arifanindita_ Profile Banner
Arif Anindita Profile
Arif Anindita

@arifanindita_

Followers
733
Following
405
Media
28
Statuses
543

Postdoctoral Research Fellow @unimib | Interested in conflict, development, and family

Varese, Lombardy
Joined December 2018
Don't wanna be here? Send us removal request.
@arifanindita_
Arif Anindita
25 days
Today is 30 September, and it is time to share my job market paper (co-authored with Fawdy Wahyu and Ryan Sanjaya) studying the effect of the 1965-66 anti-communist purge (G30S/PKI) on the demographic transition in Indonesia. (1/n) #econtwitter #G30sPKI
3
193
427
@arifanindita_
Arif Anindita
9 days
I will be in Canberra in March 2026. Looking forward to connecting with prominent Indonesianists @ANUIndonesia If you are in Canberra and would like to discuss issues related to conflict, violence, and family formation in Indonesia, let's grab a coffee. 😃
@ANUIndonesia
ANU Indonesia Project
9 days
🎉Congratulations Arif Anindhita @arifanindita_, as a recipient of our Visiting Fellow Program! Arif is a Postdoctoral Fellow in Business and Law at the University of Milano-Bicocca, Italy. We extend our gratitude to all applicants and look forward to future collaborations!
3
1
13
@arifanindita_
Arif Anindita
17 days
Sharing findings from our studies on vocational education reform and the expansion of tertiary VET in Italy. https://t.co/tWlh9y6lsU
Tweet card summary image
stroncature.com
Dati essenziali
0
0
0
@arifanindita_
Arif Anindita
25 days
To conclude this thread, my JMP shows that the 1965-66 purge, followed by discrimination, reshaped Indonesia’s demographic path across births, marriage, and migration, driven by weaker labor market prospects for PKI offspring. The draft can be accessed upon request. (end)
3
0
6
@arifanindita_
Arif Anindita
25 days
We also find that, conditional on PKI winning, additional votes for Islamic parties are associated with more migration and higher marriage rates. This suggests an insecurity effect from living with perceived enemies, making it preferable to move or to find a partner. (15/n)
1
0
2
@arifanindita_
Arif Anindita
25 days
Our paper also explores the role of Islamic groups in this mass killing. Conditional on PKI winning, a one percentage point increase in votes for Islamic parties is associated with fewer births before 1964. A sign of a contribution to the killings by Islamic groups. (14/n)
1
3
6
@arifanindita_
Arif Anindita
25 days
It is no secret that parents value jobs when deciding to support marriages. Soeharto’s era policies excluding PKI members and their offspring from several occupations made them less competitive in the marriage market. (13/n)
1
0
2
@arifanindita_
Arif Anindita
25 days
The informality result may also help explain the decline in marriage. PKI offspring are less competitive in the marriage market due to weaker labor-market prospects, for example, their inability to become civil servants or formal-sector workers. (12/n)
1
0
6
@arifanindita_
Arif Anindita
25 days
