JACIInPractice Profile Banner
JACI In Practice Profile
JACI In Practice

@JACIInPractice

Followers
5K
Following
175
Media
3K
Statuses
7K

JACI: In Practice covers the spectrum of conditions treated by allergist-immunologists in their practices.

Joined April 2013
Don't wanna be here? Send us removal request.
@JACIInPractice
JACI In Practice
26 days
In recognition of #WorldUrticariaDay , JACI: IP invites you to check out the September “Urticaria and Angioedema” theme issue, which goes under the surface of this important topic. See the issue here: https://t.co/qwr8JHN0np #UDAY2025
0
1
0
@JACIInPractice
JACI In Practice
27 days
The September theme issue on “Urticaria and Angioedema” is online! Theme topics covered include pathogenesis, clinical evaluation, differential diagnosis, management, and novel therapeutics in patients with urticaria and angioedema. Check it out here:
0
0
1
@JACIInPractice
JACI In Practice
1 month
In recognition of World Atopic Eczema Day, JACI: In Practice is pleased to share our recent August 2025 issue on Atopic Dermatis (eczema): https://t.co/R8cmNLzf6B #AtopicEczemaJourney
1
2
1
@JACIInPractice
JACI In Practice
2 months
In Current Issue! #skin #treatment "Skin Manifestations in Adults With Chronic Granulomatous Disease in the United Kingdom":
0
0
2
@JACIInPractice
JACI In Practice
2 months
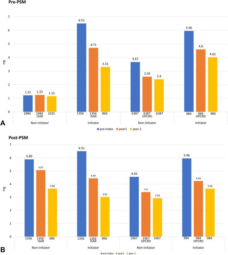
In Current Issue! #asthma #corticosteroid "Impact of Biologics Initiation on Oral Corticosteroid Use in the International Severe Asthma Registry and the Optimum Patient Care Research Database: A Pooled Analysis of Real-World Data": https://t.co/WUA0vRcwko
0
0
1
@JACIInPractice
JACI In Practice
2 months
In Current Issue! #fungi #allergic "Roles of Mycological and Pathological Examinations of Bronchoscopic Specimens in the Diagnosis of Allergic Bronchopulmonary Aspergillosis/Mycosis": https://t.co/f3Y1gkN8qE
0
1
4
@JACIInPractice
JACI In Practice
2 months
In Current Issue! #childhood #dermatitis "Impact of Food Allergy on the Atopic March Progression From Atopic Dermatitis in Early Childhood to Other Atopic Disorders at School Age":
0
0
0
@JACIInPractice
JACI In Practice
2 months
Read the insightful EDITORIAL about the article "Skin Manifestations in Adults With Chronic Granulomatous Disease in the United Kingdom" here:
0
0
2
@JACIInPractice
JACI In Practice
2 months
Read the insightful EDITORIAL by Dr. Gerald Teague about the article "Poor asthma control increases the risk of COVID-19 hospitalization in children" here:
0
0
1
@JACIInPractice
JACI In Practice
2 months
Listening to the JACI: In Practice August 2025 Issue Highlights Podcast, focusing on Atopic #Dermatitis:
0
0
3
@JACIInPractice
JACI In Practice
2 months
Read the insightful EDITORIAL by Dr. Stanley J. Szefler about the article "Prevalence and Potential Risk Factors for T2-Low Asthma Among School-Aged Children in the National Health and Nutrition Examination Survey, 2007–2012" here:
0
0
1
@JACIInPractice
JACI In Practice
2 months
Read the insightful EDITORIAL by Drs. Agarwal and Hollingsworth about the article “Roles of Mycological and Pathological Examinations of Bronchoscopic Specimens in the Diagnosis of Allergic Bronchopulmonary Aspergillosis/Mycosis" here:
0
0
1
@JACIInPractice
JACI In Practice
2 months
This theme issue article discusses achieving long-term control in atopic dermatitis and changing the paradigm from just treating the condition at hand to consideration of which therapy will lead to long-term remissions and prevent comorbidities: https://t.co/3RhpAnupcl
0
1
1
@JACIInPractice
JACI In Practice
3 months
This “Atopic Dermatitis” theme article highlights key considerations (e.g. age, comorbidities, efficacy) for selecting between the various biologics and Janis kinase inhibitors in patients with atopic dermatitis who require these advanced therapies:
0
1
2
@JACIInPractice
JACI In Practice
3 months
This article from the Atopic Dermatitis theme issue summarizes the role of allergy testing in patients with atopic dermatitis and concludes that allergy testing should only be performed in patients with a history suggesting IgE-mediated reactions to food:
0
1
1
@JACIInPractice
JACI In Practice
3 months
The August theme issue on “Atopic Dermatitis,” is online! Theme topics covered include various aspects of diagnosis and management. Read an insightful editorial perspective on the theme and promoting best practice for patients with atopic dermatitis here:
0
0
1
@JACIInPractice
JACI In Practice
3 months
The August theme issue on “Atopic Dermatitis” is now online! Topics covered include allergy testing, comorbid skin conditions, use of biologics and Janus kinase inhibitors, and achievement of long-term control on patents with atopic dermatitis:
0
2
1
@JACIInPractice
JACI In Practice
3 months
Read the insightful EDITORIAL by Dr. Andrew A. White about the article “Intranasal Aspirin Challenge for Diagnosis of Aspirin-Exacerbated Respiratory Disease: Symptom Score Criteria and Optimal Dosage" published in the July issue:
0
1
2
@JACIInPractice
JACI In Practice
3 months
Read the insightful EDITORIAL by Dr. Gerald Teague about the article “Symptoms of Asthma Extracted Through Natural Language Processing and Their Associations With Acute Asthma Exacerbation in Adults With Mild Asthma" published in the July issue:
0
0
0