LisanAlGiab24 Profile Banner
Lisan Profile
Lisan

@LisanAlGiab24

Followers
254
Following
5K
Media
113
Statuses
6K

“Mahdi leads the way”

Joined May 2024
Don't wanna be here? Send us removal request.
@EFischberger
Eitan Fischberger
2 days
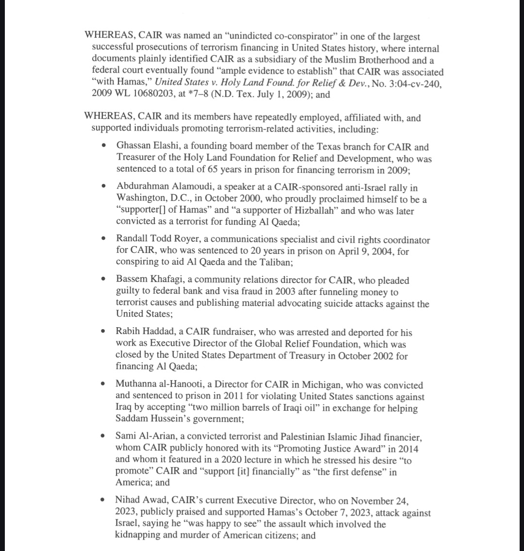
@IlhanMN CAIR is an unindicted co-conspirator in the largest terror-financing scandal in American history. Several senior members of the organization have been convicted of terror offenses. How telling that you’re going to bat for them.
25
284
3K
@libsoftiktok
Libs of TikTok
1 day
Meet Teresa Molina-Gonzalez (D), the Cook County Judge who DENIED the detention request for Lawrence Reed AFTER his 49th arrest. Reed was released and went on to set a woman ON FIRE on the train. Hold her accountable!
@libsoftiktok
Libs of TikTok
2 days
Lawrence Reed who had FOURTY NINE prior arrests including 10 felonies was just arrested for lighting a woman on fire on the train in Chicago. He allegedlyshouted “Burn alive b****!” as he doused her in gasoline We shouldn’t have to live like this
1K
8K
25K
@BillMelugin_
Bill Melugin
2 days
BREAKING: DOJ charges Congresswoman Sheila Cherfilus-McCormick (D-FL) with stealing $5 million in FEMA funds, laundering the proceeds, and then using the money to support her 2021 Congressional campaign. She faces up to 53 years in prison if convicted. According to the
4K
11K
35K
@LisanAlGiab24
Lisan
1 day
Psychotic
@CollinRugg
Collin Rugg
1 day
NEW: Former GOP aide charged after allegedly staging a Smollett-style hoax where she paid a fetish artist to mutilate her body, along with 'Trump Whore' written on her stomach. Natalie Greene, 26, was found hogtied with black zip ties at Egg Harbor Township Nature Reserve. She
0
0
0
@colin_gladman
Colin
2 days
Long post incoming, but here’s my market thoughts now and into EOY: In my last FREE YouTube video on 11/8, I said to be careful of a push back to the “discount zone” for bears before rolling over to new or equal lows. I said to be careful of a weak volume push back with
18
65
484
@mattvanswol
Matt Van Swol
2 days
🚨#BREAKING: I have discovered that the news outlet, The Charlotte Observer, has been using writers PAID BY LEFT-WING NON-PROFITS to write articles on the immigration raids in Charlotte NC. You cannot trust the media. This is mind-boggling levels of deception.
598
6K
16K
@LisanAlGiab24
Lisan
2 days
“Im moving forward” says the person who was actively working with America’s most known pedophile…
@RapidResponse47
Rapid Response 47
2 days
PLASKETT: "I believed that Jeffrey Epstein had information, and I was going to get information to get at the truth..." CNN: "At the time, he was a known sex offender..." PLASKETT: "There are a lot of people who have done a lot of crimes..."
0
0
0
@LisanAlGiab24
Lisan
2 days
Been going on all my life… When liberals don’t have an argument, play the race card.
@ThomasMHern
Thomas Hern
3 days
CNN's Joshua Doss baselessly accuses Scott Jennings of being a racist for using the phrase "this is an IQ test, don't fail it." The left always has to make everything about race because they can't win on the facts.
1
0
0
@SaharaReporters
Sahara Reporters
3 days