This finding on informality suggests discrimination through signaling. It may be better for a business not to hire someone from regions known as PKI strongholds. Consistent with discriminatory policies toward PKI offspring. (11/n)
1
0
4
@arifanindita_
Arif Anindita
25 days
We find a striking result on informality. For those born in areas where the PKI won ≥50%, there is a significant increase in working in the informal sector. We find a significant impact for men, but not for women. (10/n)
1
2
6
@arifanindita_
Arif Anindita
25 days
We then examine several mechanisms that could explain our findings. We do not find strong channels through years of education or the intensity of the birth-control (KB) program. (9/n)
1
0
3
@arifanindita_
Arif Anindita
25 days
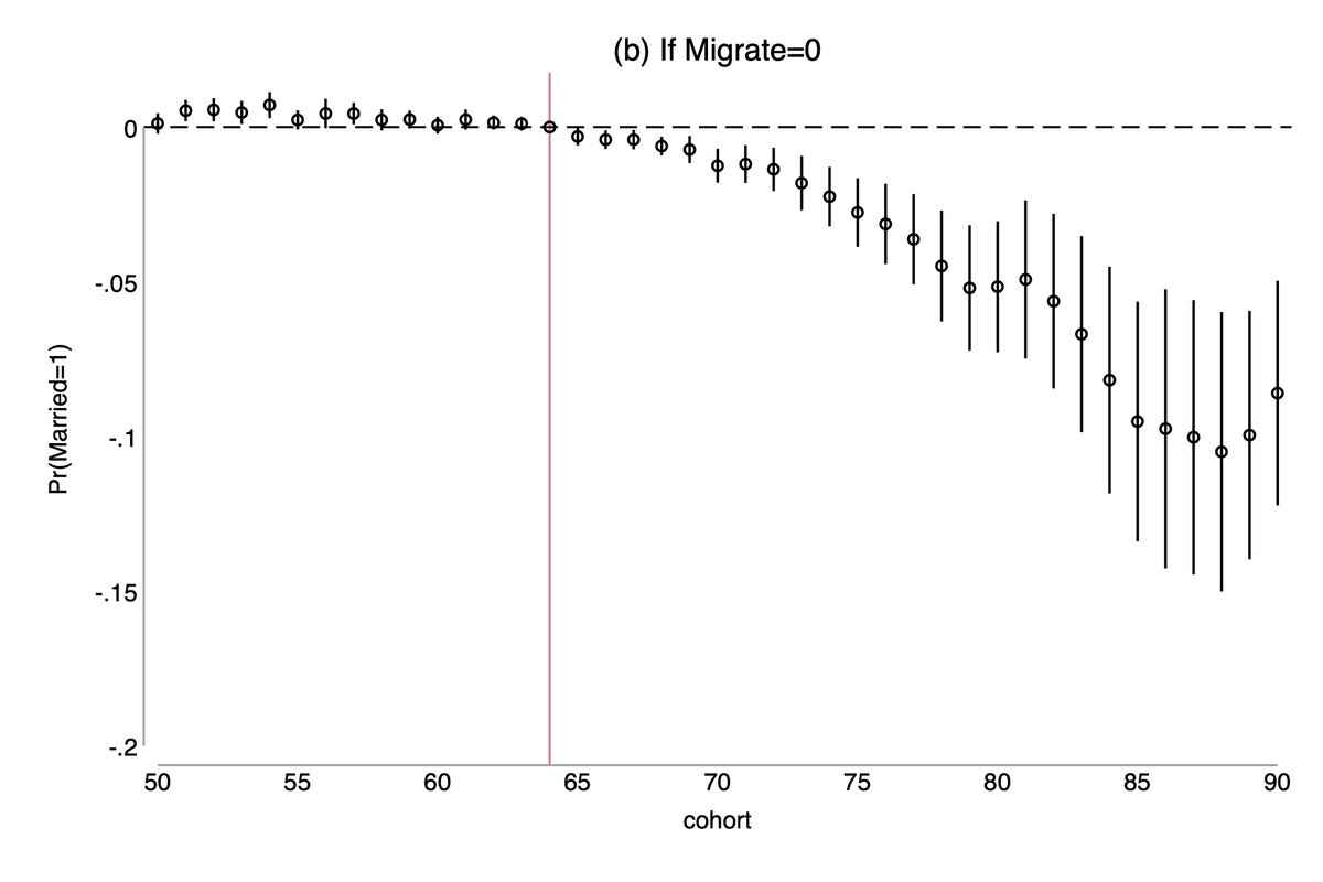
We hypothesize that discrimination drives this decline in marriage. Holding migration status fixed, we find similar results. An indication that discrimination in destination regions also makes it harder to find a partner. (8/n)
1
0
4
@arifanindita_
Arif Anindita
25 days
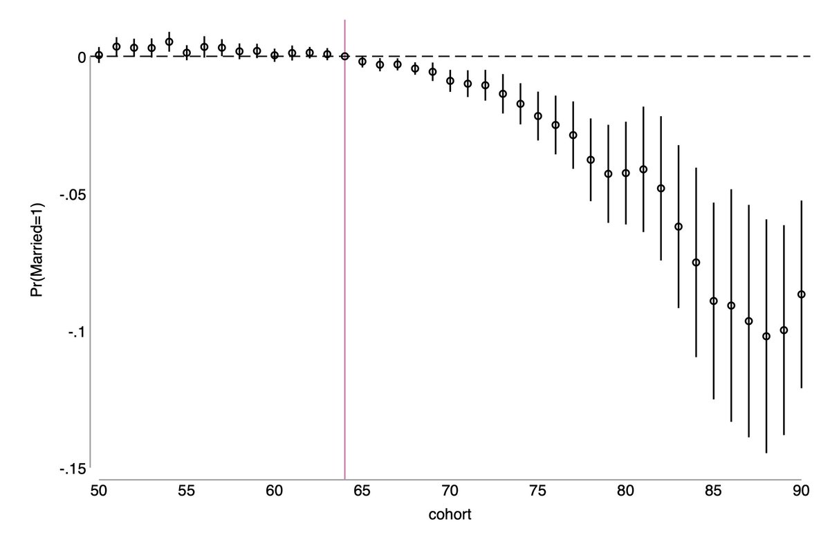
Another surprising result concerns marriage. We find a very strong negative impact on marriage. Those born in affected areas are less likely to marry, and the effect persists even after Soeharto fell (see the 1985 cohort). (7/n)
1
0
7
@arifanindita_
Arif Anindita
25 days
We find a surprising result on migration. Those born in PKI strongholds are less likely to migrate, possibly because they face the same discrimination in destination regions. (6/n)
1
0
6
@arifanindita_
Arif Anindita
25 days
Our analysis shows a persistent negative effect on the number of births. We then examine how this happened. Is it driven solely by mass killing, or also by other factors such as migration, marriage, and fertility? (5/n)
1
0
5
@arifanindita_
Arif Anindita
25 days
In this thread, I will share several striking findings about the 1965 anti-communist mass-killing. (4/n)
1
0
3
@arifanindita_
Arif Anindita
25 days
We use two-way fixed-effects event studies, exploiting regional variation in the 1955 legislative election, combined with the 2010 census, to measure the effect of the 1965 mass killings on the number of births, migration, marriage, and fertility. (3/n)
1
0
2
@arifanindita_
Arif Anindita
25 days
For those who are not familiar with this mass killing, G30S/PKI resulted in 500k-1million deaths without proper judicial mechanisms. Worse, several discriminatory policies toward PKI members and their offspring were introduced and persisted during Soeharto’s era. (2/n)
1
0
4
@arifanindita_
Arif Anindita
2 months
Apa yang diharapkan dari presiden yang cuma bisa pidato dan halu.
0
0
6
@arifanindita_
Arif Anindita
2 months
Publisher favorit warga +62 buat ngejar naik pangkat kilat, sampe terbentuk pandangan bahwa publish paper di jurnal terindeks scopus itu MAHAL BANGET.
@Spottingthespot
Spotting
2 months
Well, @MDPIOpenAccess calls this 'a correction'! I call this an entire new paper! This is just enabling #fraud! Editor was also linked to the author(s). Integrity, ethics? Publishers don't have this. This should have been a retraction! A 6 page correction! https://t.co/soLzizuLZG
0
0
1