Eric Feldstein Profile
Eric Feldstein

@Eric_Feldstein

Followers
131
Following
90
Media
12
Statuses
52

Westchester Medical Center @nymcbrainspine, @nymedcollege 2021, @Columbia 2016

Valhalla, NY
Joined April 2021
Don't wanna be here? Send us removal request.
@Eric_Feldstein
Eric Feldstein
3 years
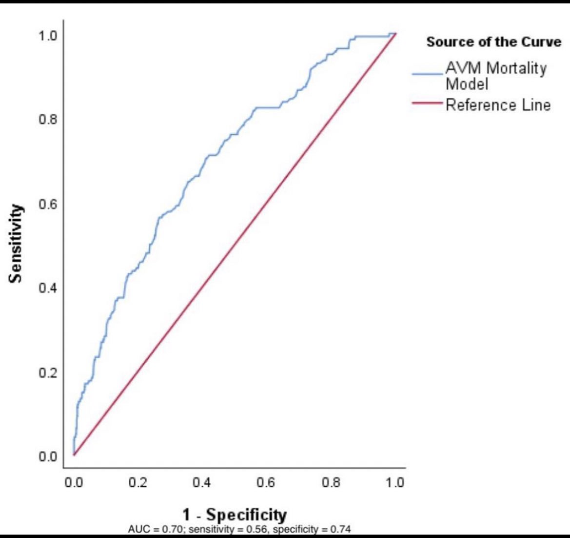
Our latest at WMC Brain&Spine A proposed 5 point outcome score for ruptured cAVMs, utilizing the largest inpatient sample database: Concomitant CA, age>60, race, liver failure, DM, PNA, alcohol abuse, cerebral edema Thank you to all involved! @nymcbrainspine @almuftifawaz
1
5
11
@nymcbrainspine
Westchester Medical Center Neurosurgery
3 years
Congratulations to the newest members of our team and welcome to the @WestchesterMed @nymedcollege Neurosurgical family! #neurosurgery #Match2023
0
4
17
@AshuPJadhav
AshuJadhav
3 years
Acute Ischemic Stroke in Patients With Pulmonary Arteriovenous Malformations: Paradoxical Embolism or Epiphenomenon? | Stroke: Vascular and Interventional Neurology https://t.co/v3j7KI03Jh @svinsociety @SVINJournal @StrokeAHA_ASA
0
6
12
@Doc_Muh
Carrie Muh
4 years
Congrats to @almuftifawaz, @Tracey1milligan & Chirag Gandhi, who did a tremendous job developing this Symposium. Great talks by @mill_etienne, @adicpini & lots of young researchers. Grateful to have been a part of the Inaugural event & excited to see it grow in the years to come!
0
5
13
@Doc_Muh
Carrie Muh
4 years
Section on #Diversity in Medicine at today's #Neuroscience Symposium. @stephanamayer discussed Importance of diversity in clinical trials & Strategies to improve this. We won't know if treatments work if we don't study them in the population affected by the disease! @Diverse_NYMC
1
2
6
@Doc_Muh
Carrie Muh
4 years
Neuroscience Research Symposium @nymcbrainspine @NeurologyNymc Neurology Chair @Tracey1milligan welcomed @NINDSdirector who gave a fascinating talk on NINDS support of neuroscience research & amazing recent advances
1
4
9
@almuftifawaz
Fawaz Al-Mufti, MD, FSVIN
4 years
Terrific presentation by @Christeenakur & @adicpini highlighting our work analyzing EVT for Stroke in 48K Women compared to Pregnant/Postpartum Women! Happening now at the @WestchesterMed @nymedcollege Neurosciences Research Symposium, A Meeting of the Minds!
0
8
27
@NeurologyNymc
NYMC Department of Neurology
4 years
Racial Disparities among Migraine trials by Vice Chancellor for @Diverse_NYMC Dr @mill_etienne Happening now at the @WestchesterMed @nymedcollege Neurosciences Research Symposium, A Meeting of the Minds
0
5
10
@NeurologyNymc
NYMC Department of Neurology
4 years
Excellent keynote address by Dr @NINDSdirector, director of the #NINDS @NINDSnews at the inaugural @WestchesterMed @nymedcollege Neuroscience Research Symposium: A Meeting of the Minds: "The NINDS and the Taxpayer investment in Neurosciences " @NINDStranslate @NINDSDiversity
0
8
16
@nymcbrainspine
Westchester Medical Center Neurosurgery
4 years
