Philippe Profile
Philippe

@Fone_Guy

Followers
115
Following
2K
Media
294
Statuses
5K

Energiebesparing, energiecoach. EV-rijder. Absurdistische humor. Spelen met taal. Q-koorts-ervaringsdeskundige (QVS). Telecomexpert. Volgorde....?

Warnsveld
Joined June 2011
Don't wanna be here? Send us removal request.
@sciencegirl
Science girl
9 months
Tsugite is a traditional Japanese joinery technique that seamlessly connects wood without nails, screws, or glue.
151
1K
10K
@Fone_Guy
Philippe
1 year
Vandaag op pad in de (lichte) mist. Opvallend hoeveel auto’s er rijden zonder achterlicht. Ze hebben het ws niet in de gaten. Ben groot voorstander van verplichting dat achterlichten aan gaan samen met dagrijverlichting.
0
0
0
@Fone_Guy
Philippe
1 year
Interessante details!
@varshaparmar06
Varsha Singh
1 year
Thread on how does the world look through a microscope 🧵 Don't open if you can't handle too much excitement 1. A matchstick igniting by the friction surface of the box.
0
0
1
@Fone_Guy
Philippe
1 year
Gevonden:
1
0
3
@Fone_Guy
Philippe
1 year
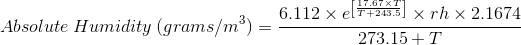
Ik zoek een formule waarmee ik de absolute luchtvochtigheid (in g/m3) kan berekenen aan de hand van - relatieve luchtvochtigheid - ⁠temperatuur - ⁠luchtdruk Dus geen gebruik van tabellen of grafieken, want daar kan mijn computer niet meer uit de voeten. Wie weet welke formule?
4
0
0
@Fone_Guy
Philippe
1 year
Gasballon boven oostelijk Warnsveld gesignaleerd. Weet iemand meer over deze ballonvaart?
1
0
1
@Fone_Guy
Philippe
2 years
Het lijkt er steeds meer op dat we naar een afgestompte, ongeïnteresseerde wereld toe gaan. Individualisme ten top, geen enkele vorm van ‘samen’ meer…
@sciencegirl
Science girl
2 years
Steve Cutts, a London-based illustrator and animator, creates artwork that satirizes the excesses of modern society. His style draws inspiration from 1920s-1930s cartoons, modern comic books, This is one of his animations. What do you think?
0
0
1
@Fone_Guy
Philippe
2 years
@schimmpie⁩ Hebben je kinderen je spuitbussen gevonden? 🤣🤣🤣
0
0
0
@Fone_Guy
Philippe
2 years
Beste @Renault_NL, ik heb interesse in de nieuwe Scenic E-Tech full electric. Waar kan ik (online?) het instructieboekje vinden? Daarin vind je nl zó veel meer info dan op welke site of bij welke dealer ook…
1
0
0
@Fone_Guy
Philippe
2 years
Weer zo’n voorbeeld van ‘elk nadeel hep se voordeel’. Als een EV zwaarder is zal die het milieu zwaarder (kunnen) belasten door hogere bandenslijtage. Echter, ze belasten het milieu weer minder door minder gebruik van de remblokken. Weegt het een nou zwaarder dan het ander? 🤷‍♂️
@mwt2008
Mark W Tebbutt
2 years
EVs weigh≈ 20% heavier. “Despite their additional weight, the brakes in the battery and hybrid vehicles worked less than their petrol and diesel equivalents. Brake pollution was reduced by 88% in the international driving test and 68% in the London test.
2
0
2
@Fone_Guy
Philippe
2 years
Iets voor @iljagort ?
0
0
0
@Fone_Guy
Philippe
2 years
Ik kijk naar een momentschroevendraaier van Wiha. Daarin zie ik twee modellen met verschillende ranges: 1. 0,5 - 2,0 Nm 2. 0,8 - 5,0 Nm Welke raad je me aan voor gebruik bij installatiewerk? @HenryLootens
0
0
0
@Fone_Guy
Philippe
2 years
Zou Sensodyne dezelfde aftrek hebben als de hoogste andere (0,3 bij Aquafresh), dan zou Sensodyne als beste uit de bus komen. Dit riekt naar manipulatie met als die verschillen… 2/2
0
0
0
@Fone_Guy
Philippe
2 years
Ik hou wel van optische illusies!
@Rainmaker1973
Massimo
2 years
This photo is an example of how optical illusions mess with your mind. First you see a rock floating in the air and then...
0
0
0
@Fone_Guy
Philippe
2 years
Tja, wat mot je dáár nou mee… 🤷‍♂️
@LoesjeNL
Loesje v/d Posters
2 years
** PVVBBBVVDNSC als ik dat op mijn plankje heb ruil ik mijn letters ** #loesje #formatie2023
0
0
1
@LoesjeNL
Loesje v/d Posters
2 years
** PVVBBBVVDNSC als ik dat op mijn plankje heb ruil ik mijn letters ** #loesje #formatie2023
46
217
984
@LarsBoelen
Lars Boelen
2 years
10 Tesla's brandden uit, van nul ging de accu in de hens.
@alex_avoigt
Alex
2 years
Debunking myths about burning BEVs: On Tuesday night, 10 Tesla vehicles, among others, burst into flames in Frankfurt, Germany. According to the fire department, the fire broke out at around 3 a.m. on Tuesday night in the parking lot of a car dealer in the Frankfurt district of
5
5
22
@Fone_Guy
Philippe
2 years
Het is weer zo ver: wéér zo'n 'warmtepomp' die geen koudemiddel nodig heeft en energie-efficiënter is dan de traditionele compressorwarmtepompen. Rendement <100%, dus slechter dan een elektrische boiler... https://t.co/IFni1E608w @LarsBoelen @schimmpie @Plushuis @WattisDuurzaam
Tweet card summary image
vakbladwarmtepompen.nl
Het Duitse Fraunhofer-instituut ontwikkelt een elektrocalorische warmtepomp die geen koudemiddel nodig heeft en energie-efficiënter is dan de traditionele compressorwarmtepompen. Onlangs werd volgens...
2
0
0
@Fone_Guy
Philippe
3 years
Als dit de EV9 in ‘normaler formaat’ is, dan zou die wel eens heel goed in de markt kunnen vallen. Bij dit ontwerp moet ik erg denken aan Citroën die met wat meer afwijkende en gedurfde ontwerpen kwam. Deze EV5 doet dan denken aan de BX. Wat vind jij, @_marcklaver ?
@InsideEVsForum
InsideEVs Forum
3 years
The Kia EV5 concept has just made a surprise debut and it now has its own space on our Forum. Though set to sell in China later this year, it will also be sold in other markets. https://t.co/HBiExGoER4
0
0
1