
The Lancet Microbe
@LancetMicrobe
Followers
8K
Following
631
Media
297
Statuses
4K
The Lancet Microbe is an #OpenAccess journal publishing innovative and practice-changing research and opinion in clinical #microbiology
Joined November 2019
The Lancet Microbe is leaving this platform but joining another ⤵️ You can now find us on Bluesky 👉 https://t.co/NWO58AfFJx 🌐 And, of course, online at https://t.co/txqFEYfsha. Follow us!
2
1
3
New research article Interactions between live attenuated #influenza vaccine and nasopharyngeal #microbiota among children aged 24–59 months in The Gambia: a phase 4, open-label, randomised controlled trial https://t.co/ZzE1Dxp96u
#OpenAccess #OA
0
3
4
New research article Assessment of MpoxPlex, a high-throughput and multiplexed immunoassay: a diagnostic accuracy study https://t.co/A2nU93UxdT
#Mpox #OpenAccess #OA
0
3
2
New research article Prevalence, misclassification, and clinical consequences of the heteroresistant phenotype in Escherichia coli bloodstream infections in patients in Uppsala, Sweden: a retrospective cohort study https://t.co/yLohSgj68d
#AMR #OpenAccess #OA
0
2
5
New review article Clinical implications of maternal multikingdom transmissions and early-life microbiota https://t.co/nf0Kv4fhyo
#OpenAccess #OA
0
2
1
Our January issue is now online: https://t.co/I1d8H6v9df The journal is #OpenAccess, so you are free to explore all the content. But these hashtags offer a flavour: #AMR #Candida #Mycobacterium #tuberculosis #TB #HPV #enterovirus #EVD68
#OA
0
12
12
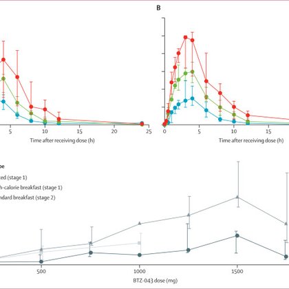
New research article Safety, bactericidal activity, and pharmacokinetics of the antituberculosis drug candidate BTZ-043 in South Africa (PanACEA-BTZ-043–02) https://t.co/FAyQuBGqIT
#tuberculosis #TB #OpenAccess #OA
thelancet.com
Based on a small sample size, BTZ-043 is a promising antituberculosis drug candidate with favourable safety and good bactericidal activity. Larger follow-up studies are needed to detect any less...
0
1
0
New research article Effectiveness of the primary Bacillus Calmette-Guérin vaccine against the risk of #Mycobacterium #tuberculosis infection and tuberculosis disease: a meta-analysis of individual participant data https://t.co/UIjoz2qnQp
#TB #OpenAccess #OA
0
7
6
New research article Effects of amoxicillin dosage on cure rate, gut microbiota, and antibiotic resistome in vonoprazan and amoxicillin dual therapy for #Helicobacter pylori https://t.co/vpWHt4UfDF
#AMR #OpenAccess #OA
0
2
2
New research article Immune responses to #SARSCoV2 in sub-Saharan Africa and western Europe: a retrospective, population-based, cross-sectional study https://t.co/eXF4ocM98X
#OpenAccess #OA
1
1
4
New research article Evaluation of a point-of-care immunochromatographic assay for #EntericFever in Dhaka, Bangladesh: a prospective diagnostic accuracy study https://t.co/VNKl0Dq7O4
#Salmonella #typhoid #OpenAccess #OA
0
2
2
New research article Artemether–lumefantrine–amodiaquine or artesunate–amodiaquine combined with single low-dose primaquine to reduce #Plasmodium falciparum #malaria transmission in Ouélessébougou, Mali https://t.co/Qnk7Pu8zs6
#OpenAccess #OA
0
2
1
New review article Sensors for surveillance of RNA viruses: a One Health perspective https://t.co/yA9M68Ksx9
#OpenAccess #OA
0
3
4
New review article Duration of viral persistence in human semen after acute viral infection: a systematic review https://t.co/KW1p0TBWFI
#OpenAccess #OA
1
5
7
Our December issue is now online: https://t.co/I1d8H6v9df The journal is #OpenAccess, so you are free to explore all the content. But these hashtags offer a flavour: #AMR #schistosomiasis #pneumococcus #endocarditis #Mycobacterium #influenza #YellowFever #malaria
1
6
20
New research article Molecular features of the serological IgG repertoire elicited by egg-based, cell-based, or recombinant haemagglutinin-based seasonal #influenza vaccines https://t.co/EFGKaTcI5s
#OpenAccess #OA
0
3
2
New 2-paper series: Tattoo-Associated Microbial Infections Paper 2: Causes, patterns, and epidemiology of tattoo-associated infections since 1820 https://t.co/UWojozDrKI
#IDSky #ClinMicro #OpenAccess #OA
0
2
1
New 2-paper series: Tattoo-Associated Microbial Infections Paper 1: Microbiology of tattoo-associated infections since 1820 https://t.co/0CtSKWKurf
#IDSky #ClinMicro #OpenAccess #OA
1
19
41
New research article Bacteriology testing and antimicrobial resistance detection capacity of national tiered laboratory networks in sub-Saharan Africa: an analysis from 14 countries https://t.co/1l35fxuDTl
#AMR #OpenAccess #OA
0
2
3
New research article The spread of molecular markers of #artemisinin partial resistance and diagnostic evasion in Eritrea: a retrospective molecular epidemiology study https://t.co/eNeTJ3RlPO
#malaria #AMR #OpenAccess #OA
0
1
0