Nicholas Profile
Nicholas

@Realmkryptonite

Followers
16
Following
186
Media
10
Statuses
122

Industrial Engineering Student SolidWorks CAD & Design Mechanical Parts & Assemblies Learning • Designing • Building

Unizik
Joined May 2025
Don't wanna be here? Send us removal request.
@Realmkryptonite
Nicholas
3 months
This is a basic mechanical model with simple features I built using * Sketch/dimension tool * Extruded cut * Extrude boss/base I'm still very much a beginner 💯. if you're also into design/modelling, follow along let's learn, improve and grow together. #SolidWorks #StudentLife
@Realmkryptonite
Nicholas
3 months
Just completed my first 3D drawing on SolidWorks. Built this from scratch no tracing no tutorials just learning and believing. This is just the beginning more to come #SolidWorks #3DModeling #EngineeringStudent #EngineeringDesign #SolidWorksBeginner #CADJourney #DesignInPublic
0
0
1
@Realmkryptonite
Nicholas
3 months
Just completed my first 3D drawing on SolidWorks. Built this from scratch no tracing no tutorials just learning and believing. This is just the beginning more to come #SolidWorks #3DModeling #EngineeringStudent #EngineeringDesign #SolidWorksBeginner #CADJourney #DesignInPublic
0
0
2
@ayrastarr
Celestial being
3 months
Justice for ochanya #protectthegirlchild
370
8K
22K
@SOLIDWORKS
SOLIDWORKS
3 months
SOLIDWORKS 2026 includes a brand-new virtual companion called Aura to provide design guidance and capture knowledge from content on 3DSwym, drawing stamping with maturity status, new collaboration capabilities right from SOLIDWORKS, and more! #SW2026 https://t.co/6sEm38p2tl
1
2
15
@Realmkryptonite
Nicholas
3 months
New session just started, but ASUU strike is already playing games. Still I'm hopeful. I'll grow, I'll get better and by God's Grace I'll succeed. #StudentLife #ASUUstrike
0
0
2
@Realmkryptonite
Nicholas
3 months
Just got myself a new laptop!💻 Saved up from little jobs like assignments, site work and with little support from my parents It's not the best but it's mine, a little beginning All for my passion for SOLIDWORKS. #SolidWorks #StudentLife #GrindNowShineLater #EngineeringJourney
1
0
4
@SOLIDWORKS
SOLIDWORKS
4 months
A detailed Kamov KA-50 model was completed in SOLIDWORKS for Makers, designed for 3D printing and assembly as a 1/10 scale fully functional flying RC helicopter. An impressive leap in hobby engineering and design. Learn what you can make with SOLIDWORKS for Makers.
6
4
32
@dabz_global
