PengfeiLi0606 Profile Banner
Pengfei Li Profile
Pengfei Li

@PengfeiLi0606

Followers
296
Following
905
Media
51
Statuses
223

Assistant professor @njuniversity. Humboldt fellow previously @AIP_Potsdam. Working on dynamics of galaxies and clusters, cosmology.

Nanjing, China
Joined August 2020
Don't wanna be here? Send us removal request.
@PengfeiLi0606
Pengfei Li
12 hours
Please check the press release of our recent paper for the primordial dark matter halo of our Milky Way. https://t.co/2uwzOdGusk
0
0
2
@PengfeiLi0606
Pengfei Li
6 months
Interesting.
@jorryt_m
Jorryt Matthee
6 months
We found the most distant confirmed galaxy (some Sergej Boebka vibes 😅) https://t.co/eO7hdxQfUd
0
0
0
@PengfeiLi0606
Pengfei Li
1 year
This project is in collaboration with the great eROSITA cluster team led by @dresrabulbul and many excellent collaborators including @8minutesold, @YongTian401.
0
0
1
@PengfeiLi0606
Pengfei Li
1 year
Finally, we check the radial acceleration relation established in galaxies. The three independent mass proxies consistently lead to higher total accelerations than predicted by the RAR. So the discrepancy in clusters seems to be a true problem for the universality of the RAR.
1
0
2
@PengfeiLi0606
Pengfei Li
1 year
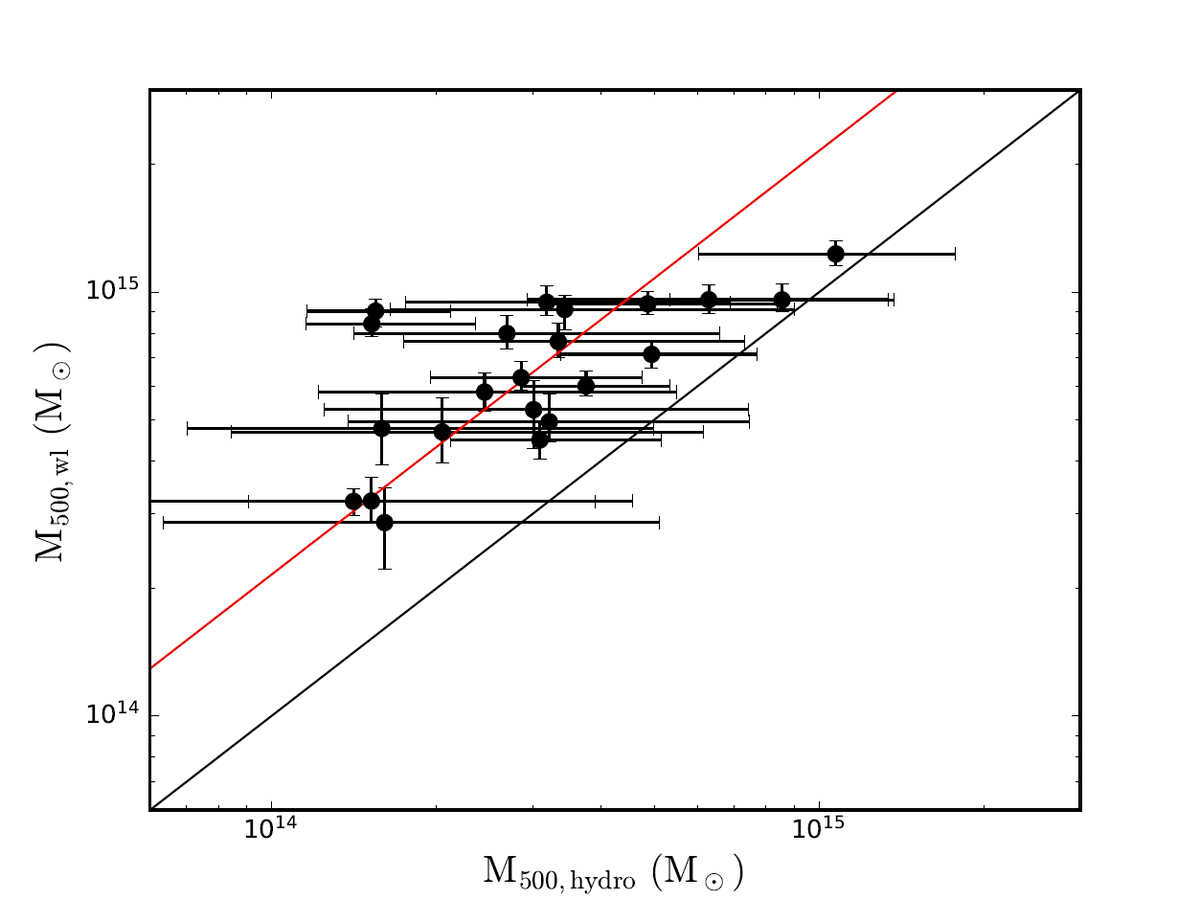
Still, the wl-inferred mass is higher than hydrostatic mass by 110% on average. This might be the reason why the latest eRASS1 measurements of sigma_8 present a much higher value than previous estimates. Certainly, we need to run the full cosmological pipeline to confirm.
1
0
1
@PengfeiLi0606
Pengfei Li
1 year
However, this is not the right comparison for cosmological purpose. Because when measuring sigma_8 using different cluster mass proxies, one would use their own total mass within their own R500. So here is the right comparison.
1
0
1
@PengfeiLi0606
Pengfei Li
1 year
We also compared our mass estimates with that inferred from weak lensing in Ghirardini et al. (2024). To be fair, we calculated the hydrostatic mass within the same radius as that for weak lensing. We found that weak lensing inferred masses are significantly higher.
1
0
1
@PengfeiLi0606
Pengfei Li
1 year
There seems to be a trend that the dynamical-to-hydrostatic mass ratio decreases with increasing radius, which might be evidence that galaxies in the outskirts are accreting toward the centers of clusters. But we need more statistics to confirm.
2
0
1
@PengfeiLi0606
Pengfei Li
1 year
We then compared these two mass proxies. Statistically, there is no significant difference. But at small radii, cluster galaxies provide higher mass estimates than X-ray emitting gas, while at large radii the difference becomes smaller.
1
0
1
@PengfeiLi0606
Pengfei Li
1 year
Notice that the slope is 1.296 instead of 1, because there is a radial evolution. The rms scatter is only 0.14 dex. This relation can be viewed as a simplified Jeans equation. It can be used to quickly estimate the total enclosed mass.
