Teamsters986 Profile Banner
Teamsters Local 986 Profile
Teamsters Local 986

@Teamsters986

Followers
1K
Following
1K
Media
805
Statuses
2K

Teamsters Local 986, Representing our members and the community throughout the Western United States, Hawaii, and Guam since 1948. 1-626-350-9860

Covina, CA
Joined May 2017
Don't wanna be here? Send us removal request.
@Teamsters986
Teamsters Local 986
13 days
📣 Teamsters Local 986 Delegates Elected! On Jan. 6, 33 Delegates & 12 Alternates were nominated to represent us at the 2026 IBT Convention. Please see posted images for details. #Teamsters986 #UnionStrong #SolidarityForever
0
0
0
@Teamsters986
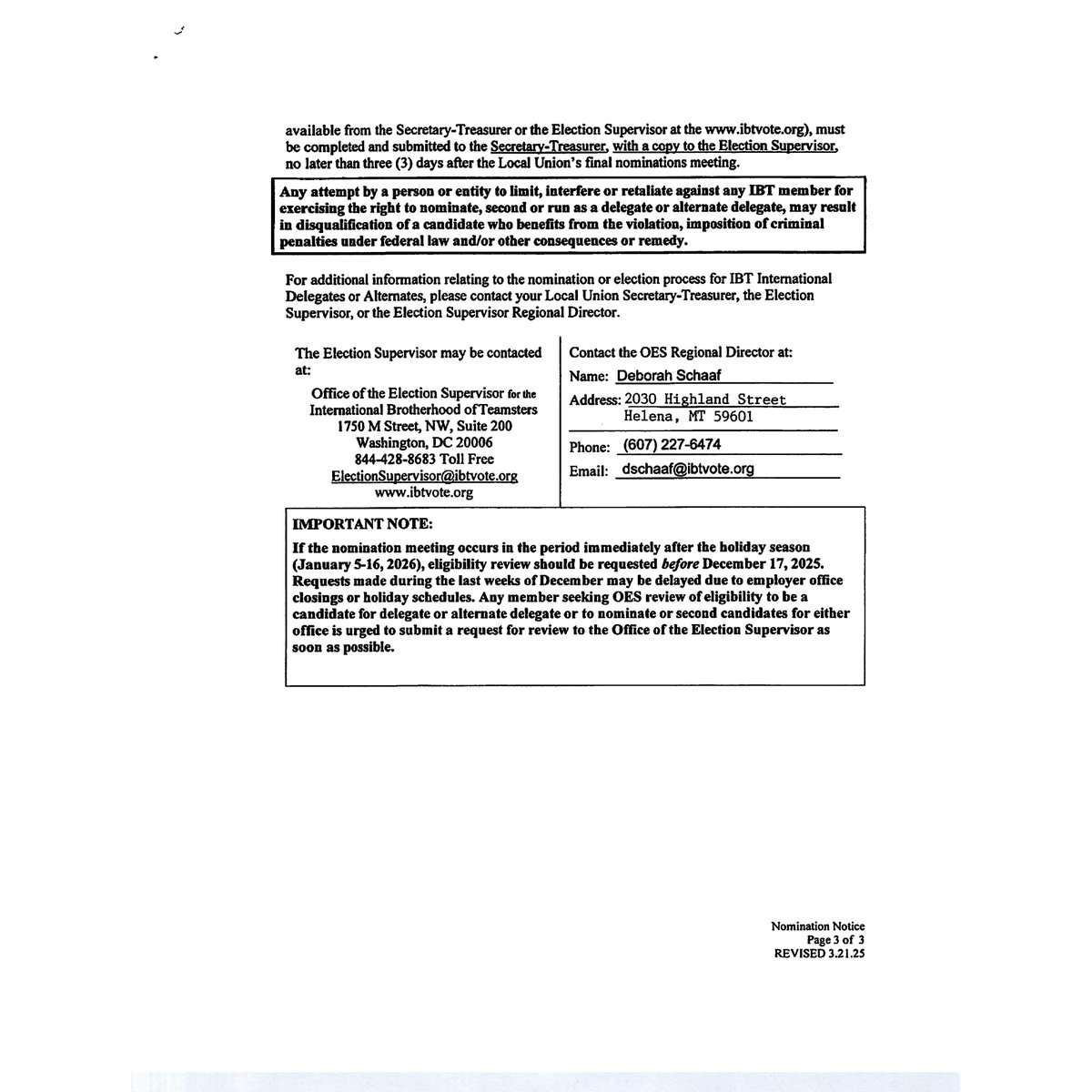
Teamsters Local 986
2 months
Nomination Notice
0
0
0
@Teamsters986
Teamsters Local 986
2 months
Anuncio De Las Nominaciones
0
0
0
@Teamsters986
Teamsters Local 986
2 months
🦃 Happy Thanksgiving from Teamsters Local 986! We’re thankful for our hardworking members and your families — your strength and solidarity power this union every day. 💪 #Thanksgiving2025 #Teamsters986 #UnionStrong
0
0
0
@AFLCIO
AFL-CIO ✊
2 months
Happy Thanksgiving from America’s unions! We’re so thankful for our unions and for working people everywhere, and we’re grateful for your solidarity. We hope that you have a fun, safe and meaningful day.
4
24
64
@FightForAUnion
Fight for a Union
2 months
While baristas are on strike, our job is simple: DON’T SHOP AT STARBUCKS. They’re striking for fair pay and respect and we’re standing with them. Show the billionaires our solidarity is stronger than their greed. #NoContractNoCoffee
216
108
272
@Teamsters
Teamsters
2 months
Nearly 300 newly organized bus workers at Zum Transportation, represented by Teamsters Local 570, have overwhelmingly ratified a strong first contract. The four-year Teamsters agreement secures wage increases, improvements to benefits, and on-the-job protections for the members
5
18
56
@Teamsters986
Teamsters Local 986
2 months
🎓 Attention High School Seniors! Applications are now open for the 2026 Teamsters Scholarship. 📅 Deadline: April 1, 2026 📍 Apply now: https://t.co/8swuY2wvfr Don’t miss this opportunity to invest in your future.
0
0
0
@RBReich
Robert Reich
2 months
Thousands of Starbucks workers are on strike for a living wage and better working conditions. Stand with them by boycotting Starbucks until it can strike a fair contract.
Tweet card summary image
sbworkersunited.org
Starbucks is one of the most profitable companies on the planet. As partners, we’re building a movement to have a real voice in determining and sharing that success.