"Diversity in Acute Neurological Trial" a thought-provoking & out-of-the-box solutions to ongoing clinical trials to increase enrollment of minority populations. Phenomenal talk by Dr. @stephanamayer "If you want to improve anything in life, you have to measure it"
0
7
14
@NeurologyNymc
NYMC Department of Neurology
4 years
Challenges facing #Women in Academic Neurosurgery! An eye-opening talk by Dr. @Doc_Muh, Director of Pediatric Neurosurgery @nymcbrainspine Highlighting the problem & possible solutions at the Neurosciences Research Symposium, Meeting of the Minds @nymedcollege @WestchesterMed
0
7
10
@TheJNS
Journal of Neurosurgery
4 years
#NeurosurgicalFocus Cardiac arrest in spontaneous subarachnoid hemorrhage and associated outcomes https://t.co/GrkEsRBo4o
1
5
16
@AdamSerwer
Adam Serwer 🍝
4 years
Alito’s draft opinion repealing Roe is a sweeping blueprint not just for invalidating abortion rights, but any rights that contradict conservative ideological preferences. And in classic Alito fashion, he lied what he was doing while he was doing it
Tweet card summary image
theatlantic.com
If the conservative justice’s draft opinion is adopted by the Court, key advances of the past hundred years could be rolled back.
79
1K
4K
@Eric_Feldstein
Eric Feldstein
4 years
“N:L” for “No Laughing” matter. Elevated neutrophil-lymphocyte ratio following endovascular thrombectomy in stroke patients with Covid 19 associated with increased mortality and prolonged mechanical ventilation Potential outcome biomarker? @almuftifawaz @nymcbrainspine
@almuftifawaz
Fawaz Al-Mufti, MD, FSVIN
4 years
Neutrophil–Lymphocyte ratio #NLR≥7.2 following endovascular thrombectomy in #stroke pts w #COVID19 assoc w ↑ risk of death(OR 6.8,p=0.03)& Prolonged mechanical ventilation(OR 7.8,p= 0.03) even when controlling for #TICI score @INR_WFITN @nymedcollege @WestchesterMed
0
3
8
@cardiomet_CE
cardio-met
4 years
1) Welcome to a new #accredited #tweetorial on parenteral #antiplatelet therapy in #neurovascular interventions. Our expert author is Fawaz Al-Mufti MD @almuftifawaz, interventional #neurologist Interventional Neurologist @NYMedcollege @WestchesterMed @neurocritical @svinsociety
2
25
72
@SVINJournal
Stroke: Vascular and Interventional Neurology
4 years
1/ For our most recent issue of S:VIN, we are proud to feature this image by Dr. @AlmuftiFawaz. ⬇
3
34
157
@Eric_Feldstein
Eric Feldstein
4 years
Bihemispheric Ischemic Strokes in Patients with Covid-19" Retrospective on 637 COVID-19 admissions. 5 patients with b/l infarcts on head CT found due to decreased mentation after extubation. Potential etiology for prolonged decline. @almuftifawaz @nymcbrainspine @NeurologyNymc
0
4
8
@TheJNS
Journal of Neurosurgery
4 years
#NeurosurgicalFocus Development of cerebral vasospasm following traumatic intracranial hemorrhage: incidence, risk factors, and clinical outcomes https://t.co/3Qcov2WUfv
0
9
26
@Eric_Feldstein
Eric Feldstein
4 years
Matched #Neurosurgery into my #1 program @nymcbrainspine @WestchesterMed. Spent the past year as the department’s clinical research fellow and fell in love with the it. Thrilled for the next 7 years! #MatchDay2022 Thank you to @almuftifawaz / all my mentors through the process
13
7
77