Fredlevine_set1 Profile Banner
Fred Profile
Fred

@Fredlevine_set1

Followers
1K
Following
129K
Media
677
Statuses
106K

Aeronautical Engineer.πŸ›«

Existential Crisis.
Joined February 2020
Don't wanna be here? Send us removal request.
@LangmanVince
Vince Langman
23 hours
OMG πŸ‘‡ πŸ˜‚πŸ˜‚πŸ˜‚πŸ˜‚πŸ˜‚
83
363
2K
@ehisssss
jonzing.
15 hours
the difference is, i can take what i dish out. if i missed your birthday, just miss mine.. idgaf.
115
9K
31K
@FeechiNaomi
muffin
5 hours
Don't bully a child in front of her father
93
104
166
@robrousseau
Rob
20 hours
@unusual_whales
unusual_whales
2 days
BREAKING: SpaceX has acquired xAI
280
4K
120K
@kikiibikii
Janani
20 hours
probably the worst thing you could say to someone
@Okay_Bye___
cнєєкυ⋆qπŸͺΛš ⋆
2 days
"but i never asked u to do that for me"
41
4K
31K
@ByDobson
Dobson πŸ¦‹
12 hours
BAD BUNNY IS INDEPENDENT?????
@darkwingspook
π”‡π”žπ”―π”¨π”΄π”¦π”¦π”¦π”«π”€π”°π”­π”¬π”¬π”¨ πŸ…΄
14 hours
Craziest part about Bad Bunny's career is that he's independent
233
2K
82K
@ajeezayGH
Nonfa KING
13 hours
Because this video will uplift you , the algorithm will never let you see 😩
58
267
1K
@abeyaaaaaar
Rajat
23 hours
What are your intentions with my daughter πŸ˜‚
74
99
804
@johnny_tmanV2
PT: Psycho Tman
10 hours
Bill and Hillary
@unusual_whales
unusual_whales
17 hours
BREAKING: The Clintons are asking for public hearings in Epstein files, per NYT
11
311
5K
@ohitstarik
aerospace action bronson
13 hours
this tweet made me realize i completely forgot about the concept of "learning" a "programming language". jesus christ
@MrFruitYT
Mr. Fruit
19 hours
How it feels learning Python after starting with C
14
30
4K
@s8n
Satan
14 hours
14
124
2K
@naiivememe
naiive
5 hours
when you meet the girl of your life but you've to secure generational wealth first https://t.co/IZG2iHpZgs
34
91
2K
@ViLettuce
vi
14 hours
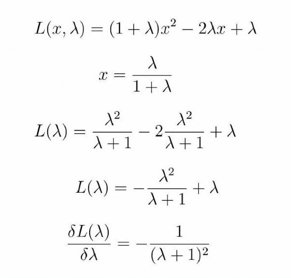
[NEWS] Addison Rae reveals she cannot use Lagrange Multipliers to remove constraints during optimizations
56
973
13K
@Clint_Davey1
Clint Warren-Davey
19 hours
This, plus they both charge at each other and everyone fights to the death without a break.
92
826
33K
@kirawontmiss
kira πŸ‘Ύ
12 hours
How it feels when I click β€œconfirm payment” and they take away my money
194
7K
65K
@maniaUFO
UFO mania
4 hours
Failed MATRIX?... Have you ever imagined a folder changing color live during a newscast? The curious fact happened during a broadcast by Sky News. Former British Treasury Chancellor Rishi Sunak's portfolio mysteriously changed color over the course of a broadcast.πŸ§πŸ€”
204
711
9K
@HerbalistChief
ChiefHerbalist
4 hours
Retired Doctor who is drinking Herbal tea to treat his arthritis watching junior Doctor condemning herbal medicines.
103
445
3K
@thesigmamindset
The Sigma Mindset
2 days
Billionaires don't sit at desks ‼️‼️
20
1K
9K
@RamahKizito
Ramah Kizito
22 hours
I’m very sure Case hospital negligence has killed thousands of people!
41
53
532
@animepics_jp
Daily Dose of Anime
15 hours
18
780
8K