@KCKlatt
Kevin C. Klatt, PhD, RD
4 years
New publication 🚨 Our RCT + isotope tracing detailing a significant nutrient-nutrient interaction during pregnancy between choline and docosahexaenoic acid (DHA; omega 3) is now online @AJCNutrition. A thread ⬇️ https://t.co/NmSGXwjjHu #RDchat #Metabolism #Obgyn #obstetrics
19
25
180

Replies

@KCKlatt
Kevin C. Klatt, PhD, RD
4 years
DHA supplementation is recommended (200mg/d) during pregnancy. DHA is accreting in fetal tissues, transferred from the maternal compartment by the placenta. 200mg of DHA is expected to support this accretion. DHA adequacy is linked to brain/retinal development & ⬇️preterm birth
2
1
8
@KCKlatt
Kevin C. Klatt, PhD, RD
4 years
Ingested DHA gets incorporated into diff physiological pools: free fatty acids & LPC-DHA esterified to albumin & circulating in esterified forms in lipoproteins, incl phosphatidylcholines (PCs) enriched w DHA. There's debate over which pools contribute to most to fetal accretion.
1
0
6
@KCKlatt
Kevin C. Klatt, PhD, RD
4 years
The PC-DHA pool was of interest for several reasons. 1) Its predominantly produced in the maternal liver by the activity of an enzyme called phosphatidylethanolamine N-methyltransferase (PEMT); 2) the PEMT gene is induced by estrogen; 3) estrogen rises substantially across preg,
1
0
6
@KCKlatt
Kevin C. Klatt, PhD, RD
4 years
achieving its max conc in the 3rd trimester, correlating with the time period of significant brain PUFA/omega 3 accretion in the fetal compartment; 4) PEMT utilizes methyl groups, including those derived from choline, which are thought to be limited to a degree in pregnancy.
1
0
5
@KCKlatt
Kevin C. Klatt, PhD, RD
4 years
Pregnancy puts a strain on the metabolic choline milieu. Classic 🐭studies show that the hepatic choline metabolome in pregnant rats kept on basic rat chow looks similar to non-pregnant rats, likely resulting from mobilization of choline from the maternal liver to the fetus.
2
0
4
@KCKlatt
Kevin C. Klatt, PhD, RD
4 years
We hypothesized that this increase in PEMT activity in pregnancy, coupled w stress on choline metabolism ( a major source of methyl substrate for PEMT) would limit the response to DHA supplementation & that concomitant choline supplementation would improve it.
1
0
8
@KCKlatt
Kevin C. Klatt, PhD, RD
4 years
We had a bit of data to suggest there is a relevant choline intake effect on PC-DHA measures in non-pregnant women, though no significant effect was observed in 3rd trimester pregnant women in this post-hoc analysis (likely too late to see an effect) https://t.co/KdaZsrzmPF
1
0
5
@KCKlatt
Kevin C. Klatt, PhD, RD
4 years
Our basic study design was to randomize pregnant participants btwn GW12-16 to either 25mg choline (tracer) or 550mg choline (500 +50 tracer). This dose has been previously linked to indep cognitive benefits & improved concentrations of methyl donor metabolites.
2
0
1
@KCKlatt
Kevin C. Klatt, PhD, RD
4 years
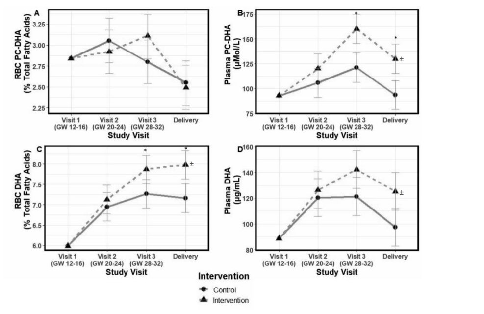
The pattern of DHA metabolite response in plasma and RBCs looking at both PC-DHAs and total DHA were relatively consistent with our hypothesis, with the most statistically significant & largest in magnitude effects being apparent for the validated DHA status marker, RBC total DHA
1
0
2
@KCKlatt
Kevin C. Klatt, PhD, RD
4 years
This was a small physiological trial & definitely want to call out that our primary outcome, RBC PC-DHA, did not meet P<0.05 (P=0.11 for interv-x-time interaction). We talk about some of the wonky data we got for this, esp @ Delivery, that threw off models & why RBC-DHA is best.
