Aasef Shaikh Profile
Aasef Shaikh

@Shaikh_Lab

Followers
72
Following
2
Media
3
Statuses
21

Joined May 2023
Don't wanna be here? Send us removal request.
@Shaikh_Lab
Aasef Shaikh
7 months
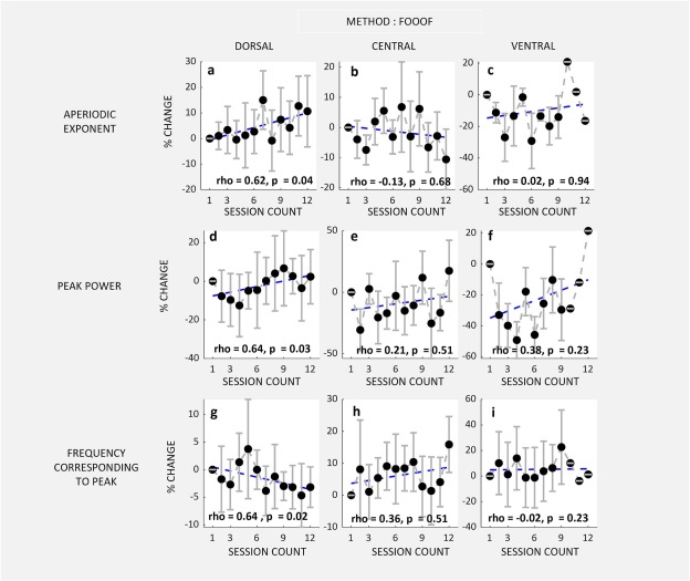
Latest from Shaikh Lab: Joshi et al.: "Long-term exercise intervention affects the dorsal subthalamic nucleus (STN), without any immediate change, while the ventral STN shows no response." https://t.co/kyvcrUcXc3
0
0
1
@ClinicalNeuroph
IFCN and its Clinical Neurophysiology journals
7 months
[Parkinson’s disease] Joshi et al.: "Long-term exercise intervention affects the dorsal subthalamic nucleus (STN), without any immediate change, while the ventral STN shows no response." https://t.co/FKgyjssxFV
0
2
2
@Shaikh_Lab
Aasef Shaikh
2 years
Event page:
1
1
1
@Shaikh_Lab
Aasef Shaikh
2 years
Event page:
1
1
1
@Shaikh_Lab
Aasef Shaikh
2 years
Announcing our course -- an update on eye movements and neuro-ophthalmology -- "Neuro-ophthalmology, Siena". To be held in Siena, Italy - Sep 16,17. The course is designed for residents, fellows, generalists, or even interested specialists. @DrAlfonsoFasano
1
1
4
@GreenJournal
Neurology Journal
2 years
This study investigated longitudinal associations between blood-based neural biomarkers and white-matter neuroimaging biomarkers in collegiate athletes with sport-related #concussion from 24-hours post-injury to 1 week after return-to-play. https://t.co/KhbhqIL82i #NeuroTwitter
0
2
10
@Shaikh_Lab
Aasef Shaikh
2 years
Honored to share our new book focusing on network theories in dystonia. Thanks to all the colleagues and friends for your support, collaboration, and friendship! ⁦@dmrf⁩ ⁦@DrAlfonsoFasano⁩ ⁦@JankovicJoseph⁩ ⁦@SanjayP30043502⁩ ⁦@CwruNeuro
4
6
34
@Shaikh_Lab
Aasef Shaikh
3 years
Self-motion perception can be modulated by subthalamic DBS - hyper-direct pathway, and subthalamic connections with the cerebellum play a crucial role.
0
2
10
@CwruNeuro
Case Western Res Univ/UHCMC Neurology Residency
3 years
It’s almost graduation time for our PGY4s!!!! 🥳🥳 Can’t wait for see what the future holds for this amazing group of neurologists! 🧠🥳 Know where they are headed for their fellowships: #NeuroTwitter #ResidencyGraduation #NeurologyProud #UHProud
1
4
24
@Shaikh_Lab
Aasef Shaikh
3 years
Thank you for an excellent meeting, Team DMRF. Special thanks for Janet, Jeane Em, and Jan for all that you do!
0
1
7
@SillitoeLab
Sillitoe Lab
3 years
Dr. Sillitoe kicking off his talk summarizing what we can learn from animal models of dystonia with his son’s drawing of a mouse… underscoring that it takes a village to understand this disease. @dmrf
0
3
13
@Shaikh_Lab
Aasef Shaikh
3 years
Thank you for an excellent review Dr Jankovic.
@JankovicJoseph
Joseph Jankovic
3 years
@dmrf @DrAlfonsoFasano @AMahajanMD @dystoniaeurope Honored to be a member of this editorial board and participate in the launch of the new journal. @PDCMDC @DrAlfonsoFasano @MichaelOkun @movedisorder
0
1
4
@JankovicJoseph
Joseph Jankovic
3 years
@dmrf @DrAlfonsoFasano @AMahajanMD @dystoniaeurope Honored to be a member of this editorial board and participate in the launch of the new journal. @PDCMDC @DrAlfonsoFasano @MichaelOkun @movedisorder
1
3
9
@SanjayP30043502
Sanjay Pandey
3 years
Amazing interest and enthusiasm among the young neurologists from the MDS-AOS region....@MDS @MDSI @IAN @AmritaHospitals
@amritafbd
Amrita Hospital, Faridabad
3 years
#AmritaHospital, #Faridabad, conducted MDS-AOS 5th School for Young #Neurologists on May 28, 2023. This was an opportunity for neurologists interested in specialising in #MovementDisorders to receive in-depth knowledge from internationally recognised Movement Disorders experts.
0
1
7
@FrontPartners
Frontiers Publishing Partnerships
3 years
Since its launch in Spring 2021, the official journal of the @dmrf, #Dystonia, has become an important resource for basic scientists and clinicians in the #movementdisorder field. Explore opportunities to get involved👇
0
4
3
@Shaikh_Lab
Aasef Shaikh
3 years
We had a successful Emerging Leaders event in Dublin @dmrf Thanks to all participants. Looking forward to the special volume on this event in @FrontPartners journal Dystonia
0
1
6