СПОРТ ЦОГЦОЛБОР НУУСАН БАЙЖЭЭ. ГЭНЭЭ НЭГ МУУ ТАТВАРЫН БАЙЦААГЧ АВГАЙ Л ИЙМ БАЙНАШД 😡🤬 https://t.co/Zex7YbSMIN
18
135
175
@batengineer
BATENGINEER
2 days
ИНЕГ дээр авилгалын шинж чанартай асуудлууд гарч ирж бгаа. Нисгэгч, инженерийн мэргэжлийн үнэмлэх хариуцдаг хэлтсийн зарим ажилтан албаны эрх мэдлээ арилжааны хэрэгсэл болгосон бж болох зарим баримт илэрч бгаа. Гэрчүүд гарч ирсэн. Асуудлыг АТГ-д шалгуулахаар шилжүүлсэн бгаа.
5
23
47
@oobshoo
Batu
1 day
@ayvengoroe Ковидоос хойш барууны ХО-чид гарч явснаар ажлын байр хомсдож, ипотекийн зээлээ төьж чадахгүй залуучууд ихэссэн
0
1
2
@ltx_model
LTX-2
1 month
Bring the LTX-2 API into real production pipelines, powering 4K, 50fps, synchronized-audio video generation
2
4
42
@tuul1234
Tuul
1 day
оросын энэ үхрийн лаазалсан мах нь гахайны мах байж гэнэ. Тажик,Казахстан, Киргиз Азербайджан улсуудад борлуулдаг. Тэд нар гахайн мах иддэггүй гээд шуугиж байна гэж. Манайх үхрийн лаазалсан махаа зармаар юм.
17
45
116
@oddiinohin
Оддын охин
2 days
"Манай хар масс гэдэг нь вакциныг үзэн яддаг, сургууль, цэцэрлэг хаахыг шаарддаг, Женко.Баттулга, С.Ганбаатар, Ц.Даваасүрэн, Л.Оюун-Эрдэнэ нарын улаан фэнүүд. Тэд Ж.Оджаргал, С.Баярцогт, Ц.Элбэгдорж, М.Энхсайхан, Ч.Сайханбилэг нарт дургүй. Тэд уул уурхайг эсэргүүцдэг, ураанаас
Tweet card summary image
mono.mn
Ямар ард түмэн байна, тийм төр байдаг гэлцдэг, магадгүй. Эсрэгээрээ ямар төр байна, тийм ард түмэн байдаг нь бас худлаа үг болохгүй.
11
85
185
@batengineer
BATENGINEER
2 days
Мөнхтамир захирал МИАТ-д сайн ажилласан. Гэхдээ Засаг өмчийн эзэн нь. Эзэн нь хэнд өмчөө хариуцуулахаа хэнээс ч асуухгүй шийдэх бүрэн эрхтэй. Залуу захиралд цаашдын замналд нь амжилт хүсье.
4
4
15
@Enkhsaikhan_PM
Мэндсайхан ЭНХСАЙХАН
2 days
Татварын бодлогоор гадаадын хөрөнгө оруулалт босгох ажилд Узбекистан явж өгөхнээ Саяхан Японы JBIC банк Узбекистанд 220 тэрбум иен гаргахаар болж Бид ч яахав өршөөнө өршөөхгүй гэсэн явган бодолд унасаар татвар тойрсон асуудлыг өргөн харахгүй л байх шиг. 🤫🤫🤫
@ZolooTeddy
Zolbayar Enkhbaatar
1 month
Узбекистан хиймэл оюунд ALL-IN хийж байна $100 саяас дээш өртөгтэй хиймэл оюун болон дата төвийн төслүүдийг татвараас чөлөөлсөн бүс байгуулахаар болсноо зарлалаа. Ингэхдээ: 1️⃣ Дотоодод үйлдвэрлэгддэггүй сервер, GPU болон хөргөлтийн системийн импортод гаалийн болон НӨАТ-ын
4
73
133
@AlgerInvest
Alger
22 days
CNEQ is an actively managed, high-conviction portfolio of large cap innovators. Has it outpaced the market?
0
0
0
@batengineer
BATENGINEER
1 day
ОТ сонсголын асуудлаар @SBayar12 гуайн талд бноо. Энэ бол сонсгол нэрээр гадаадын хөрөнгө оруулагчдыг үргээн хөөх ажиллагаа гэж харж бн.
5
28
74
@Ganzorig1
Чөлөөт хүн
2 days
Хүүе болжийшүү. Анхааралтай ажиглацгаая.
@AsuNewsMon
ASU.mn
2 days
Зодооны хэрэгт холбогдож, Интерполоор эрэн сурвалжлагдаж байсан “Таванбогд” группын захирал Ц.Баатарсайханы хүү, "Говь" ХК-ийн Гүйцэтгэх захирал Б.Амарсайханыг Тайландаас баривчлан авч ирсэн.
2
1
5