Dabz Global |ABUJA |Phone|Laptop|Accessories
5 months
Awesome offer ‼️ Premium used ‼️ Dell Latitude x360 3330 || 11th generation || 8GB RAM || 256GB SSD || core i3Backlit Keyboard || faceID || touchscreen || 13.3 inch FHD IPS display || Windows 11 Pro Price: N350,000 Dabz Global; Suite C3 New Banex(beside banex micro finance
13
21
145
@dabz_global
Dabz Global |ABUJA |Phone|Laptop|Accessories
5 months
New in‼️Premium used laptops! Dell Latitude 7410 || core i7 || 10th generation || 16GB RAM || 256GB SSD || Backlit Keyboard || 14 inch FHD IPS display, Windows 11 Pro, and all Price: N400,000 Dell Latitude x360 || 3330 || 11th generation, 8GB RAM, 256GB SSD, core i3 ||
7
14
99
@kristarcreation
mister00
5 months
...from @dabz_global >>>
@kristarcreation
mister00
5 months
✅️✅️✅️
22
6
49
@Realmkryptonite
Nicholas
5 months
@Realmkryptonite
Nicholas
5 months
I will be doing this today 🙃 Anticipate🔥🔥🔥 And please my seniors I'm open for corrections as well I'm still learning 💯 #Engineering #EngineeringExcellence #Solidworks
2
0
2
@Realmkryptonite
Nicholas
5 months
I will be doing this today 🙃 Anticipate🔥🔥🔥 And please my seniors I'm open for corrections as well I'm still learning 💯 #Engineering #EngineeringExcellence #Solidworks
0
1
3
@engineers_feed
World of Engineering
5 months
We have to get the same answer here guys 👇🏽
408
71
836
@DearS_o_n
Dear Son.
5 months
Real Talk.
22
771
7K
@Realmkryptonite
Nicholas
5 months
I will be doing this today 🙃 Anticipate🔥🔥🔥 And please my seniors I'm open for corrections as well I'm still learning 💯 #Engineering #EngineeringExcellence #Solidworks
0
1
3
@SOLIDWORKS
SOLIDWORKS
5 months
.@HyperShock used SOLIDWORKS for Makers to redesign the front end of its combat robot, adding shock-absorbing bushings and reinforced mounts to improve durability and drivability during impacts. Discover what SOLIDWORKS for Makers can help you create: LEARN MORE:
2
3
16
@Realmkryptonite
Nicholas
5 months
I was bored when I saw this so I decided to draw the first angle projection. I'm open for corrections 💯 #engineeringlife #Solidworks
0
0
3
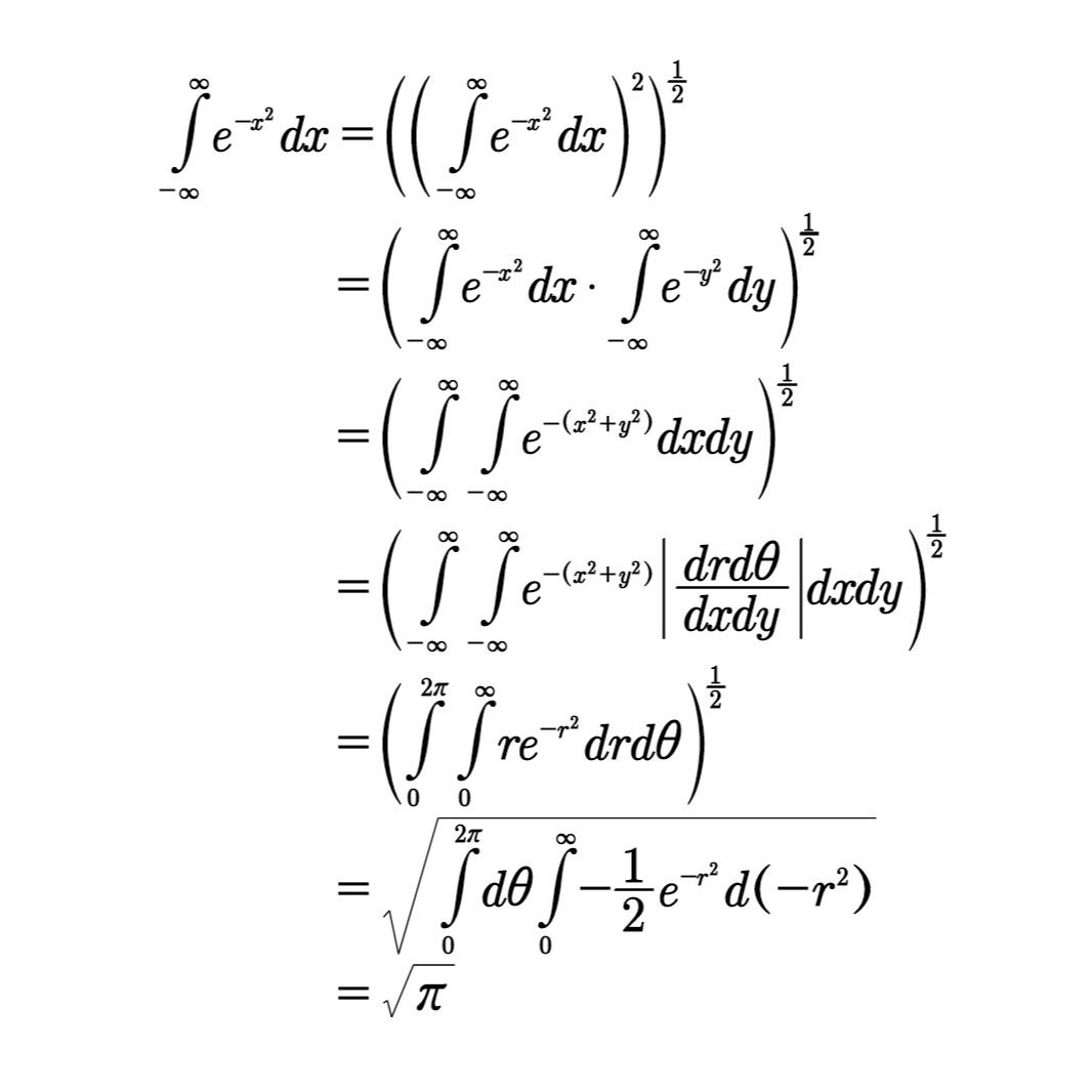
@PhysInHistory
Physics In History
5 months
Evaluation of the Gaussian integral ✍️
41
159
929
@SOLIDWORKS
SOLIDWORKS
5 months
Have a startup product idea you’re excited about? Discover how startups can progress from initial sketches to 3D prototypes that you can test and improve before investing in manufacturing. Learn more about prototyping with SOLIDWORKS for Startups. https://t.co/moB9nAROLL
0
4
9