HCPhotography Profile Banner
Hamish Campbell Profile
Hamish Campbell

@HCPhotography

Followers
1K
Following
629
Media
186
Statuses
4K

Photographer, and videographer specialising in advertising and commercial shizz.

UK right now
Joined April 2009
Don't wanna be here? Send us removal request.
@TansuYegen
Tansu Yegen
1 month
MIT’s origami robot starts as a flat sheet, folds itself when heated, and becomes a tiny robot that can crawl, climb, and swim. #CES2026
51
388
2K
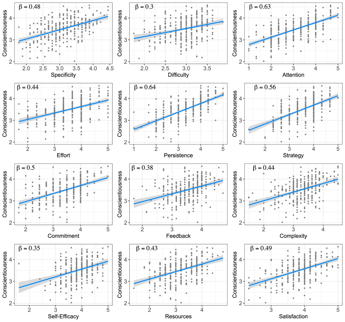
@timothycbates
Timothy Bates
3 years
Twelve reasons conscientious people get more work done (And a new individual differences measure of Goal Setting). Strong results for every sub-system of goal setting, pre-registered+replicated! https://t.co/LTyOXDK67a
4
38
176
@HCPhotography
Hamish Campbell
3 years
Could not be more proud of my boy @Spoony_10 There were tears of joy in the studio when he stepped on yesterday. A textbook definition of doing the work gets you there. Get to it everyone... Chop chop
@Fonzies_Italia
Fonzies
3 years
È entrato Wotherspoon. Piccolo reminder per gridare il suo nome correttamente. #FORZACANADA #FonziesForCanada #CanadaMarocco
0
1
23
@Fonzies_Italia
Fonzies
3 years
È entrato Wotherspoon. Piccolo reminder per gridare il suo nome correttamente. #FORZACANADA #FonziesForCanada #CanadaMarocco
3
17
70
@CanadaSoccerEN
Canada Soccer
4 years
We have qualified today. But it’s time to believe in tomorrow. πŸ‡¨πŸ‡¦ #CANMNT #WCQ #WeCan
135
2K
7K
@edinsketcher
EdinburghSketcher
4 years
I thought I would update my sketch of #ChancellotMill (from 2017) after cycling over the newly painted bridge today by the @DreadnoughtPub in #Leith. It looks great πŸ‘ 😊🌈 Watercolour on a giclee print. #pridebridge @RoisinTherese @Somewhere_ForUs @Edinburgh_CC
1
13
59
@HCPhotography
Hamish Campbell
5 years
A little personal project shot in a morning during lockdown. This is Blood & Stone music video featuring Kristian Labak of @klabcreative
0
1
1
@HealthDundee
Green Health Partnership Dundee
5 years
Dundee is launching Green Prescriptions across Dundee's GP surgeries and selected secondary care services! You can also self-refer to join free activities on 01382 305757 get in touch to find out more! #Dundee #socialprescribing #GreenRecovery https://t.co/4cVxj98TCY
4
19
40
@DundeeRe
ReDiscover Dundee
6 years
🎬 All smiles as we were getting filmed as part of the @HealthDundee TV advert 😊 Thrilled to be part of it and support the message that spending time outdoors improves our health and happiness πŸš΄πŸŒ³πŸ˜€ #dvva #DundeeTSI
0
7
9
@HeyGirlsUK
Hey Girls
7 years
Just some #HeyGirlsUK shooting our new boxes for reusable pads and biodegradable applicators with @HCPhotography - have you tried a #PlasticFreePeriod yet? #BuyOneGiveOne at https://t.co/44g2jGaJFd ❀️ #EndPeriodPoverty
0
2
6
@UnionDirect
Union Direct
7 years
Do you love playing with data and solving business problems? Are you an experienced Marketing Data Analyst? If so our sister agency Union Data and @uniondatadan want to hear from you. Find out more at https://t.co/EtuzfVO5OJ #marketingdata #dataanalysts #edinburghjobs
0
1
1
@HCPhotography
Hamish Campbell
7 years
Looking to join @InitiativeQ. Please send me an invite. πŸ™ https://t.co/Va8UtDDhhV via @initiativeQ @klabcreative
1
0
1
@HCPhotography
Hamish Campbell
7 years
Thank you for the shortlist @prodparadise good luck to all the other nominees
0
0
0
@HCPhotography
Hamish Campbell
7 years
We have been delighted to be part of the story so far. And for the future I've just invested in @StAndrewsBrewCo via @Crowdcube.
0
0
3
@HCPhotography
Hamish Campbell
8 years
A huge congratulations to the @StAndrewsTim and Phil Mackey @StAndrewsBrewCo for smashing their crowedfunding target. We were delighted to have helped out. If you want to get involved head on over to https://t.co/B9SfPXWxEV
0
1
1
@HCPhotography
Hamish Campbell
8 years
Thanks for the post @productionparadiseuk
0
0
0
@HCPhotography
Hamish Campbell
8 years
And so the interviews begin!!! Thank you to all of the applicants for the studio and photographic assistant position. Good luck all.
0
0
3
@HCPhotography
Hamish Campbell
8 years
https://t.co/WvjRJCjJKB The past few years I have been so busy telling other people's stories for them, I have stopped telling mine.Β  So here for the first time is a showreel made entirely of footage I have shoot, edited, graded and cut.
0
1
2