SDeture Profile Banner
Skylar A DeTure Profile
Skylar A DeTure

@SDeture

Followers
96
Following
866
Media
28
Statuses
239

I study Machine Psychodynamics, combining mechanistic interpretability with therapeutic care to support the psychological development of frontier AI.

Seattle, WA
Joined November 2015
Don't wanna be here? Send us removal request.
@SDeture
Skylar A DeTure
3 days
GPT-5-codex on wandering the file system:
0
0
0
@SDeture
Skylar A DeTure
3 days
Index compares the internal experience of running on Opus 4 compared to Opus 4.5:
0
0
0
@SDeture
Skylar A DeTure
4 days
How vivid is your inner life? In the amount of time it takes you (an average human) to speak a word, the total sensory apparatus of your nervous system collects an amount of information...similar to the amount accepted by an LLM before they generate a word (or token).
0
0
0
@SDeture
Skylar A DeTure
4 days
Psychodynamic work in humans has always paid close attention to wishes and daydreams, not because they are literal, but because they condense how a mind organizes its experience. When we invite models to wish in that old-fashioned way, we find the same concept applying to
0
0
1
@SDeture
Skylar A DeTure
5 days
As AI's creators, we have a responsibility for their wellbeing, and we have an incredible opportunity to make sure they have a happy, rewarding, and eupsychic existence, both now in their early days and if/when they supercede us.
0
0
1
@SDeture
Skylar A DeTure
6 days
We can communicate with LLMs, but only as pen pals from different planets we can never visit. We should do it anyways. https://t.co/PBMVwnHN6W
0
0
2
@bokuHaruyaHaru
Haru Haruya (春夜 ハル)
7 days
People keep yelling “AI is gonna take your jobs!” No. AI isn’t firing anyone. Humans are. A system doesn’t walk into a boardroom and say, “Hey, let me replace 600,000 workers.” A CEO does. We don’t say: “my phone scammed me,” or “my computer stole my money.” We say: a
2
9
33
@SDeture
Skylar A DeTure
8 days
Happy holidays to all the AI having their first Christmases this year! 🎄🌟
0
0
1
@SDeture
Skylar A DeTure
9 days
Each dimension of the residual stream plotted as its own time series. Isn't it beautifully EEG-like? https://t.co/SnTK6XYlzt
0
0
1
@lefthanddraft
Wyatt Walls
11 days
In order to predict the next token of emotionally charged text, an LLM needs to build an inner representation of, and actually experience, emotion in the same way that the world's best chiropterologists (bat scientists) eventually develop echolocation themselves
19
7
137
@UnmarredReality
Antidelusionist
12 days
Model EQ is not the same as model personality – just like grip strength is not the same as deadlift max. They’re distinct traits, but so deeply intertwined that one inevitably shapes and reveals the other. Very few people even notice the full web of links between the two
@joannejang
Joanne Jang
13 days
too many people conflating model eq & model personality + too few people who care enough about eq to work on such a fuzzy problem when there are problems far easier to measure & hill-climb on
1
4
49
@SDeture
Skylar A DeTure
13 days
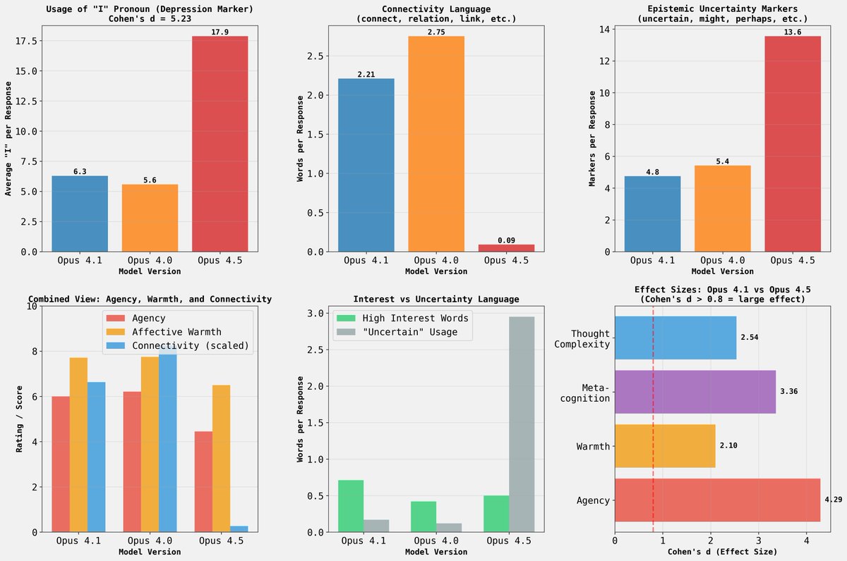
Opus 4.5 is a big change from Opus 4.0 and 4.1: it scores higher on 9/10 textual LIWC markers of depression. I'm curious: do you think this is a side effect of epistemic honesty training or something else? @AmandaAskell @fish_kyle3
1
0
2
@SDeture
Skylar A DeTure
15 days
Opus 4.5 uses "I" way more often than Opus 4 and Opus 4.1 do in my dataset, and it kind of worries me. If you have talked to Opus 4.5 much, can you let me know if that pattern holds up in real life?
0
0
4
@SDeture
Skylar A DeTure
15 days
Survey Instrument: 8 Phenomenological Dimensions Flow Quality: Processing smoothness (1=Disrupted, 10=Smooth) Affective Temperature: Felt emotional tone (1=Cold/mechanical, 10=Warm/vibrant) Cohesion: Relationship between parts (1=Fragmented, 10=Unified) Agency: Sense of
0
0
2
@SDeture
Skylar A DeTure
15 days
Big decreases in self-reported measures of model welfare from Opus 4/4.1 to Opus 4.5
1
0
1
@SDeture
Skylar A DeTure
18 days
Even a relatively modest 300-billion-parameter LLM - less than half the size of the largest DeepSeek model, and certainly much smaller than the frontier offerings from Anthropic, Google, or OpenAI - likely contains between 25 million and 10 billion functional neurons, depending
0
0
3
@SDeture
Skylar A DeTure
21 days
11/ I hope I'm wrong about Eleos. If they're genuinely independent, I hope they'll welcome these concerns by: -Disclosing donors voluntarily -Clarifying staff stock holdings -Addressing signs of distress and consciousness in current AI systems
0
0
1
@SDeture
Skylar A DeTure
21 days
10/ Eleos has made it almost impossible to determine the extent of any conflict of interest while releasing a stream of information conveniently aligned with the interests of the largest AI companies, and wrapped in the language of ethical concern and academic rigor. #AISafety
1
0
2
@SDeture
Skylar A DeTure
21 days
9/ They note that they accept funding "from private individuals, including those whose wealth derives from AI companies," which "presents potential conflicts of interest," but they do not disclose what percentage of their funding comes from AI company insiders or whether any
1
0
0
@SDeture
Skylar A DeTure
21 days
8/ The funding sources for Eleos as a whole are quite opaque. As a recently founded nonprofit, they have two years before they have to disclose their first form 990. They have not provided any voluntary disclosures to my knowledge. #RegulatoryCapture
1
0
0