1
0
6
@KCKlatt
Kevin C. Klatt, PhD, RD
4 years
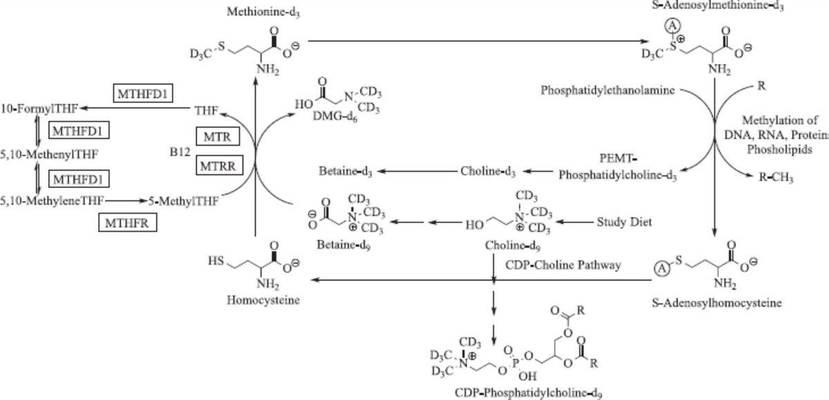
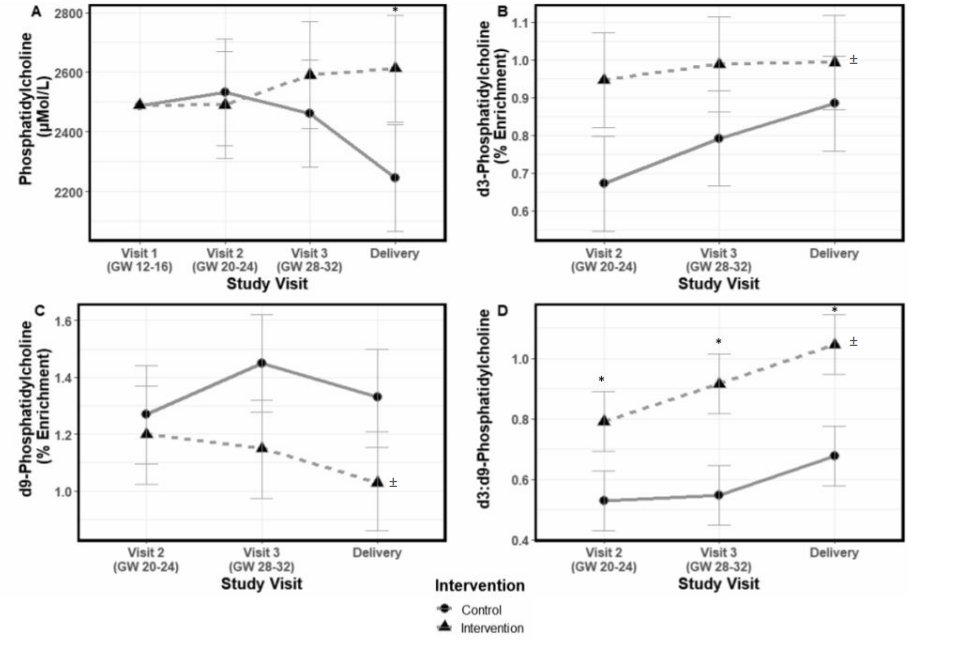
We also used a methyl-d9-choline tracer in the study to approximate PEMT activity looking at plasma total PC and its d9 and d3 (indicator of PEMT activity) enrichments. to our surprise and violating steady state assumptions, we observed an increase in total PC concentrations but
1
0
7
@KCKlatt
Kevin C. Klatt, PhD, RD
4 years
nevertheless detected evidence of increased d3 enrichments. total PC is in the denominator here so the higher concentrations decrease the % enrichment, making the effect appear to wash out across gestation. We argue that the data collectively support sig increased PEMT activity.
1
0
7
@KCKlatt
Kevin C. Klatt, PhD, RD
4 years
What's this all mean? We've known for a long time that dietary DHA intake is only a partial determinant of DHA status gains. In pregnancy, its very likely that methyl metabolism (dietary adequacy, genetic variants, etc) influence achieved DHA status.
1
0
7
@KCKlatt
Kevin C. Klatt, PhD, RD
4 years
Nutrition, especially for n3 PUFA trials, is tought to study with randomized trials. Often, we are targeting improving DHA status, w/o designs that take into account baseline status & other factors that modify the response to supp, hoping for a signal in the noise. Reflecting on
1
0
1
@KCKlatt
Kevin C. Klatt, PhD, RD
4 years
the DHA supplementation literature, it's very likely that the response to DHA supplementation has been limited by intervening in choline-stressed pregnant populations. Not a perfect analogy but akin to studying Calcium requirements in a lower vitD status population.
1
0
8
@KCKlatt
Kevin C. Klatt, PhD, RD
4 years
Hope that this functional synergy is further explored in trials to confirm what we have observed and further study the overlap between choline, methyl and fatty acid metabolism during pregnancy. Stay tuned for cognitive phenotyping from this cohort & more!
