MCT_Engineer Profile Banner
Mechatronics Engineer Profile
Mechatronics Engineer

@MCT_Engineer

Followers
792
Following
206
Media
21
Statuses
37

Mechatronics Engineering Student ⚙️ Control • Robotics • Embedded Systems Learning in public | Study notes & engineering insights Chess trainer | F1 enthusiast

Faculty of Engineering
Joined February 2026
Don't wanna be here? Send us removal request.
@MCT_Engineer
Mechatronics Engineer
1 month
Lecture 2 takeaway: Plane wall → linear profile Cylinder → logarithmic profile Sphere → inverse-radius behavior Geometry defines the physics.
0
0
10
@MCT_Engineer
Mechatronics Engineer
1 month
Critical radius relations: r_cr,cylinder = k / h r_cr,sphere = 2k / h A balance between conduction and convection effects.
1
0
11
@MCT_Engineer
Mechatronics Engineer
1 month
Critical radius of insulation. Adding insulation to a cylinder may initially increase heat transfer. Because: conduction resistance ↑ but convection area ↑
1
0
5
@MCT_Engineer
Mechatronics Engineer
1 month
Contact resistance. Real surfaces aren’t perfectly smooth — microscopic air gaps introduce additional thermal resistance. Often reduced using thermal grease or soft metallic layers.
1
0
5
@MCT_Engineer
Mechatronics Engineer
1 month
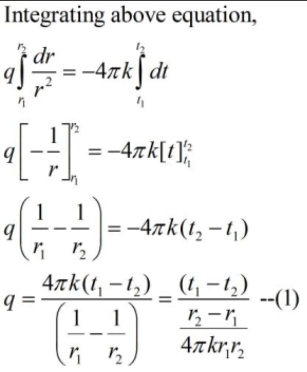
Spherical thermal resistance: R_sph = (r₂ − r₁) / (4πk r₁ r₂) Geometry directly reshapes how heat flows outward from the center.
1
0
5
@MCT_Engineer
Mechatronics Engineer
1 month
Spherical conduction follows the same physics, but area grows faster: A = 4πr² Which leads to a different resistance expression.Critical radius of insulation.
1
0
5
@MCT_Engineer
Mechatronics Engineer
1 month
Thermal resistance for a cylinder: R_cyl = ln(r₂/r₁) / (2πkL) The logarithmic term comes directly from integrating dr/r — a consequence of expanding heat flow area.
1
0
5
@MCT_Engineer
Mechatronics Engineer
1 month
Cylindrical wall conduction. Area changes with radius: A = 2πrL This makes the temperature profile logarithmic instead of linear.
1
0
5
@MCT_Engineer
Mechatronics Engineer
1 month
Parallel thermal paths. Sometimes heat does not follow a single path — it splits through multiple materials simultaneously. Equivalent resistance: 1 / R_eq = 1 / R₁ + 1 / R₂ + … Same temperature difference, different heat flow rates through each path.
1
0
5
@MCT_Engineer
Mechatronics Engineer
1 month
This viewpoint turns multilayer conduction into something closer to circuit analysis.
1
0
6
@MCT_Engineer
Mechatronics Engineer
1 month
Convection at the boundary. Heat exchange between a solid surface and a surrounding Fluid: q = hA (T_s − T_∞) Thermal resistance form: R_conv = 1 / (hA) This boundary condition is what links internal conduction to the external environment.
1
0
5
@MCT_Engineer
Mechatronics Engineer
1 month
Thermal resistance perspective: q = ΔT / R_th Plane wall: R = L / (kA)
1
0
6
@MCT_Engineer
Mechatronics Engineer
1 month
Plane wall conduction. Assumptions: steady state — constant k — one-dimensional heat flow. With constant area, the temperature profile remains linear.
1
0
7
@MCT_Engineer
Mechatronics Engineer
1 month
Heat Transfer — Lecture 2 Main focus: — Thermal resistance concept — Plane, cylindrical, and spherical walls — Critical radius of insulation — Contact resistance
1
1
26
@MCT_Engineer
Mechatronics Engineer
1 month
Early notes — focusing on understanding the physics before the mathematics.
0
0
6
@MCT_Engineer
Mechatronics Engineer
1 month
Kirchhoff’s law: ε = α at thermal equilibrium (same λ, same T).
1
0
10
@MCT_Engineer
Mechatronics Engineer
1 month
For real surfaces: α + ρ + τ = 1 Absorbed + Reflected + Transmitted energy balance.
1
0
4
@MCT_Engineer
Mechatronics Engineer
1 month
Radiation — electromagnetic energy transfer. Black body radiation(ideal): q = σAT⁴ Real body radiation: q = εσAT⁴ ε describes surface emissivity.
1
0
4
@MCT_Engineer
Mechatronics Engineer
1 month
Convection — heat transfer between a surface and a moving fluid. Newton’s law of cooling: q = hA(Ts - T∞) The coefficient h depends on geometry, motion, and fluid properties.
1
0
4
@MCT_Engineer
Mechatronics Engineer
1 month
Conduction — energy transfer through particle interaction. In solids: lattice vibrations & free electrons. In fluids: molecular collisions and diffusion. Fourier’s law: q = -kA (dT/dx) k: thermal conductivity.
1
0
5