
VVK
@VKrishna_V
Followers
2K
Following
42K
Media
3K
Statuses
20K
Craft hollywood level vundali - Content manadi vundali. Understanding of Cinema 🫡 #HBDSSRajamouli
0
261
1K
somebody should make 1000+ Yr old Brihadeeswara Temple inauguration like this after Cholas extensive conquests. it had single rock 25 Ton Shikara Indian govt released 1000rs coin on Brihadeeswara Temple
0
5
21
Kantara tribe giving their 3 shiva idols to Kadamba dynasty to build temple is almost equivalent to odisha tribe making 3 Puri jagannath idols to Eastern ganga dynasty
0
1
11
ee full bgm only snake chuttukuntunappudu nandi chusi aaginappude vasthadi @ 0:14🥵
0
2
15
Yesterday's Medical Nobel Prize had foundations in Robert Oppenheimer's Manhattan project. This discovery may helpful in Cancer treatment.
0
3
5
@VKrishna_V TCS or Infosys is a service based company but not a product based company like zoho. In TCS you were providing service to US companies like a helping man, you don't have authority or patents or licenses/power on your own creation. Whereas zoho has own products and patents.
1
1
0
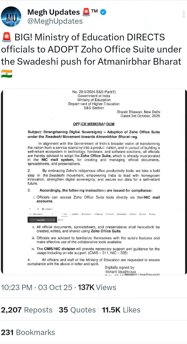
Oka chinna village lo zoho company base ni establish chesukunnadi Chinna village lo kids ki free education isthundi India's Minister of education article raasaru zoho meeda. Govt is encouraging its use for official purposes under Atmanirbhar 👏
1
3
5