
Scientific Reports
@SciReports
Followers
125K
Following
13K
Media
3K
Statuses
23K
Online & #openaccess. A primary research publication from @NaturePortfolio covering all areas across the natural sciences, medicine, psychology and engineering.
London
Joined March 2011
Scientific Reports is your open access home for primary research in natural sciences, medicine, psychology, and engineering. To learn more about our editorial process, have a look at the video below.
18
16
50
Ancient mitogenomes from Neolithic, megalithic and medieval burials suggest complex genetic history of Kashmir valley, India https://t.co/yP0bTjPudl
0
0
2
Widely-distributed freshwater microorganisms with streamlined genomes co-occur in cohorts with high abundance https://t.co/Vryvkuc2dO
0
0
0
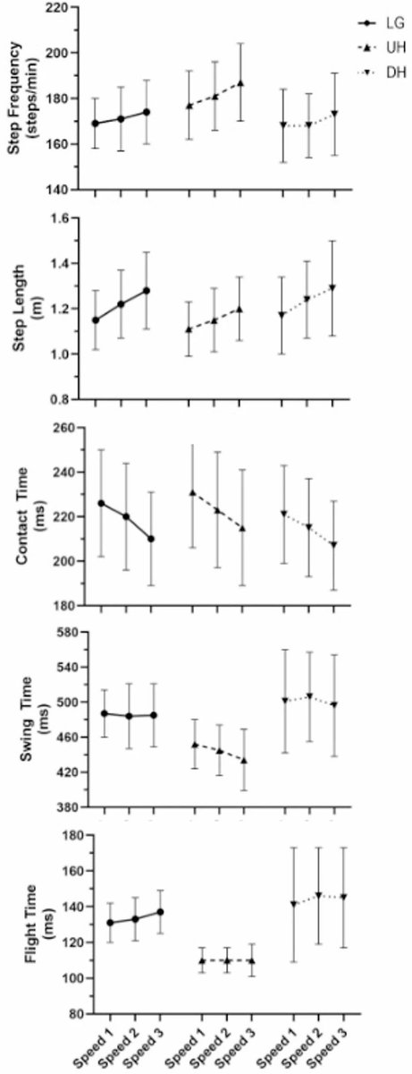
Biomechanical strategies to achieve faster running speeds on level ground, uphill and downhill grades https://t.co/JpOyqgK4Yy
0
1
3
Low-dose nivolumab plus induction chemotherapy for locally advanced or unresectable head and neck cancer is associated with high response rates and conversion to definitive therapy https://t.co/X01IUG4hP1
0
1
1
Influence of color on glare perception revealed when seeing the sun through colored glazing https://t.co/YrLuUahhB6
0
0
0
Strontium and oxygen isotope analysis reveals changing connections to place and group membership in the world’s earliest village societies https://t.co/Xfl9sHkckk
0
1
0
Understanding the social benefits for playful employees in the workplace https://t.co/594KiW0Jxl
0
0
1
Economic and nutritional value of insect pollination services in Ethiopia https://t.co/Gh0J0LfeKJ
0
0
1
Mapping human fatalities from megafauna to inform coexistence strategies https://t.co/7nPQptqSZn
0
1
2
Boosting microparticle tracking with neuromorphic cameras by optical modulation https://t.co/zt8fKEOI3B
0
0
0
Zebra finch tutees not only share the melody but also the rhythm of their tutor’s song https://t.co/SEkkFZFmYU
0
0
2
Spatiotemporal patterns in air pollution and sound in Dhaka, Bangladesh https://t.co/4FWLzNbNCV
0
0
1
Asian elephants (Elephas maximus) recognise human visual attention from body and face orientation https://t.co/t62vGGmFnG
0
0
0
New evidence reveals dispersal of pearl millet from West Africa to South Asia by 2500 BCE https://t.co/4uXAQ6bS2y
0
1
4
Contextualizing the Norwegian standardized intensity zone framework in an international sample of endurance practitioners https://t.co/jDlLzdg4Z9
0
0
0