OpenCovid-mr Profile
OpenCovid-mr

@OpencovidM

Followers
4K
Following
24K
Media
3K
Statuses
12K

Joined April 2020
Don't wanna be here? Send us removal request.
@OpencovidM
OpenCovid-mr
3 years
Covid-19 Italia EpiTwitter dirty and biased data Quota diagnosi di reinfezione vs quota ricoveri su diagnosi (da gennaio 2022 in avanti) TLDR: «Up & Up» Grafici da https://t.co/psAFAREp7P https://t.co/3iQc7HqzRw
@OpencovidM
OpenCovid-mr
3 years
Covid-19 Italia EpiTwitter dirty and biased data Visto il trend della quota di re-diagnosi di positività in Italia (grafico ISS) se mediamente le re-infezioni ci proteggono da ospedalizzazione come dovrebbe evolvere la quota di ricoverati su diagnosticati (CHR)?
1
6
16
@OpencovidM
OpenCovid-mr
2 years
La figura (semplice esercizio e non analisi statistica raffinata) mostra tra le altre cose come per le classi di età 15-64 e 65+ la stagione di ILI 2023-24 si preannuncia di gran lunga peggiore di quella 2022-23, che era già stata decisamente fuori scala. https://t.co/r3KFqaw3Ii
3
0
5
@OpencovidM
OpenCovid-mr
2 years
Non era probabilmente il più libero sulla piazza, ma @manlius84 ha appena creato un po' di visualizzazioni molto interessanti sui dati delle ILI in Italia. [Quello sotto è solo un assaggio, molto altro anche in versione interattiva si trova qua: https://t.co/r3KFqaw3Ii ]
1
4
8
@OpencovidM
OpenCovid-mr
2 years
C'è qualche ricercatore (anche indipendente) libero sulla piazza che sia in grado di calcolare un integrale? [Sommare aree sotto le curve dovrebbe essere ormai pratica consolidata, anche in area medica] https://t.co/ZpahdPfJ2p
1
0
8
@OpencovidM
OpenCovid-mr
2 years
«Sebbene i livelli raggiunti nelle ultime settimane siano i più alti dall’inizio della sorveglianza la situazione complessivamente rientra nell’alternarsi di intensità annuale delle stagioni di trasmissione dei virus respiratori» https://t.co/FEjFsmyaOX
5
2
17
@OpencovidM
OpenCovid-mr
3 years
Altro che ChatGPT! https://t.co/1eOjElo2nr
0
1
12
@OpencovidM
OpenCovid-mr
3 years
«A theory with mathematical beauty is more likely to be correct than an ugly one that fits some experimental data»
@fbranda94
Francesco Branda
3 years
Sul @sole24ore continuiamo a raccontarvi l'andamento dell'influenza. Influenza stabile, nell’ultima settimana 453mila persone colpite. Tutti i dati
3
0
3
@OpencovidM
OpenCovid-mr
3 years
E restando in tema revival, come non ricordare chi si impegnò «a utilizzare la matematica per provare a comprendere cosa ci attende nei prossimi giorni» spiegando al grande pubblico la differenza tra esponenziale e logistica? https://t.co/JL2TziiOBa
1
0
9
@OpencovidM
OpenCovid-mr
3 years
Covid-19 in Val Seriana Comunque forse tra i tanti veri o presunti scoop è interessante leggere* questo articolo di @EasyInve condito con qualche numero e qualche grafico https://t.co/rg3ilWK8is * o rileggere visto che è di Agosto 2020, quindi non è uno scoop
2
5
9
@OpencovidM
OpenCovid-mr
