JobsatAssam Profile Banner
Jobsatassam.com Profile
Jobsatassam.com

@JobsatAssam

Followers
11
Following
79
Media
223
Statuses
223

Find Your Dream Job,Faster! ⏩ Welcome to https://t.co/6r7MFiBMAq, Where Opportunities meet Ambition!

India
Joined February 2025
Don't wanna be here? Send us removal request.
@JobsatAssam
Jobsatassam.com
2 days
📢 ICAR Guwahati Recruitment 2026 ICAR, Guwahati invites applications for Young Professional-II (YP-II) in the Director’s Cell. Post: YP-II Vacancy: 01 Salary: ₹43,000/- per month Last Date: 8 February 2026 #ICARGuwahati #ICARRecruitment #AssamJobs #GovtJobs #jobsatassam
0
0
0
@JobsatAssam
Jobsatassam.com
3 days
📢 Chowkidaar (Grade IV) Vacancy | Industrial Tribunal, Guwahati. Eligible and interested candidates can apply through the official website. 🗓 Last Date to Apply: 03 February 2026 🌐 Official Website: https://t.co/Tv7XX5YYbm 📍 Location: Guwahati, Assam #jobsatassam
0
0
0
@JobsatAssam
Jobsatassam.com
11 days
RRB Group D / Level 1 Recruitment 2026 Online applications for 22,000 Group D (Level 1) posts under the Railway Recruitment Board (RRB) will commence from 31st January 2026. Eligible candidates are advised to apply online. #RRBGroupD #RailwayJobs2026 #GovtJobsIndia #jobsatassam
0
0
0
@JobsatAssam
Jobsatassam.com
13 days
📢 The Office of the District Commissioner, Udalguri invites applications for 2 posts of District Administrative Head Assistant—one at the District Commissioner’s Office, Udalguri and one at the Office of the Sub-Divisional Officer (Civil), Bhergaon. Apply Now 📬 #AssamJobs
0
0
0
@JobsatAssam
Jobsatassam.com
14 days
📢 Recruitment Notification: Sakhi One Stop Centre, Bongaigaon Under Mission Shakti, Ministry of Women & Child Development, Assam (Purely Temporary & Contractual). Posts: Case Worker, Office Assistant, MPW, Security Guard. Interested candidates may apply! #AssamJobs #Jobs
0
0
0
@JobsatAssam
Jobsatassam.com
15 days
📢 The Prison Department has officially announced recruitment for the post of Jail Warder. Eligible and interested candidates are invited to apply online within the stipulated timeline. 🗓 Online Application Period: 22 January to 22 February,2026 #JailWarderRecruitment
0
0
0
@JobsatAssam
Jobsatassam.com
16 days
📢 The Indian Army invites eligible candidates for the Agniveer Recruitment Rally at: 📍 ARO Narengi | ARO Jorhat | RO (HQ) Shillong 📝 Apply online: https://t.co/kPfw5HU0fS Serve the Nation with Pride. Join the Indian Army. 🇮🇳 #IndianArmy #Agniveer #ArmyRecruitment
0
0
1
@JobsatAssam
Jobsatassam.com
21 days
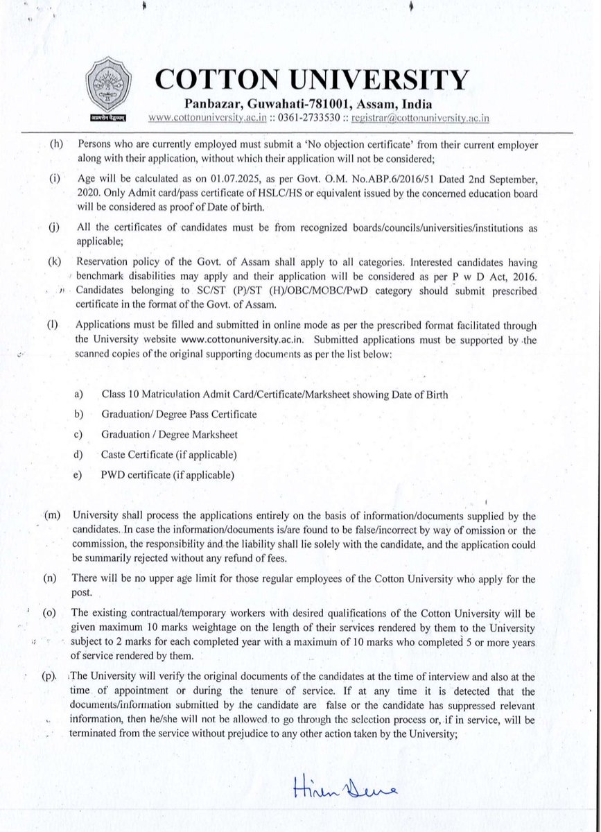
Cotton University, Guwahati has invited online applications from eligible Indian nationals for 9 Junior Assistant posts. 🗓 Last date to apply online: 2 February 2026 📄 Last date to submit hard copy: 9 February 2026 #CottonUniversity #AssamJobs #GuwahatiJobs #JuniorAssistant
0
0
0
@JobsatAssam
Jobsatassam.com
24 days
📢 TNL News Hiring! Posts Open: 🎬 Video Editor | 🎨 Graphics Designer | 🎤 Anchor Apply now with your resume/portfolio. #TNLNewsHiring #MediaJobs #NewsJobs #JournalismCareers #jobsatassam