1
0
1
@PengfeiLi0606
Pengfei Li
1 year
By numerically solving the Jeans equation for the kinematics of member galaxies, we derived their cumulative dynamical masses at some discrete radii. We determined the spatially resolved mass-velocity dispersion relation: log(M_dyn) = 1.296 * log(sigma_los^2 * r_proj/G) - 3.87.
1
0
1
@PengfeiLi0606
Pengfei Li
1 year
From the eROSITA X-ray data, we derived electron number density profiles, temperature profiles, gas mass profiles, and hydrostatic mass profiles. These data are all made public and the link is shared in the paper.
1
0
1
@PengfeiLi0606
Pengfei Li
1 year
The cluster galaxies are from Kluge et al. (2024), which compiled many different catalogs from the literature. Eventually, we retain 22 clusters that have sufficient number of galaxy spectra for robust statistics.
1
0
1
@PengfeiLi0606
Pengfei Li
1 year
In this paper, we aim to compare two mass proxies for galaxy clusters: cluster galaxies and intracluster medium. So we need both X-ray data and sufficient number of galaxy spectra. We selected clusters from the latest eRASS1 cluster catalog by Bulbul et al. (2024).
1
0
1
@PengfeiLi0606
Pengfei Li
1 year
#Paperday New paper accepted by A&A on the mass measurements and comparisons for eROSITA clusters is available at https://t.co/n9thAdu0Ap. One result that might be particularly useful is the spatially resolved mass-velocity dispersion relation. A thread summarizes the paper.
2
7
22
@PengfeiLi0606
Pengfei Li
1 year
Equivalent Humboldt fellowships for German researchers and those who got their PhD in Germany.
@AvHStiftung
Humboldt-Stiftung
1 year
✨ TODAY: Feodor Lynen Fellowship Info Event! ✨ Are you a researcher in Germany seeking a postdoc abroad or a sabbatical? Or are you a #Humboldtian abroad and want to host a fellow? Then join or info event via WebEx from 2 - 3 pm, no registration needed:
0
0
1
@conselice
Christopher Conselice
1 year
We also find a significant excess of galaxies compared to models at the highest redshifts, suggesting strongly that someone is off in our interpretation of these first galaxies or within the models themselves.
2
3
10
@PengfeiLi0606
Pengfei Li
1 year
What a good summary.
0
0
1
@VoltarCH
Oliver Müller, Ph.D.
1 year
Check out @Heesters_N's second paper of his Ph.D. on anistropies in dwarf galaxy satellite distributions. It's a very cool work and showcases what you actually can do with the growing catalogs of nearby dwarf galaxy systems.
@Heesters_N
Nick Heesters
1 year
It's paper day! https://t.co/qOjbMW1HuQ, incl. Helmut Jerjen, @VoltarCh, @8minutesold and Jamie Kanehisa. We quantified the degree of lopsidedness in a large sample of isolated satellite systems in the Local Volume and beyond. 🧵
0
4
13
@PengfeiLi0606
Pengfei Li
1 year
Weak lensing: Rotation curves of galaxies could be flat up to 1 Mpc.
1
4
17