3 years
Incidenza ILI in Italia stagione 2022-2023 Domanda secca: tutto nella norma? Grafico ISS https://t.co/IfbkQJ3evP
6
5
18
@OpencovidM
OpenCovid-mr
3 years
Weird coincidences
4
0
11
@OpencovidM
OpenCovid-mr
3 years
«Pensavo fosse 0, e invece era 0+ε»
6
4
34
@OpencovidM
OpenCovid-mr
3 years
-1 settimana
7
4
34
@OpencovidM
OpenCovid-mr
3 years
ILI (Influenza Like Illness) Italia Aggiornamento incidenza cumulata stagione 2022-2023 e stagioni precedenti Come andrà a finire lo si saprà soltanto alla fine della stagione? Plot and data collection by @lucacozzuto e @fbranda94
@fbranda94
Francesco Branda
3 years
Quest'anno l'influenza stagionale la stiamo seguendo in real-time. Queste le risorse implementate: 1) https://t.co/2NVRe3iEZ8 col supporto di @lucacozzuto 2) https://t.co/ZjVLgLiyQl a cura di @emmecola 3) Pagina del @sole24ore:
1
1
8
@OpencovidM
OpenCovid-mr
3 years
-2 settimane
5
2
28
@OpencovidM
OpenCovid-mr
3 years
Aggiornamento su incidenza cumulata ILI (Influenza Like Illness) Italia: stagione 2022-2023 e stagioni precedenti È soltanto tornato l'inverno e quindi sono tornati i virus stagionali? Plot and data collection by @lucacozzuto @fbranda94
@OpencovidM
OpenCovid-mr
3 years
ILI (Influenza Like Illness) Italia Stagione 2022-2023 Soltanto un picco anticipato o una stagione "fuori scala"? Plot and data collection by @lucacozzuto e @fbranda94
2
0
12
@OpencovidM
OpenCovid-mr
3 years
-3 settimane
13
0
45
@OpencovidM
OpenCovid-mr
3 years
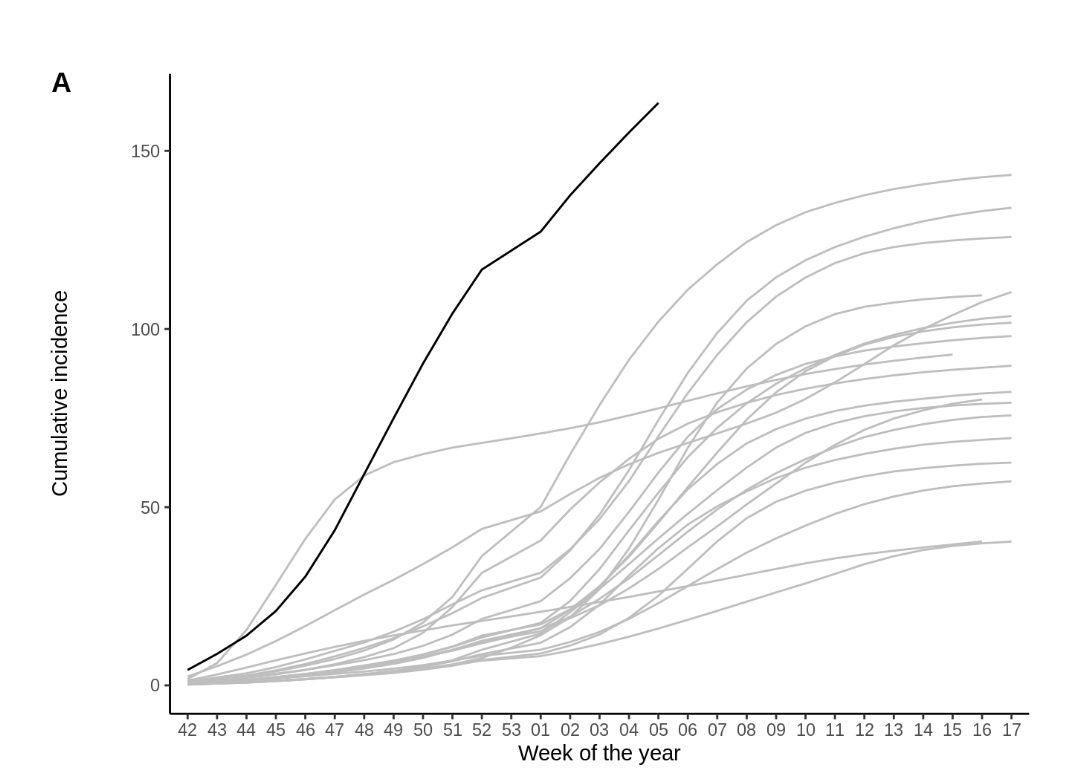
Giunti al giro di boa di metà stagione di monitoraggio ILI in Italia, l'incidenza cumulata ha raggiunto il record dell'ultimo ventennio (150 casi ogni 1000 abitanti). In ogni caso si potrebbe ancora dire che è «tutto nella norma», dopo aver opportunamente definito una norma.
2
7
26
@OpencovidM
OpenCovid-mr
3 years
Aggiornamento ILI (Influenza Like Illness) Italia Stagione 2022-2023 Soltanto un picco anticipato o una stagione "fuori scala"?
@OpencovidM
OpenCovid-mr
3 years
ILI (Influenza Like Illness) Italia Stagione 2022-2023 Soltanto un picco anticipato o una stagione "fuori scala"? Plot and data collection by @lucacozzuto e @fbranda94
4
1
17
@OpencovidM
OpenCovid-mr
3 years
Aggiornamento ILI (Influenza Like Illness) Italia Stagione 2022-2023
@OpencovidM
OpenCovid-mr
3 years
ILI (Influenza Like Illness) Italia Stagione 2022-2023 Soltanto un picco anticipato o una stagione "fuori scala"? Plot and data collection by @lucacozzuto e @fbranda94
1
0
7
@OpencovidM
OpenCovid-mr
3 years
ILI (Influenza Like Illness) Italia Stagione 2022-2023 Soltanto un picco anticipato o una stagione "fuori scala"? Plot and data collection by @lucacozzuto e @fbranda94
@fbranda94
Francesco Branda
3 years
Quest'anno l'influenza stagionale la stiamo seguendo in real-time. Queste le risorse implementate: 1) https://t.co/2NVRe3iEZ8 col supporto di @lucacozzuto 2) https://t.co/ZjVLgLiyQl a cura di @emmecola 3) Pagina del @sole24ore:
0
2
8