1
0
1
@JobsatAssam
Jobsatassam.com
26 days
📢 Job Alert | Assam SSUHS invites applications for Junior Assistant (1 post) on a contractual basis. Eligibility: Graduate with computer skills & 3 years’ experience Salary: ₹25,000/month Last Date: 20.01.2026 #AssamJobs #GuwahatiAssam #SSUHS #JobOpportunity #jobsatassam
0
0
0
@JobsatAssam
Jobsatassam.com
27 days
Guwahati Times are looking for Marketing Manager. Apply now! #guwahatitimes #Guwahatitimesmedia #vacancy #assam #jobsatassam
0
0
0
@JobsatAssam
Jobsatassam.com
29 days
📍India Today North East is looking for two Reporters based in Guwahati. 📬 Send your CV to indiatodayne@gmail.com #IndiaTodayNE #IndiaToday #vacancies #reporter #journalists #jobsatassam
0
0
0
@JobsatAssam
Jobsatassam.com
1 month
From February onwards, under the #BabuAsoni, Post Graduate boy students will be given ₹2,000 per month and Graduate students will be given ₹1,000 per month to help them in pursuing their higher education. #BabuAsoni #AssamGovt #TheBoys #jobsatassam
0
0
0
@JobsatAssam
Jobsatassam.com
1 month
Contractual Basis Recruitment in District FRA Cell, Bongaigaon under Department of Tribal Affairs(Plain), Assam. Date of Walk-in-Interview: 08/01/2026 & 09/01/2026. #jobs #bongaigaon_assam #AssamGovt #jobsearch #jobsatassam
0
0
0
@JobsatAssam
Jobsatassam.com
1 month
Happy New Year 2026! ✨ May the new year bring happiness, peace, and success to you and your family. - Team https://t.co/XuhxNh8arQ
0
0
0
@JobsatAssam
Jobsatassam.com
1 month
Rajiv Gandhi Institute of Petroleum Technology (RGIPT) Vacancy. Post: Assistant Professor. Last Date to Apply: 20/01/2026 Interested and eligible candidates are encouraged to apply online within the stipulated time. #RGIPT #AssistantProfessorJobs #TeachingJobs #jobsatassam
0
0
0
@JobsatAssam
Jobsatassam.com
1 month
Various Vacancies at Mission Shakti,Kokrajhar. Eligible candidates are invited to apply for multiple posts. Interested applicants should apply as per the official guidelines within the stipulated time. #MissionShakti #KokrajharJobs #AssamJobs #GovernmentJobs #jobsatassam
0
0
0
@JobsatAssam
Jobsatassam.com
1 month
Cotton University Recruitment 2026 Cotton University has invited applications for the post of Junior Assistant. Total Posts: 09 Last Date to Apply: 2nd February 2026 Eligible candidates should apply as per the official notification. #CottonUniversity #AssamJobs #jobsatassam
0
0
0
@JobsatAssam
Jobsatassam.com
1 month
Candidates who have already been appointed to any other post under the Government of Assam are requested to withdraw their candidature for the teacher posts (4,500 LP-UP posts). Time period: From 24 December 2025 to 04 January 2026. #AssamTeacherRecruitment #LPUPTeacherPosts
0
0
0
@JobsatAssam
Jobsatassam.com
1 month
Xpec Innovations Pvt. Ltd. is hiring talented Video Editors, Archive Managers and Assamese Content Writers. If you’re passionate about media and storytelling, Apply now! #JobHiring #VideoEditorJobs #AssameseContentWriter #MediaCareers #XpecInnovations #jobsatassam
1
0
1