
Sarena Snider
@SarenaSnider
Followers
2K
Following
5K
Media
210
Statuses
6K
Investigative mind bearing witness to a wild world. Documentarian @ Lens Magnetic Pictures. Columbia Journalism alum. Got my start at @NatGeo.
Joined August 2008
October 7 was not a “war crime” @ZohranKMamdani. It was genocidal terrorist pogrom, the kind Jews have suffered for hundreds, if not thousands of years. Apologize for this craven and deliberate incorrect framing. To make peace, you must speak truth.
3
2
4
Those who believe that liberal democracy and the free market can be defended by the force of law and regulation alone, without an internalised sense of duty and morality, are tragically mistaken. — Jonathan Sacks
1
0
1
Rest in peace Bernie Parent: one of the most beloved athletes in the history of #Philadelphia, who gave that love back in droves to everyone he touched. What a beautiful human being. 🧡😢 @NHLFlyers @SniderHockey @bernieparent #BernieParent
9
63
928
Walking together forever ♾️
Ed Snider’s love and passion for the @NHLFlyers, @SniderHockey and the @PhiladelphiaGov will live forever! #EdSniderAFlyerForever
1
0
19
So sad to hear the news. My love goes out to his love Gini and his family.
The Flyers and Ed Snider Youth Hockey & Education are heartbroken to learn of the passing of Bernie Parent, a true legend, one of the most famous and beloved players, and most popular figures in the history of the organization and city of Philadelphia. https://t.co/Od28lVQHK8
1
0
8
FIRE’s Bob Corn-Revere for @PostOpinions: FCC Chair Brendan Carr nakedly abused government power to pressure ABC into removing Jimmy Kimmel from the air for his speech. In America, the government doesn’t get to play network executive and determine who and what you watch.
62
133
548
The Trump administration has proposed ending a program that requires power plants, fossil fuel refineries and the oil industry to report their yearly climate pollution
cnn.com
Environmental Protection Agency Administrator Lee Zeldin framed the new steps as a move to end burdensome regulations. Climate advocates blasted it as a way to give polluters a free pass.
650
219
414
In the last few years we've seen: - The plot to kidnap Gretchen Whitmer - The Storming of the Capitol and pipe bombs left at the RNC and DNC - The break-in to kidnap Nancy Pelosi and the brutal on Paul Pelosi - Multiple assassination attempts against Trump - The assassination
6K
18K
82K
Trump is expected to sign an executive order Friday that seeks to change the name of the Defense Department to the Department of War https://t.co/gZngW78Bnf
cnn.com
President Donald Trump signed an executive order Friday to rebrand the Pentagon as the “Department of War,” telling reporters in the Oval Office it was a more “appropriate” name given the state of...
517
177
806
Fascinating chat between @profgalloway & @ayanaeliza: When we are subsidizing fossil fuel companies at the tune of several million dollars a day, we must explore subsidies as a way to combat #climatechange.
open.spotify.com
The Prof G Pod with Scott Galloway · Episode
0
0
1
Incredible reporting. How Insularity Defined the Last Stages of #Biden’s Career https://t.co/amimuYdLXC via @NYTimes
nytimes.com
The effort by Joseph R. Biden Jr.’s inner circle to limit access to him helps explain why it took him more than three weeks to drop his re-election bid after his disastrous debate performance.
0
0
0
Wyden Slams RFK on Purging #FOIA Teams at HHS After Publicly Promising “Radical Transparency” There are almost 13,000 backlogged FOIA requests at HHS, and 49 percent of these backlogged requests are impacted by Secretary Kennedy’s mass firing https://t.co/Wx1T96Rion
3
12
23
Book excerpt: Detoxify "Many researchers believe that the United States’s skyrocketing rates of autoimmune disease in the last thirty years is due to the country’s concurrent skyrocketing rates of chemical exposure." https://t.co/yhM4dqunLb
ehn.org
"Many researchers believe that the United States’s skyrocketing rates of autoimmune disease in the last thirty years is due to the country’s concurrent skyrocketing rates of chemical exposure."
