Genser.btc Profile
Genser.btc

@Sergen91

Followers
117
Following
2K
Media
544
Statuses
4K

$STX #Stacks

San Pedro Sula, Honduras.
Joined April 2011
Don't wanna be here? Send us removal request.
@Sergen91
Genser.btc
5 days
Algo sucederá hoy.
0
0
0
@PiCoreTeam
Pi Network
7 days
The Pi Testnet DEX and AMM liquidity pool features have been updated to improve usability, transparency, and liquidity organization. Updates include a redesigned interface, Pi-denominated trading pairs, domain verification as a trust signal, and a new liquidity-based token
Tweet card summary image
minepi.com
471
1K
6K
@Sergen91
Genser.btc
7 days
Se imagina encontrarse la llave de esa billetera? Ufff
@Mrcryptoxwhale
Mr. Crypto Whale 🐋
7 days
Not a single dollar has moved in 16 years. Is he dead or alive?
0
0
1
@SalvaPresidente
Salvador Nasralla
7 days
Los números hablan por si solos, cada urna abierta reduce la mentira. Ahora queda claro por qué temen abrir las urnas identificadas por el @Oficial_PLH ¡Vamos Honduras!
149
154
1K
@Cointelegraph
Cointelegraph
12 days
🇺🇦 ALERT: The son of a Ukrainian deputy mayor was murdered for his crypto. Never reveal your wealth to people you don't trust completely.
248
246
2K
@EmmaRincon
Emmanuel Rincón
15 days
Muy bien @SalvaPresidente, no hay NINGUNA excusa para anular o detener el ciclo electoral. A contar los últimos votos y a reconocer al justo ganador de esta elección, es lo que merecen los hondureños.
@SalvaPresidente
Salvador Nasralla
15 days
El voto por voto no es una petición, es la única manera de garantizar un proceso transparente y confiable. Si el Partido Nacional ya aceptó el conteo voto por voto y Libre aceptó la derrota, no existe justificación para detener lo que la democracia exige. Por eso hoy exigimos
40
130
761
@Sergen91
Genser.btc
15 days
Mil veces de acuerdo con CZ
@cz_binance
CZ 🔶 BNB
15 days
She will be better off to accept $1m today, ape bitcoin (or BNB), then spend $1k each week for the rest of her life, with millions left over. Will be clear in a few years. Assume she lives 100 more years, she gets $5m (no inflation). Today: BTC $90k, BNB $865. Let's 👀
0
0
0
@SalvaPresidente
Salvador Nasralla
19 days
Más adulteraciones . Son miles de actas cambiadas a favor del candidato que nunca estuvo en primer lugar en las encuestas, ni en las bocas de urna. Quienes las adulteraron prepárense para enfrentar la justicia a partir del 27 de enero 2026.
91
270
1K
@SalvaPresidente
Salvador Nasralla
20 days
El Partido Liberal va ganando, 5 de diciembre, 6:00pm. En solo 136 mesas revisadas de las actas con inconsistencias se detectó una inflación de 26,994 votos a favor de PNH y 1,860 votos restados al Partido Liberal. Faltan por revisar más de 2,700 actas con inconsistencias.
205
340
2K
@SalvaPresidente
Salvador Nasralla
21 days
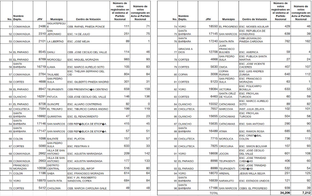
Esta es otra forma de robar del sistema que alimenta la información del @CneHonduras . Como en @PLHonduras sacamos bastantes más votos que el partido nacional @PNH_oficial no contabilizan actas como la adjunta en los departamentos de Cortes, Yoro, Atlántida y Colón donde les
122
225
1K
@nayibbukele
Nayib Bukele
22 days
644
2K
19K
@PiCoreTeam
Pi Network
28 days
Pi has partnered with CiDi Games because gaming fits perfectly in the Pi Network ecosystem—and gaming is a vertical Pi has already been continuously cultivating in its ecosystem. The partnership is part of Pi’s broader multifaceted, strategic, and ongoing approach to ecosystem
Tweet card summary image
minepi.com
612
2K
8K
@CoronaVirusGT
@CoronaVirusGT
28 days
Cuando el pueblo se pelea entre ellos, llegan los politicos y te roban en tu propia cara.
194
3K
14K
@SalvaPresidente
Salvador Nasralla
29 days
Todo mi respeto a una gran nación que son los EEUU 🇺🇸, aliado natural de mi querida Honduras 🇭🇳. Lamento mucho la desinformación malintencionada de mis rivales políticos que sabiéndose perdedores han llevado a oídos de los asesores del presidente Trump, persona que merece todo mi
482
526
3K
@CesiaMejiaHN
Cesia Mejía
29 days
Muchos de LIBRE celebran más que Trump apoya a Nasry y no comprenden o quieren ignorar que dice que no puede trabajar con Moncada y los comunistas. Puntualmente Donald Trump dijo sobre cada uno: -Salvador Nasralla: Ganó y ayudó a Castro a ganar. Luego renunció y ahora finge ser
256
83
549
@Sergen91
Genser.btc
29 days
Será eso lo que significó el primer sueño que tuve de no votar por Rixi?
@ActualidadRT
RT en Español
29 days
🇺🇸⚡️🇭🇳 TRUMP: "¡Espero que el pueblo de Honduras vote por la libertad y la democracia, y elija a Tito Asfura como presidente!" https://t.co/sSVRQu82N8
0
0
0
@EmmaRincon
Emmanuel Rincón
1 month
Honduras decide: repetir la tragedia de Venezuela, Cuba y Nicaragua o preservar la democracia https://t.co/HWzlkyAYYj “Es fácil ser comunista en un país libre; lo difícil es ser libre en un país comunista”. Ese viejo refrán lo escuchamos quienes tuvimos la desgracia de ver cómo
Tweet card summary image
republica.com
“Es fácil ser comunista en un país libre; lo difícil es ser libre en un país comunista”. Ese viejo refrán lo escuchamos quienes tuvimos la desgracia de ver cómo el comunismo destruyó nuestros países....
40
216
665
@ConfidencialHN
ConfidencialHonduras
1 month
🔴#Ú𝐋𝐓𝐈𝐌𝐀𝐇𝐎𝐑𝐀 | Honduras queda fuera de los fondos de la Cuenta del Milenio Honduras no calificó para acceder a los recursos de la Cuenta del Milenio, luego de reprobar indicadores cruciales como: • ❌ Control de la Corrupción • ❌ Eficacia del Gobierno • ❌
31
74
166
@EmmaRincon
Emmanuel Rincón
1 month
"Rixi Moncada es una comunista más radical que Castro, quieren entregar el país a China, están amenazando a empresarios, mientras que condecoran con el orden más alta nacional al dictador asesino de Nicolás Maduro, que ha expulsado a 9 millones de venezolanos del territorio
53
422
1K
@usembassyhn
U.S. Embassy Tegucigalpa
1 month
.@WHAAsstSecty: Los Estados Unidos de América continúa observando de cerca a Honduras, a medida que se acercan las elecciones del 30 de noviembre. El pueblo hondureño debe tener la oportunidad de elegir al presidente de su preferencia en elecciones libres y justas.
@WHAAsstSecty
Bureau of Western Hemisphere Affairs
1 month
The United States continues to closely watch Honduras as elections approach on November 30th. The Honduran people must have the opportunity to elect a president of their choosing in free and fair elections.
70
215
801