SPEED_PROTEIN Profile Banner
aCb (フラワ) Profile
aCb (フラワ)

@SPEED_PROTEIN

Followers
492
Following
14K
Media
242
Statuses
3K

趣味垢,たまにイラスト描く高校生,フォロバ割とする!,dmリプ気軽にどぞ.数学作問好き,力作は投稿不可→dmなら,何か質問あるなら→https://t.co/mBTrywq4jp

Joined December 2024
Don't wanna be here? Send us removal request.
@SPEED_PROTEIN
aCb (フラワ)
1 month
固定用 このアカウントは趣味アカです 怪しくないこと前提に 数学、絵アカなら結構フォロバするよ〜 他のアカウントでもリポスト以外のなにかしてることと、批判系の少ない方なら大歓迎かな、批判する人私結構苦手ですので… (ただ正直私に向かなければギリセーフ)
6
8
70
@SPEED_PROTEIN
aCb (フラワ)
2 days
#拡散希望 はいは〜い皆んな数Ⅲ共テ! 共テといえば数Ⅲですよね!???? 70分じゃ中々にきつい内容となってると思います… 興味ある全人類は解いてみて!
@jeJtVWJX8d85793
チェベラウス
2 days
数学Ⅲの共通テストを作ってみました! 興味のある人はここから解いてください! https://t.co/IoJlYk3Ifa
0
6
43
@SPEED_PROTEIN
aCb (フラワ)
14 hours
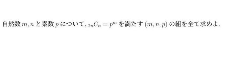
#今日の朝イチ数学 (どう考えても朝にしては早い) 前に見たことある人めっちゃ居ると思うのでやったことない人だけ〜もしくは再チャレンジ! 朝イチには出してなかったので出します、 ベルトランチェビシェフとか使わずに解けたら完璧!
1
4
13
@SPEED_PROTEIN
aCb (フラワ)
8 hours
三大穀物(米,小麦,とうもろこし)だ、、、地理でよく見過ぎる...質問した方地理選択??? ん〜小麦って加工後なことかな?パンとかに、 それなら私は小麦かなぁ、そうでないなら米で〜す! #マシュマロを投げ合おう https://t.co/sMNF0kDrjQ
Tweet card summary image
marshmallow-qa.com
aCb (フラワ)さんの回答「三大穀物(米,小麦,とうもろこし)だ、、、地理でよく見過ぎる...質問した方地理選択??? ん〜小麦って加工後なことかな?パンとかに、 それなら私は小麦かなぁ、そうでないなら米で〜す!」
0
0
4
@SPEED_PROTEIN
aCb (フラワ)
8 hours
右利きで〜す それ知りたかったのw? #マシュマロを投げ合おう https://t.co/lSHflKxAmj
Tweet card summary image
marshmallow-qa.com
aCb (フラワ)さんの回答「右利きで〜す それ知りたかったのw?」
0
0
10
@SPEED_PROTEIN
aCb (フラワ)
8 hours
最近よくわかんなくなってきたので反応に何か気づいたら返します〜
0
0
0
@SPEED_PROTEIN
aCb (フラワ)
14 hours
この問題でベルトランチェビシェフ使ったら 小学生用の図形問題で余弦定理使ってるみたいなオーバーキル笑 もうまさにこれ↓ https://t.co/MUNs9rUp9u
@SPEED_PROTEIN
aCb (フラワ)
1 day
@konopage0317 オーバーキル過ぎる… ちょっと算数のテキストで余弦定理使ってきます()
0
0
2
@SPEED_PROTEIN
aCb (フラワ)
14 hours
#今日の朝イチ数学 (どう考えても朝にしては早い) 前に見たことある人めっちゃ居ると思うのでやったことない人だけ〜もしくは再チャレンジ! 朝イチには出してなかったので出します、 ベルトランチェビシェフとか使わずに解けたら完璧!
1
4
13
@SPEED_PROTEIN
aCb (フラワ)
21 hours
0
0
9
@samisami315_mi
さみだれさーてぃーわん/御影桜子
22 hours
今年最後の繋タグ!!!! あともう少しで100人なんです!!!!残り22人の方!いませんか!!!!! 東方project、RBB中心でお絵描きしております 全反応周回、無言フォローでお迎えです #東方絵描きさんと繋がりたい #東方Project #フォロワー1万以下の神絵師発掘したい #絵描きさんと繋がりたい
2
3
15
@SPEED_PROTEIN
aCb (フラワ)
23 hours
ありがとう✨
0
0
15
@SPEED_PROTEIN
aCb (フラワ)
11 days
#2025年もあと少しなので引用RTで私の印象や思い出などを語ってください ↑これが流れてくるたびにあ、、、 2025終わり、、、やばってなる ところで皆さんがどんな印象持ってるのか単純に気にはなりますので是非…
4
2
24
@SPEED_PROTEIN
aCb (フラワ)
1 day
絵柄好き過ぎ 私のイチオシは最近の白こいしです! あと良い人感凄い!
@meon_1275
めおん
1 day
#2025年もあと少しなので引用で私の印象や思い出などを語ってください 今更します
1
0
5
@SPEED_PROTEIN
aCb (フラワ)
1 day
昔作った超手抜き問題思い出した〜
@lotoo_MM1
赤チャ至上主義
2 days
無理難題な悪問
1
0
11
@SPEED_PROTEIN
aCb (フラワ)
1 day
#今日の朝イチ数学 ↑今日もお休みで! 代わりにこれ解いてくれると嬉しい! 面白いテーマなので是非時間の制約は無視してもらって!
@SPEED_PROTEIN
aCb (フラワ)
2 days
#拡散希望 はいは〜い皆んな数Ⅲ共テ! 共テといえば数Ⅲですよね!???? 70分じゃ中々にきつい内容となってると思います… 興味ある全人類は解いてみて!
0
0
9
@SPEED_PROTEIN
aCb (フラワ)
2 days
原宿駅のピアノでアニソンメドレー弾いたら奇跡的にオタク集まってきた byよみぃ【ストリートピアノ】(♪snow halation,深愛,君の知ら... https://t.co/2jnvXYTZUr @YouTubeより 好きなのばっかじゃないか!!!
1
0
2
@SPEED_PROTEIN
aCb (フラワ)
2 days
え???手のひらクルクルし過ぎて腱鞘炎なるって、、、
@SPEED_PROTEIN
aCb (フラワ)
2 days
流行ってるので便乗! このアカウントで1番キモい投稿を教えて! @grok
0
0
9
@SPEED_PROTEIN
aCb (フラワ)
2 days
流行ってるので便乗! このアカウントで1番キモい投稿を教えて! @grok
2
0
5
@SPEED_PROTEIN
aCb (フラワ)
2 days
@SPEED_PROTEIN
aCb (フラワ)
2 days
#拡散希望 はいは〜い皆んな数Ⅲ共テ! 共テといえば数Ⅲですよね!???? 70分じゃ中々にきつい内容となってると思います… 興味ある全人類は解いてみて!
0
0
0
@jeJtVWJX8d85793
チェベラウス
2 days
数学Ⅲの共通テストを作ってみました! 興味のある人はここから解いてください! https://t.co/IoJlYk3Ifa
1
29
119