@InequalityMedia
Inequality Media
2 months
Zohran Mamdani has called for a boycott of Starbucks until the company can bargain a fair contract with its striking workers. We joined members of the mayor-elect's team on the Starbucks picket line in NYC.
232
332
846
@NewsHour
PBS News
2 months
The EPA is starting to allow the use of pesticides containing PFAS on food. The move is part of an effort to roll back the regulation of what are called "forever chemicals" because they don't break down easily in the environment.
418
3K
4K
@teamstersjc42
Teamsters Joint Council 42
7 months
Ready Mixed #Teamsters out strong in Irwindale ✊
3
1
1
@teamstersjc42
Teamsters Joint Council 42
7 months
These are the faces of the Ready Mixed lockout. These #Teamsters are determined to win a contract that values their work.
0
1
3
@Teamsters
Teamsters
7 months
The Teamsters’ fight at Amazon is life or death. Day by day, week by week. Unit by unit, facility by facility. The Teamsters will unionize Amazon.
462
163
832
@Teamsters
Teamsters
8 months
After months on the picket line, 10 Roads Express drivers nationwide have reached a tentative agreement with the company, ending a strike that began in February. The new agreement delivers improvements for workers, including comprehensive Teamsters' health care.
3
5
27
@Teamsters
Teamsters
8 months
After nearly 10,000 nurses at Corewell Health East won one of the largest union elections in modern U.S. history to join the Teamsters, Corewell nurses are beginning bargaining next week to win the strong Teamsters contract they deserve.
5
18
119
@DemocraticWins
Democratic Wins Media
1 year
BREAKING: Kamala Harris’ campaign just released their first ad taking on JD Vance’s inability to say Donald Trump lost the 2020 election. Retweet to make sure every American sees this ad.
1K
10K
25K
@teamstersjc42
Teamsters Joint Council 42
1 year
👏👏👏
@teamstersjc7
teamstersjc7
1 year
San Francisco Amazon Warehouse workers have joined the Teamsters! ✊
1
1
1
@Teamsters
Teamsters
1 year
UNITED AIRLINES TEAMSTERS DESERVE BETTER HAZARD PROTECTIONS AT WORK Technicians at United Airlines risk their personal safety every day when they show up to work. Maintaining aircraft to the highest standards means putting technicians in dangerous working conditions, including
2
9
39
@Teamsters
Teamsters
1 year
The Teamsters Union will organize and fight Amazon at every facility in North America until we win. We're Teamsters. That's what we do. We organize and fight to win. And we will win by unionizing Amazon.
3
23
81