
Muttering John
@MutteringJ
Followers
4K
Following
54K
Media
12K
Statuses
48K
Some say master of morning radio, others doyen of late night, even podcasting genius -- writer and stand up, but I prefer, joke crafter! Parody, obviously!
Spousal drop off - classic gag
Joined August 2021
THE PROPHET - SAINT TOM OF CHIUSAN0 Before anyone else, years prior to @whoarethesepod, @RadioGunk and @RelocationBoss, this man knew the truth about Stuttering John.
48
23
229
WORLD EXCLUSIVE: TOP 10 MOST INFLUENTIAL IN THE HACKVERSE! Huge congratulations to @LeDuffsCadillac, @stutteringjohnm, @TheUncleRicoSho's Producer Joe, @whoarethesepod, @DengLizard, @AaronImholte's second ex-wife April Imholte, @KmMick, @YingweeM, @shalomshuli and @joerogan! ...
5
0
20
OP-ED: WHY MELENDEZ MUST GO AND GO NOW! If you've turned 60, and all you have left is this motley crew, this rogues' gallery, all of whom turn on you, like they did with @stutteringjohnm, it is time to leave streaming, not pretend this is like the Howard Stern Birthday Shows!
8
0
35
OP-ED: MELENDEZ'S PODCAST HAS BEEN A FAILURE FROM DAY ONE - TIME FOR IT TO NOW CLOSE ITS DOORS! I bet you these douchebags thought the @stutteringjohnm podcast was going to be the next big thing - delusional and magical thinking! It's time for this affront to humanity to end!
5
0
22
OP-ED: EX-CANCER FUND MANAGER, UBER DRIVER AND SUBSTITUTE TEACHER MELENDEZ'S SUPPORT FOR SAUL'S 'DOG LOVE' IS WRONG! Hubristic @stutteringjohnm's obstinate reaffirmation of his support for @RobSaulCast's 'dog love', during his failing podcast today, showed him at his worst!
2
0
19
MELENDEZ 'TRANSGENDER HYPOCRISY' WATCH - JENNER EDITION Another crude & offensive @stutteringjohnm tweet on a courageous member of the transgender community - yes, John, this life-changing decision was made so you could make 'jokes' about what golf tees to play off, you bigot!
5
0
13
MELENDEZ 'TRANSGENDER HYPOCRISY' WATCH - JENNER EDITION It appears that @stutteringjohnm thought this was so funny, it was worth repeating multiple times. Hack Melendez reduces what is a brave decision by members of the transgender community to unfunny and mean-spirited tweets.
6
4
24
MELENDEZ 'TRANSGENDER HYPOCRISY' WATCH - JENNER EDITION Evil @stutteringjohnm reducing a no doubt long thought about decision on gender identity to an unfunny, failed attempt at humor. Yes, John, the long journey to transgender womanhood is all about having a 'penis cut off'!
4
0
17
MELENDEZ 'TRANSGENDER HYPOCRISY' WATCH - JENNER EDITION This mean and unfunny tweet, playing into gender stereotypes and demeaning what must have been a difficult decision to move to transgender womanhood, tells you everything you need to know about evil @stutteringjohnm! ...
0
0
15
OP-ED: SICK STEEL TOE RIGHTLY CAGED FOR HIS VILE CRIME TWO WEEKS TODAY, SO WILL ADD TO HIS ROUGES' GALLERY MUGSHOT COLLECTION! There's something odd and demented about pretend radio guy @AaronImholte's mugshots! Wonder if the next one will be even worse and in a jumpsuit? ...
3
2
35
LIFE ACHIEVEMENTS BY LATE 30s! @AnthonyCumia: WNEW in No.1 NYC market; millionaire @AaronImholte: Lolcow YouTube beggar; paid to be on tiny station in 187th US market; confirmed swinger, drug user, HRO breaker and CAGED for non-consensual dissemination of private sexual images
4
5
42
WORLD EXCLUSIVE: SICK STEEL TOE RIGHT ON $50 FINE, BUT WRONG ON JAIL SENTENCE AND UNAWARE OF OTHER COSTS! Vile @AaronImholte didn't seem to factor in the $1,089 of other costs, resulting from his degenerate act, nor being CAGED! And, believe me, $1,089 is a king's ransom to him!
6
3
39
MEDIA MATTERS: $1000 PENALTY & 15 DAYS IN JAIL FOR FORMER ST. CLOUD RADIO HOST Lachrymose failure specialist, now CONVICTED of non-consensual dissemination of private sexual images, @AaronImholte makes the news! Fair and balanced reporting by @sheapt05! https://t.co/qKvBLJuFJO
minnesotasnewcountry.com
St. Cloud's Aaron Imholte, once a familiar voice, is sentenced to jail after sharing a private image during his show, marking a troubling turn in his career.
