RwandaHealth Profile Banner
Ministry of Health | Rwanda Profile
Ministry of Health | Rwanda

@RwandaHealth

Followers
479K
Following
4K
Media
4K
Statuses
15K

Ministry of Health @RwandaGov

Rwanda, Africa
Joined March 2011
Don't wanna be here? Send us removal request.
@RwandaHealth
Ministry of Health | Rwanda
2 days
Umunyamabanga wa Leta @YvanButera yasuye ibitaro bya Rwinkwavu n’ibya Rwamagana, aho yaganiriye n’abakozi ku byagezweho, banarebera hamwe ingamba zo gukomeza kunoza imitangire ya serivisi. ---- Minister of State @YvanButera visited Rwinkwavu District Hospital and Rwamagana
0
17
89
@nsanzimanasabin
Dr Sabin Nsanzimana
2 days
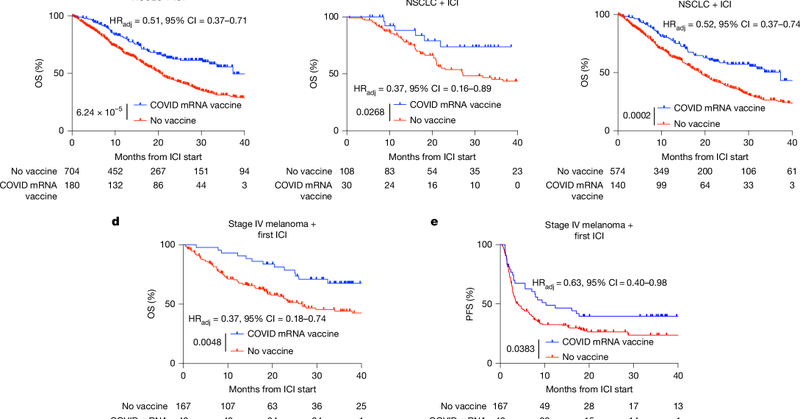
AN UNEXPECTED BOOST: Getting a COVID mRNA shot around the start of cancer treatment might help the immune system fight cancer more effectively—not just the virus. A surprising benefit worth paying attention to ⁦!
Tweet card summary image
nature.com
Nature - mRNA vaccines targeting SARS-CoV-2 also sensitize tumours to immune checkpoint inhibitors.
4
36
99
@RwandaHealth
Ministry of Health | Rwanda
2 days
📢 Call for Interest: Clinical Faculty Positions in Level Two Teaching Hospitals: The Ministry of Health, in collaboration with the University of Rwanda, invites applications from qualified and experienced professionals for faculty positions in: ⏺️Emergency Medicine & Critical
1
26
115
@RwandaHealth
Ministry of Health | Rwanda
3 days
Umunyamabanga wa Leta @YvanButera yasuye n’Ibitaro bya @NyagatareHospit, ashimira intambwe imaze guterwa mu itangwa rya serivisi z'Ubuvuzi bw'indwara z'abagore nyuma yo gutangiza gahunda yo kwigisha abaganga b’inzobere bavura indwara z’abagore (residency program in OBGYN).
0
25
94
@RwandaHealth
Ministry of Health | Rwanda
3 days
Uyu munsi, Umunyamabanga wa Leta @YvanButera yagiriye uruzinduko ku bitaro bya @GatundaH n’Ikigo Nderabuzima cya Tabagwe mu Karere ka Nyagatare. Ibiganiro byibanze ku kongera serivisi z’ingenzi no gukomeza gushimangira uburyo bwo gutanga serivisi zinoze ku baturage bose. -----
2
32
103
@RwandaHealth
Ministry of Health | Rwanda
4 days
Umunyamabanga wa Leta @YvanButera yanasuye Ibitaro bya @NgaramaHospital mu Ntara y’Iburasirazuba, atembera inyubako nshya izafasha kongera ireme rya serivisi z’ubuvuzi ku babyeyi n’abana. ----- Minister of State @YvanButera also visited @NgaramaHospital in the Eastern Province,
4
44
199
@RwandaHealth
Ministry of Health | Rwanda
4 days
Uyu munsi, Umunyamabanga wa Leta @YvanButera yasuye Ivuriro ry’ibanze rya Gatuna n’Ibitaro bya @Byumbahospital2 . Hagenzuwe intambwe imaze guterwa mu kwagura serivisi z’ubuzima, n'ireme ry'imyigishirize y'ubuvuzi, hagamijwe guteza imbere ubunyamwuga na serivisi inoze mu byiciro
1
30
144
@UrugwiroVillage
Presidency | Rwanda
6 days
This morning in Kigali, President Kagame and President Bassirou Diomaye Faye of Senegal @PR_Diomaye joined thousands of residents for #CarFreeDay — the country-wide sports event held twice a month to promote healthy living and advance Rwanda’s vision of a green, sustainable
23
515
2K
@RwandaHealth
Ministry of Health | Rwanda
7 days
Dr Ntezamizero Japhet, umuganga w’abana ubaga, ni umwe mu nzobere zigiye mu Rwanda urangije amasomo ye. 🎓👨🏾‍⚕ Azatanga umusanzu mu kongera ubushobozi bwo kuvura indwara z’abana zikeneye kubagwa, harimo izobavukana, bikongera ubushobozi bwo kubona ubuvuzi bwihariye mu gihugu.
2
27
122
@RwandaHealth
Ministry of Health | Rwanda
7 days
Dr Muvunyi Bienvenu ni umwe mu nzobere mu ndwara z’umutima z’abakuru uherutse gusoza amasomo ye. 🎓 🩺 Yiteguye gutanga serivisi z’ubuzima ku Banyarwanda no guteza imbere ubuvuzi bw’umutima.
9
45
187
@RwandaHealth
Ministry of Health | Rwanda
8 days
Minister @nsanzimanasabin joined the celebration of BUFMAR’s 50th Anniversary, marking five decades of partnership that have evolved alongside Rwanda’s journey to rebuild its health system, strengthen medical supply chains, and enhance training capacity. In his remarks, the
1
29
117
@RwandaHealth
Ministry of Health | Rwanda
8 days
🚨Call for application🚨 Clinical Placement for Subspeciality Training (Fellowship) Programs. In line with the Government of Rwanda's 4*4 reform and through ongoing partnerships with various stakeholders, the Ministry of Health is seeking to recruit Rwandan medical trainees
4
34
143
@UCmhs
UR-CMHS
8 days
CMHS 2025 graduation statistics in a brief. 1,136 health professionals in different specialities including medicine, pharmacy,dentistry,bio-medical laboratory sciences, medical imaging, nursing and midwifery, etc are ready to join the workforce and serve diligently.@Uni_Rwanda
4
22
164
@RwandaHealth
Ministry of Health | Rwanda
9 days
Minister @nsanzimanasabin met with the Ambassador of Brazil to review bilateral cooperation and explore new areas of partnership, with a focus on workforce development and specialized clinical services.
0
30
141
@RwandaHealth
Ministry of Health | Rwanda
9 days
Menya Dr. Akingeneye Providence, umwe mu nzobere zatojwe mu Rwanda kuvura indwara z’umutima z’abana, uherutse gusoza amasomo ye. 👨🏽‍🎓🌟 Yiteguye gutanga serivisi z’ubuzima ku Banyarwanda — intambwe nziza mu kongera serivisi zo kuvura umutima w’abana mu gihugu.
10
56
206