
Howard Chai (in Taiwan)
@Howard__24
Followers
2K
Following
11K
Media
266
Statuses
21K
Taiwanese-Canadian. Journalist.
Burnaby, British Columbia
Joined May 2009
SCOOP: A receivership application has been filed against the 60-storey CURV luxury condo and rental project in Vancouver. Lender is a syndicate that includes RBC, BMO, and Meridian Credit Union. Debt is $91M. #vanRE
https://t.co/XyBktKnVCc
storeys.com
The 60-storey CURV is planned for 1075 Nelson Street in Vancouver and was being developed by Montreal-based Brivia Group.
20
55
257
Chip Wilson’s Low Tide Properties has listed two of their mixed-used rental buildings in Vancouver for a total of $42,250,000. #vanRE
https://t.co/PrqszvjN1P
0
1
8
An update on two Thind Properties insolvency proceedings: Rennie has been replaced as the sales agent for the unsold units at both Highline Metrotown and Eclipse Brentwood. #vanRE
https://t.co/AJb6Ae8LfK
1
0
9
The City of Surrey has chosen Apcon Group as its partner to develop the City-owned site at 10975 126A Street. Two six-storey buildings. 430 rental units with around 30% below-market. #vanRE
https://t.co/1HE0Rin3RW
0
0
3
I felt like Woj/Shams for a minute there. Here’s the full story: https://t.co/mb7Q81sbaL
0
0
1
Nicola Wealth Real Estate has submitted a new rezoning application for 304-316 E 1st Avenue in Vancouver, which they acquired out of foreclosure earlier this year for $13 million. #vanRE Story: https://t.co/Rlx79aIsek
1
0
7
The Vancouver Housing Development Office has unveiled their fourth project: a four-tower proposal set for 2400 Kingsway in East Van, which is currently occupied by the 2400 Motel. #vanRE
https://t.co/93HfpkP8hw
0
0
4
This week I found out that I am one of three finalists for the Jack Webster Foundation award for Excellence in Business Reporting. This is the first time I have been up for a journalism award in my short career. I hope it won’t be the last! https://t.co/dObeJU4wiq
newswire.ca
/CNW/ - Finalists for the 2025 Webster Awards, Western Canada's preeminent journalism awards, were announced today. The awards recognize excellence in...
6
0
19
The Surrey City Development Corporation (SCDC) has submitted a rezoning application for its big Gateway project near Gateway Station. Four towers between 40 and 44 storeys. Over 1,800 market rental units. #vanRE
https://t.co/0hVl4KL7m1
storeys.com
The four towers planned by the Surrey City Development Corporation (SCDC) are set for a 5.7-acre site between 133 Street and University Drive steps away from Gateway Station.
1
2
8
(The Vancouver Housing Development Office will also be unveiling a four-tower project soon.) #vanRE
0
0
1
The Surrey City Development Corporation (SCDC) has submitted a rezoning application for its big Gateway project near Gateway Station. Four towers between 40 and 44 storeys. Over 1,800 market rental units. #vanRE
https://t.co/0hVl4KL7m1
storeys.com
The four towers planned by the Surrey City Development Corporation (SCDC) are set for a 5.7-acre site between 133 Street and University Drive steps away from Gateway Station.
1
2
8
We have our first bid for one of the iconic Hudson’s Bay Buildings: The James Bay Eeyou Corporation and JHD Immobilier intend to bid $400 million for the Hudson’s Bay Building in downtown Montreal. The partners say they intend to transform it into a museum and cultural hub.
0
1
6
#VanRE @Howard__24 Holborn Submits Plans For 3 Tallest Towers In Vancouver, Including Supertall Hotel. The towers proposed by Holborn are set for 501 & 595 W Georgia Street & include a 63-storey tower, a 68-storey tower, and a 79-storey tower.
storeys.com
The three towers proposed by Holborn are set for 501 and 595 W Georgia Street in Vancouver and include a 63-storey tower, a 68-storey tower, and a 79-storey tower.
2
1
5
And here’s a separate story about the inaugural CEO of Build Canada Homes, Ana Bailão, who was most recently with Dream Unlimited and was previously a member of Toronto City Council for 12 years. #canpoli
https://t.co/37x58KUcee
storeys.com
The former Toronto deputy mayor and housing advocate will lead Ottawa’s new federal housing entity, which Prime Minister Carney launched with $13B in funding on Sunday.
0
1
3
On Sunday, PM Mark Carney announced the launch of Build Canada Homes, the new federal housing entity. Here’s a look at how it will be structured, what it will do, and its first round of investments. #vanRE #canpoli
https://t.co/tIEDSjFTS0
storeys.com
The launch of Build Canada Homes comes after Mark Carney pledged to create a new federal housing entity during the election.
3
3
5
The Squamish Nation has acquired the International Plaza Apartments in North Vancouver from CAPREIT / $CAR.UN for $54.2 million. The buildings sit on reserve land so the transaction gives the Squamish Nation complete ownership of the site. #vanRE
https://t.co/pdgiBfrSVG
storeys.com
The International Plaza Apartments in North Vancouver sit on reserve land and the transaction brings the property back under Squamish Nation ownership.
4
4
17
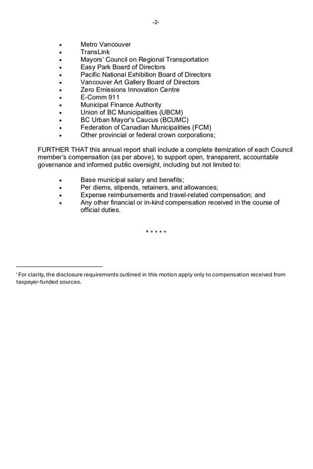
Lastly is Mayor Ken Sim’s motion calling for full transparency on compensation Council receives from taxpayer-funded sources. #vanpoli As a journalist, I like this. (4/4)
0
0
1
Also related to housing: Lucy Maloney is introducing a motion asking the City to explore the possibility of allowing six-storey buildings on side streets, greenways, and other low-traffic non-arterial streets by right. #vanRE (3/4)
2
0
3
At long last, Vancouver City Council is back in action next week, two weeks after most municipalities resumed their meetings. #vanpoli Several council motions are being introduced on Wednesday. Here’s a 🧵. (1/4)
2
0
5