ProfAndyField Profile Banner
Andy Field Profile
Andy Field

@ProfAndyField

Followers
23K
Following
1K
Media
459
Statuses
7K

The stats book guy. Metal fan masquerading as Prof of Quantitative Methods. Learn R with the discovr package. (https://t.co/desax0yYOE).

Brighton
Joined October 2009
Don't wanna be here? Send us removal request.
@ProfAndyField
Andy Field
10 months
Reminder, I’m active on the other place, not here.
2
1
20
@ProfAndyField
Andy Field
1 year
2
5
33
@ProfAndyField
Andy Field
1 year
I’m slowly winding down my activity here and increasing it on @profandyfield.bsky.social … join us!
0
0
13
@ProfAndyField
Andy Field
1 year
I’m about to see @_DeepPurple in London so seems appropriate to repost this!
@ProfAndyField
Andy Field
1 year
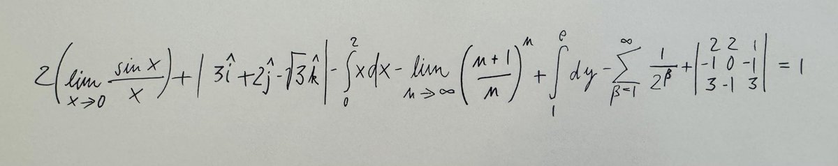
The new @_DeepPurple album is called =1 and has this intriguing equation within the album. Let's break it down (including my terrible handwriting) ... (1/n)
1
0
10
@ProfAndyField
Andy Field
1 year
Brighton folk, some of my excellent colleagues are running an event to talk about the psychology of siblings. @Sussex_Psych
0
0
5
@ProfAndyField
Andy Field
1 year
Cheers for the happy memories #PaulDiAnno 🤘🏻
0
0
10
@IronMaiden
Iron Maiden
1 year
Monday 21st October 2024 We are all deeply saddened to learn about the passing of Paul Di'Anno earlier today. Paul's contribution to Iron Maiden was immense and helped set us on the path we have been travelling as a band for almost five decades. His pioneering presence as a
2K
10K
41K
@ProfAndyField
Andy Field
1 year
I'm going to focus on the happy memories of strumming a tennis racket to the album killers while throwing shapes with my schoolmate Paul Spreckley at age 10.
@MetalHammer
Metal Hammer
1 year
Former Iron Maiden singer Paul Di'Anno dead at 66
0
0
10
@ProfAndyField
Andy Field
1 year
0
1
3
@ProfAndyField
Andy Field
1 year
Come do a PhD at @Sussex_Psych ... we have studentships and lots of great supervisors:
1
5
18
@ProfAndyField
Andy Field
1 year
This tool is great for finding the bsky accounts of people you follow on X. It's noticable that almost no bands I follow on here have bsky accounts ... come on music people, do better!
Tweet card summary image
github.com
Instantly find and follow the same users from your X(Twitter) follower on Bluesky. - kawamataryo/sky-follower-bridge
0
2
11
@ProfAndyField
Andy Field
1 year
I now have no PhD students. The last three were incredible scholars and will be tough acts to follow. I’m really happy they have all stayed on @Sussex_Psych in faculty roles and that I still get to hang out with them and talk about stats and R! @jennyterry @martinasladek
1
1
79
@ProfAndyField
Andy Field
1 year
Congrats to my PhD student @jennyterry who passed her viva yesterday. She was a joy to supervise. Read about her quite brilliant SMARVUS project at
2
1
27
@martinasladek
@martinasladek.bsky.social
1 year
#PhDone - I have successfully defended my PhD thesis yesterday. I’m incredibly grateful to everyone who supported me along the way, especially to @ProfAndyField who’s been a wonderful supervisor and a mentor throughout the process. 🧵 A brief thread on the topic 👇
4
3
29
@ProfAndyField
Andy Field
1 year
Congratulations to my amazing former PhD student @martinasladek who is now Dr Martina!
0
0
12
@ProfAndyField
Andy Field
1 year
Departmental away day today and our amazing methods team cleaned up on the teaching awards!! @martinasladek @jennyterry @Dom_Makowski
1
4
33
@ProfAndyField
Andy Field
1 year
Peeps not perps, although the typo does amuse me!
0
0
1
@ProfAndyField
Andy Field
1 year
R perps on the other place https://t.co/8aZ5eQRqar
1
0
5
@ProfAndyField
Andy Field
1 year
It's kind of liberating to realise that you have nothing worth saying TBH. That's my sales pitch for my talks over.
0
0
4