WATCH: Chilling Livestream from CAC Church in Eruku Town in Kwara State Captures Final Moments Before Gun-Wielding Terrorists Struck During a Church Service
14K
28K
39K
@RepLuna
Rep. Anna Paulina Luna
3 days
The Plaskett censure failed because house leadership exchanged that censure failure for the withdrawal of a vote to censure and refer Cory Mills to house ethics for investigation. The swamp protects itself.
2K
11K
37K
@SteveBakerUSA
Steve Baker
3 days
🚨BREAKING🚨 “These two bushes are the only ones the officers are seen looking under in the 11 minutes and 14 seconds they're captured on available surveillance footage … one of many details the FBI has never divulged - or even acknowledged.” https://t.co/BpXIvVo21T
Tweet card summary image
theblaze.com
Search under a shrub at the Congressional Black Caucus Institute happened 2 minutes before one of the officers discovered a pipe bomb at the nearby DNC on Jan. 6, 2021.
127
913
4K
@Real_RobN
🇺🇸RealRobert🇺🇸
5 days
CONSPIRACY THEORY: NO MORE The United States Secretary of Homeland Security, Kristi Noem: The Biden–Harris terrorist administration awarded over nine million illegal aliens Social Security numbers — including nine thousand terrorists said to be on the terrorist watch list. How
1K
9K
21K
@Real_RobN
🇺🇸RealRobert🇺🇸
5 days
And this is: One of the greatest crimes ever perpetrated in United States history against the American people: Former U.S. Border Chief Aaron Heitke, who served under five different administrations, CONFIRMS— BEYOND THE SHADOW OF A DOUBT — that he was ordered by the
894
14K
26K
@mirandadevine
Miranda Devine
5 days
Column's up: The secrets of Trump would-be assassin Thomas Crooks - furries and death threats. https://t.co/GOyKcdgACW
Tweet card summary image
nypost.com
How was Trump’s shooter radicalized – and did the feds tell whole story?
65
545
2K
@LisanAlGiab24
Lisan
5 days
I may start watching the Steelers just for this…
@ClayTravis
Clay Travis
5 days
Good lord.
0
0
0
@kiantrades
FlowSeeker
9 days
5 Lifetime membership giveaways to @TheOwlsCapital Like, retweet and make sure you are following @TheOwlsCapital to enter. winner announced Friday
117
840
1K
@LisanAlGiab24
Lisan
10 days
Honestly, the @RobinhoodApp has been a buggy, freezing POS the last week. What the hell is going on? Time to resurrect @WebullGlobal
0
0
0
@C_3C_3
C3
11 days
Remember… NY put Daniel Penny in prison and tried to ruin his life for intervening. No help is on the way. Get out of Democrat run cities. https://t.co/B0vqdA9nLR
268
1K
6K
@LisanAlGiab24
Lisan
11 days
Welcome to @ZohranKMamdani NYC!!!
@Crime_In_NYC
Crime In NYC
11 days
Sorry ladies, you're on your own. 🤷‍♂️ Welcome to the jungle.
1
0
0
@LisanAlGiab24
Lisan
13 days
These stats are hard to believe and an absolute form of tyranny. There must be some form of punishment for this level of judicial malpractice.
@chad_mizelle
Chad Mizelle
14 days
Since 1963, 75% of all nationwide injunctions have been against President Trump. 90% of those injunctions came from Democrat-appointed judges. Yet the Admin has a 92% win rate at SCOTUS. President Trump isn’t the one abusing his power. It’s Democrat-appointed judges.
0
0
0