JSodoge Profile Banner
Jan Sodoge Profile
Jan Sodoge

@JSodoge

Followers
522
Following
6K
Media
185
Statuses
1K

PhD candidate @UFZ_de : drought impacts w/ computational methods. https://t.co/sash2dJQ3P. computational social science @IAS_LiU. NFDI4Earth Ac Fellow. Sports data

Leipzig, Deutschland
Joined February 2013
Don't wanna be here? Send us removal request.
@JSodoge
Jan Sodoge
2 years
How do impacts of multi-year droughts differ from single-year droughts? https://t.co/vOxxYBeqvF The second paper from my PhD published @EGU_NHESS . With Christian Kuhlicke, @MiguelDMahecha and @m_de_Brito we compared drought impacts in Germany 2000-2022. Here's what we found...
3
8
29
@JSodoge
Jan Sodoge
5 months
Afraid of LLMs hallucinating in data annotation? Try watching me annotate after drinking a whole can of Bialetti coffee
0
0
0
@JSodoge
Jan Sodoge
7 months
Zu einer vollständigen Antwort zur 🐵mit 👒 Theorie brauche ich hier noch etwas Zeit. Wer das früher selber machen möchte - DM und teile gerne den zugrunde liegenden Code und Datensatz! Oder her mit den Hypothesen, die getestet werden können.
0
0
0
@JSodoge
Jan Sodoge
7 months
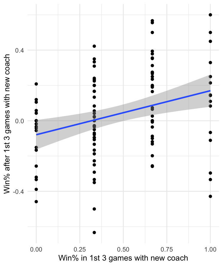
Bonus: intuitiver-weise verbessert sich nach einem Trainerwechsel langfristig vor allem die Bilanz von 'schlechten' Teams.
1
0
0
@JSodoge
Jan Sodoge
7 months
Im Durchschnitt ist die win% in den ersten 3 Spielen von Coaches minimal besser als in der Folge (0.05 Prozentpunkte). Aus den ersten 3 Spielen etwas langfristiges abzuleiten aufgrund der geringen sample size so oder so schon gewagt.
1
0
0
@JSodoge
Jan Sodoge
7 months
Weiter: gewinnt der neue Coach mehr seiner ersten 3 Spiele, korreliert das mit einer langfristig besseren win% gegenüber dem vorgänger (r=0.2)
1
0
0
@JSodoge
Jan Sodoge
7 months
Aber wie hängt der Erfolg in den ersten Spielen mit den folgenden zusammen? Die win% aus den ersten 3 Spielen korreliert leicht mit der nach den ersten drei Spielen (R=0.25): mehr W in den ersten 3 Spielen, es folgen auch mehr in den darauffolgenden Spielen.
1
0
0
@JSodoge
Jan Sodoge
7 months
Insgesamt liegen die Chance mit neuem Coach das erste Spiel zu gewinnen bei ca 47% . Da meist 'erfolgslosere' Teams den Coach entlassen (avg win% 40% mit den alten coaches), ist das zumindest kurzfristig ein Verbesserung. Über die ersten 3 Spiele mit neuem Coach dann 47% ...
1
0
0
@JSodoge
Jan Sodoge
7 months
Kurzer Theorie Recap: 'die ersten 3 Spiele kannst du da auch den Affen mit Hut hinsetzen, die Qualität eines neuen Trainers zeigt sich erst nach den ersten 3 Spielen' (paraphrasiert). Hier ein paar erste Einblicke in die Zahlen:
1
0
0
@JSodoge
Jan Sodoge
7 months
Zur 🐵mit 👒 Theorie von @GuntherPer paar Zahlen auf Basis von 103 Euroleague Trainerwechseln seit 2005. Thread...
1
0
3
@JSodoge
Jan Sodoge
8 months
Anyone here experienced with hosting shiny apps on their own server, specifically figuring out setting paths to images and files correctly?
0
0
1
@JSodoge
Jan Sodoge
11 months
Who's gonna do the ggplot color scale?
0
0
1
@JSodoge
Jan Sodoge
1 year
Including a (preliminary) interactive explorer of all EGU abstracts from the past 5 annual EGU GA conferences. https://t.co/XvEyktkPNE
0
0
0
@JSodoge
Jan Sodoge
1 year
Feeling fear of missing out (FOMO) at EGU conferences? In a new pre-print with @taismncarvalho @m_de_Brito we show that: this FOMO is reasonable; but we can provide help with text-mining: https://t.co/SKMuLp6KJN
1
0
5
@JSodoge
Jan Sodoge
1 year
Super excited @EuroGeosciences is collaborating with us. To improve our tools, we need your feedback! so please reach out here or via the email provided within the app to talk about your experience.
0
0
3
@JSodoge
Jan Sodoge
1 year
Using language models we compute how similar your abstract is to each session description. We display you the most similar ones to provide an inspiration within the wide landscape of all sessions
1
0
2
@JSodoge
Jan Sodoge
1 year
Submitting an abstract to #EGU25 this year? Use our new tool to find out which sessions fit best using AI. Super excited we’re collaborating with EGU this year to offer such solution. Thread for details below! https://t.co/bosj1zvOUT
1
6
11
@JSodoge
Jan Sodoge
1 year
Friday this week (3pm) I'll be defending my PhD thesis on assessing and modeling multi-sectoral drought impacts (incl text-mining) at University of Potsdam. If you want to join, drop me a message for zoom link or room details.
3
4
35
@JSodoge
Jan Sodoge
1 year
Why am I still here on twitter when I can discuss research way more fine grained and empowering elsewhere 😂
@m_de_Brito
Dr. Mariana Madruga de Brito
1 year
We studied how droughts cascade through human water systems🌄. When looking at individual stakeholder opinions, #biodiversity had little importance. But when combining their knowledge, it emerged as a key variable, closely linked to impacts and #drought regulation 🧵1/2
0
0
4
@m_de_Brito
Dr. Mariana Madruga de Brito
1 year
We studied how droughts cascade through human water systems🌄. When looking at individual stakeholder opinions, #biodiversity had little importance. But when combining their knowledge, it emerged as a key variable, closely linked to impacts and #drought regulation 🧵1/2
2
6
26