1
0
5
@KCKlatt
Kevin C. Klatt, PhD, RD
4 years
Random other tidbits: not clear what's happening to DHA in non-supplemented group - trapped in liver & being oxidized? entering other unmeasured pools? some tracing to do there. We saw this effect despite higher than avg baseline DHA status - something we'd have expected to limit
1
1
3
@KCKlatt
Kevin C. Klatt, PhD, RD
4 years
choline's effect. Whether this choline effect would be as dramatic at different baseline DHA statuses or with higher/lower DHA intakes remains a ? but mechanistically we'd expect it to. The ⬆️effect we saw on RBC DHA also makes us wonder if choline influencers tissue DHA uptake?
1
0
7
@KCKlatt
Kevin C. Klatt, PhD, RD
4 years
Lots of follow up ?s here but we hope this is received well by the research community and highlights factors to consider as we move towards identifying factors that influence response to supplementation and more 'precision' research (this doesnt have to mean multiomic dredging).
2
0
6
@KCKlatt
Kevin C. Klatt, PhD, RD
4 years
Reflection: doing pregnancy trials in your PhD takes a long time; even longer when it spills over into a postdoc impacted by a pandemic. In many ways, I was lucky that this data came in 1wk before lockdown but coordinating a couple outside measures was challenging at times!
1
0
7
@KCKlatt
Kevin C. Klatt, PhD, RD
4 years
Big thanks to collaborators & study participants in this! Couldn't have done it without any of them and they were all wonderful to work with. Doing pregnancy intervention studies truly takes a village.
1
0
4
@KCKlatt
Kevin C. Klatt, PhD, RD
4 years
This trial is also a lasting memory of Melissa McDougall, PhD, RD's wonderful life and contributions to science; she was a postdoc on the study and tragically passed away. If you'd like to make a charitable contribution in honor of her, please donate here:
0
1
10
@KCKlatt
Kevin C. Klatt, PhD, RD
4 years
Nice write up of our study from @CornellNews! @CornellNutri @CornellCALS @CornellCHE
1
1
11
@KCKlatt
Kevin C. Klatt, PhD, RD
4 years
Nice write up of our trial from @NutraUSA!
0
0
2
@ashleykoff
Ashley Koff RD
4 years
@KCKlatt @AJCNutrition GREAT @KCKlatt I’m hoping it inspires more practitioners & patients to assess choline (can do with @thebetternutri1 Gang of B’s total nutrition evaluation) before conception &/ to optimize status with foods first where possible. Also more affordable intervention for many 🙏🏽💪🏽
1
1
2
@KCKlatt
Kevin C. Klatt, PhD, RD
4 years
@ashleykoff @AJCNutrition @thebetternutri1 Thanks Ashley! I will check out your eval. Would also note that it's challenging to relate choline supplementation here (as a water soluble salt) to food-derived choline (mainly lipid soluble PC). Whether these will have the same metabolic effects is highly questionable IMO.
2
0
3
@DrNadolsky
Dr. Spencer Nadolsky
4 years
@KCKlatt @AJCNutrition You’re a real scientist now! 😂❤️😂❤️😂
1
0
3
@KCKlatt
Kevin C. Klatt, PhD, RD
4 years
@DrNadolsky @AJCNutrition ♥️🔪♥️
0
0
3
@marthafield7
martha field
4 years
@KCKlatt @AJCNutrition I am a little bit partial to all things one-carbon metabolism, but I am particularly happy to see this work published in @AJCNutrition. Congrats!
1
0
4
@KCKlatt
Kevin C. Klatt, PhD, RD
4 years
@marthafield7 @AJCNutrition Thanks Martha! Always here for some one carbon metabolism promotion/bias 👏👏
0
0
0
@JiayiXu64425510
Jiayi Xu
4 years
@KCKlatt @AJCNutrition Congratulations Kevin!! 🎉
1
0
1
@KCKlatt
Kevin C. Klatt, PhD, RD
4 years
@JiayiXu64425510 @AJCNutrition Thanks Jiayi!! hope you're well!
0
0
2
@DBelardoMD
Danielle Belardo, MD
4 years
@KCKlatt @AJCNutrition Congrats KK!!
0
0
2
@DrSHankMD
DrHankMD
3 years
@KCKlatt @AJCNutrition Very interesting. Do you have many ongoing trials around pregnancy and nutrition? My particular interest surrounds the microbiome and pregnancy outcomes.
0
0
0
@KwanCeci
Cecilia Kwan
4 years
@KCKlatt Wow this is exciting!! Congratulations @KCKlatt. Can you send me a copy of the paper so I can read it??
0
0
1