NWTunity Profile Banner
North West Terminal Profile
North West Terminal

@NWTunity

Followers
463
Following
66
Media
471
Statuses
643

Unity, Saskatchewan
Joined April 2016
Don't wanna be here? Send us removal request.
@NWTunity
North West Terminal
3 months
0
0
0
@NWTunity
North West Terminal
3 months
0
0
0
@NWTunity
North West Terminal
3 months
Notice of Special Meeting and Information Circular for meeting to be held on Oct 22, 2025
0
0
0
@NWTunity
North West Terminal
3 months
Notice of Special Meeting and Information Circular for meeting to be held on Oct 22, 2025
0
0
0
@NWTunity
North West Terminal
3 months
Notice of Special Meeting and Information Circular for meeting to be held on Oct 22, 2025
0
0
0
@NWTunity
North West Terminal
3 months
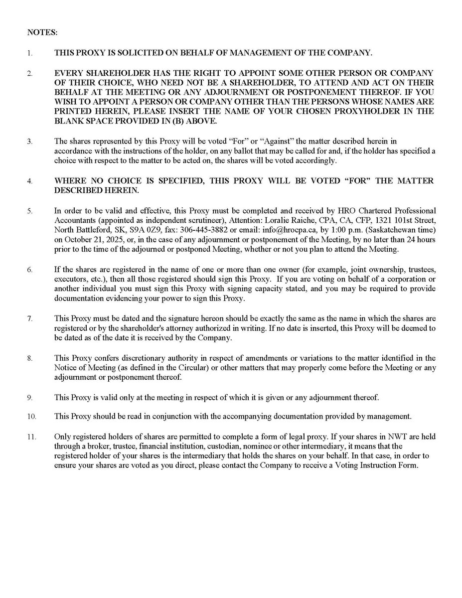
Registered owners can vote by returning the form of proxy to the independent scrutineer no later than 1:00 pm on Oct 21, 2025: 1.Drop off at: HRO CPA, 1321 101st Street, North Battleford, SK 2.fax 306-445-3882 3. By email: info@hrocpa.ca
0
0
0
@NWTunity
North West Terminal
3 months
Beneficial owners can vote by returning the voting instruction form to the independent scrutineer no later than 1:00 pm on Oct 21, 2025: 1.Drop off at: HRO CPA, 1321 101st Street, North Battleford, SK 2.fax 306-445-3882 3. By email: info@hrocpa.ca
0
0
0
@NWTunity
North West Terminal
4 months
0
0
0
@NWTunity
North West Terminal
4 months
0
0
0
@NWTunity
North West Terminal
4 months
0
0
0
@NWTunity
North West Terminal
4 months
0
0
0
@NWTunity
North West Terminal
4 months
2. In person - pick up at the following locations: i. North West Terminal Ltd main office ii. MLT Aikins LLP, 409 3 Ave S Suite 1201, Saskatoon, SK iii. HRO Chartered Professional Accountants, 1321 101st Street, North Battleford 4. On X and Facebook 5. On SEDAR+ 2/2
0
0
0
@NWTunity
North West Terminal
4 months
Due to the postal strike, NWT is unable to deliver physical copies of the Meeting Materials to Shareholders. How shareholders can obtain Meeting Materials: 1. NWT website https://t.co/BsDGUYqRHk... 1/2
0
0
0
@NWTunity
North West Terminal
4 months
NORTH WEST TERMINAL Ltd. SPECIAL MEETING OF SHAREHOLDERS TO VOTE ON PROPOSED TRANSACTION WITH BUNGE CANADA INC.
0
0
0
@NWTunity
North West Terminal
4 months
0
0
0
@NWTunity
North West Terminal
5 months
0
0
0
@NWTunity
North West Terminal
6 months
Have a great long weekend.
0
0
0
@NWTunity
North West Terminal
7 months
0
0
0
@NWTunity
North West Terminal
8 months
0
0
0
@NWTunity
North West Terminal
9 months
Notice of Record Date
0
1
0