0
1
1
The wingspan of the Giant Hummingbird subspecies (Patagona gigas gigas) is about 4 to 5 inches! Just look at this extension. Giant Hummingbird Patagona gigas IUCN status - Least Concern
0
5
19
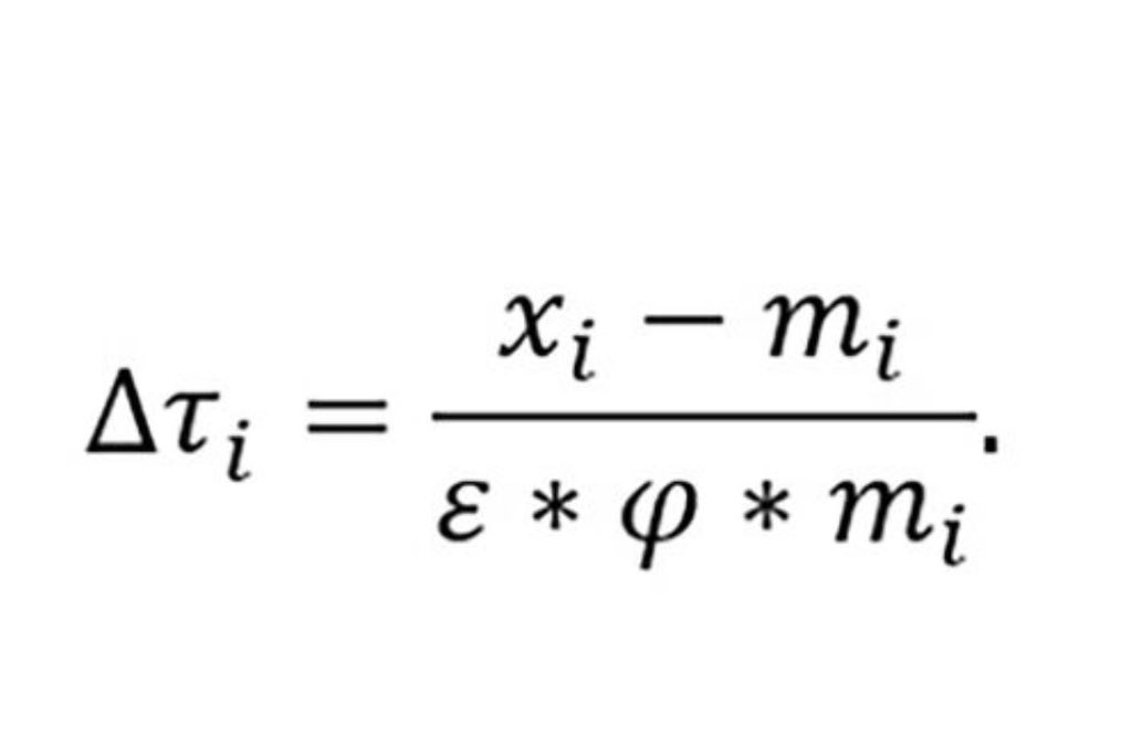
Exactly. The U.S. claims to seek “reciprocal” #tariffs using a formula that mostly just measures #trade imbalances in goods. This formula wrongly assumes that a perfectly balanced trade is the only fair outcome. Economist @NourielRoubini points out the hypocrisy: the U.S. runs a
The formula used by USTR to compute “reciprocal” tariffs is a lil “fancier” than the goods trade surplus of a country vs the US divided by its exports to the US. It also includes in the denominator two elasticity terms , epsilon and phi, whose product is in practice equal to 1.
0
0
1
"Because this [#fracking] wastewater is toxic and the Trump administration is moving to roll back multiple public-health rules, some environmental protection experts greeted the announcement with deep concern... 'Marcellus [shale] wastewater is among the most hazardous substances
On its “day of deregulation,” the EPA announced that it will revise the rules governing oil and gas wastewater, a move that could affect Eastern states like Pennsylvania https://t.co/2eNrEJwMgH
1
0
1
#Plastic water pipes leach dangerous chemicals when damaged in #wildfires
https://t.co/c6eiOpgrK6
@EHNewsroom
ehn.org
A new study published in Journal of Hazardous Materials demonstrates how plastic drinking water pipes break down when subjected to high temperatures. In short: When exposed to temperatures of 285℃,...
1
0
1
Illegal under California Penal Code 396. This agent should be reported stat. And home sites like Zillow should also be monitoring and delisting those who are verifiable and reported. @radiowagner @zillow
A furnished Bel Air home went on Zillow today for $29,500 / month. A few months ago, it was asking $15,900. I called up the agent. She said she told her client to re-list the home after this week's L.A. fires. "People are desperate," she said. "You can probably get good money."
2
1
2
“The decision matters because steelmaking constitutes about 11% of global #carbon emissions.”@sklee_ca #steel #economy #Pittsburgh #NipponSteel #USSteel
Enviros say if Nippon Steel's $15B buyout of US Steel had gone through, it would've locked in another generation of dirty steelmaking. But what if that production now goes overseas?
0
0
0