4
5
38
OP-ED: BEDABBLER AND SCHIZOSEAN SHOULD BE APPLAUDED FOR EXPOSING THE DEGENERACY OF VILE CRYING JAILBIRD IMHOLTE! We here have nothing but admiration for intrepid @SchizoSeanTV and @BeDabbler for exposing vile @AaronImholte's non-consensual dissemination of private sexual images!
7
7
74
WORLD EXCLUSIVE: THE TYPE OF STEARNS COUNTY JAIL CELL SICK STEEL TOE WILL OCCUPY! Wonder if vile @AaronImholte will go on the top or bottom bunk, following his conviction of non-consensual dissemination of private sexual images? Pity the poor criminal who has to share with him!
11
3
50
OP-ED: BRAVE KAYLA SHOULD PURSUE CIVIL SUIT AGAINST DEGENERATE JAILBIRD IMHOLTE! Now vile @AaronImholte has been SENTENCED TO JAIL for non-consensual dissemination of private sexual images, @RekietaLaw's wife, Kayla, the victim of this deviant crime, should pursue civil action!
9
2
48
OP-ED: JUSTICE SERVED AS BEAST CAGED - BUT PROBATION MUST REFORM THIS DEGENERATE AND END HIS HARASSMENT OF WOMEN! Vile @AaronImholte has a long record of harassing women - from Heather Lee to his first ex-wife to Kayla Rekieta - so probation must work to reform this degenerate!
4
2
53
BREAKING: SICK STEEL TOE CAGED FOR 15 DAYS! Vile and disgraced pretend radio guy @AaronImholte is CAGED for 15 DAYS for non-consensual dissemination of private sexual images of his victim, @RekietaLaw's wife, Kayla! Reportedly in tears and by himself with no friends in support!
30
11
132
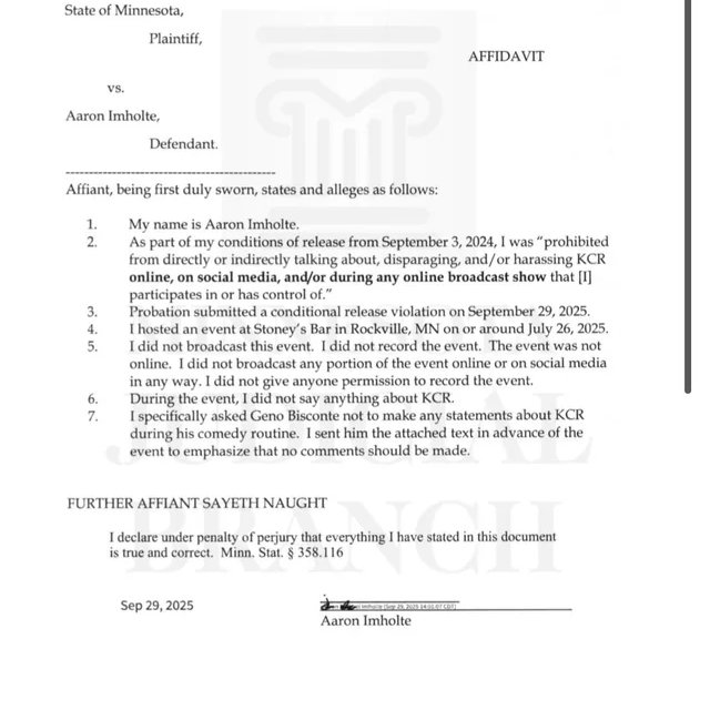
WORLD EXCLUSIVE: STEEL TOE FORGETS TO MENTION THAT BISCONTE SAID: 'YOUR BOY DIDN'T DO TOO BAD, DID HE?' WHEN STREAMING FROM HIS BASEMENT! @AaronImholte claims he told @geno_bisconte not to mention @RekietaLaw's wife, but there's no mention of her or the stream from his basement!
22
3
57
Dear @kscullinfox9, thank you for your and @FOX9's continued coverage of disgraced former St Cloud WHMH-FM morning host, now basement podcaster, @AaronImholte. Hope you're covering his sentencing on TUESDAY 30 SEPTEMBER for non-consensual dissemination of private sexual images!
4
5
85
WORLD EXCLUSIVE: SICK STEEL TOE MISSES 'THE GOAL' YET AGAIN! ... THIS TIME BY A MASSIVE $200! And, believe me, $200 is a king's ransom to Aaron! Even with CRAZY cockamamie math and UNBELIEVABLE unverifiable donations no one can see, pretend radio guy @AaronImholte fails again!
3
4
46