EraRegistry Profile Banner
ERA Registry Profile
ERA Registry

@EraRegistry

Followers
3K
Following
540
Media
128
Statuses
378

The ERA Registry collects data on renal replacement therapy via national and regional renal registries in Europe.

Amsterdam
Joined December 2014
Don't wanna be here? Send us removal request.
@EraRegistry
ERA Registry
2 years
🎉 Celebrating 60 incredible years of the #EraRegistry! ✨ A heartfelt thanks to everyone on this incredible journey. Here's to more years of innovation and success together! 🥂 📢 This account will no longer be updated. Stay tuned for our news exclusively on @ERAkidney!
0
1
7
@EraRegistry
ERA Registry
2 years
We are happy to share that our review on "Differences in the epidemiology, management and outcomes of kidney disease in men and women" is now published in Nature Reviews Nephrology and available online here: https://t.co/jAegSTHRJw @jager_kitty @jjcarrero1 @ERAkidney
0
9
18
@EraRegistry
ERA Registry
2 years
The slides from the 2021 ERA Registry Annual Report are now available and can be easily used for your presentation: https://t.co/chmBAMED1k
1
0
4
@CKJsocial
CKJ
2 years
👌Check out our new CKJ Supplement on: Choosing the right: therapy, place and time for kidney disease patients - Treatment choice and shared decision-making in clinic https://t.co/BAwy2vKajX #OpenAccess @FMC_AG @FreseniusKC @ERAkidney
0
27
44
@EraRegistry
ERA Registry
3 years
The ERA Registry annual report 2021 is online! https://t.co/rYbVntFAwY
0
5
19
@EraRegistry
ERA Registry
3 years
Samar Abd ElHafeez will present her project on the incidence and outcomes of KRT due to primary glomerulonephritis in the ERA Registry. Please join us this Saturday, between 14:45 - 16:00, in Amber 1&2, for the session “Navigating the IgA nephropathy pathway”. #ERA23
0
0
4
@EraRegistry
ERA Registry
3 years
Dr Vianda Stel will give her talk on “Transplant survival benefit – does it apply to all patient subgroups?” during the session “Pre-emptive transplantation and which donors to choose” on Saturday, 17 Jun, 12:00 - 13:15 CEST (Amber 1&2). #ERA23
0
0
2
@EraRegistry
ERA Registry
3 years
Please join us for the talk by Kitty Jager on “Population ageing and how it will impact on CKD epidemics” during the session “CKD prevalence and projections - preparing for the storm” on Friday, 16 June, 14:45 - 16:00 CEST, in the Auditorium. #ERA23
0
1
4
@EraRegistry
ERA Registry
3 years
We look forward to meeting you for the ERA Registry Symposium, Friday 16 Jun, 08:30 - 09:45, Space 3&4. #ERA23
0
1
3
@EraRegistry
ERA Registry
3 years
Here are the ERA Registry activities during the 60th ERA Congress in Milan (15-18 June, 2023). The ERA Registry team is looking forward to meeting you there!
0
2
4
@ERAkidney
ERA - European Renal Association
3 years
💯Networking and learning time at the Introductory Course on Epidemiology 2023, organised by the ERA Registry and hosted by the Third Medical Faculty, Charles University, in Prague, Czech Republic. @EraRegistry #epidemiology #kidneys #kidneycare #nephrology
0
10
24
@EraRegistry
ERA Registry
3 years
Our ESPN/ERA Registry study found that comorbidities in European paediatric KRT patients were associated with lower rates of kidney transplantation and higher mortality risk, particularly in lower income countries. https://t.co/eA9BlrGtOe
0
1
2
@ERAkidney
ERA - European Renal Association
3 years
🟢ERA Registry fellowships🟢 🔍The ERA offers fellowship opportunities at the ‘ERA Registry’ office located at the Amsterdam University Medical Centers in The Netherlands. 📆Deadline: April 13, 2023 Apply now 👉 https://t.co/HttJ3B9l9R
0
3
10
@EraRegistry
ERA Registry
3 years
Our survey among kidney transplantation experts unravels the factors that may explain the observed differences in kidney transplantation rates between European countries. https://t.co/rUepTqXh3h
0
0
1
@EraRegistry
ERA Registry
3 years
In our recent study, we show an increase in the kidney transplantation rate across Europe, reflecting a rise in kidney transplantation from deceased donors and to a lesser extent from living donors.
@NDTsocial
NDT
3 years
🆕study from the ERA Registry: Trends in kidney transplantation rate across Europe ➡️the total KT rate increased due to a rise in the KT rate from deceased donors and to a lesser extent from living donors 📖 https://t.co/nUveGTD2QY🔓 @EraRegistry
0
1
7
@EraRegistry
ERA Registry
4 years
ERA Registry data show an increase in the incidence and prevalence of KRT for ESKD and in KRT patient survival. doi: 10.1093/ndt/gfac165 @ERAkidney @NDTsocial
0
6
14
@EraRegistry
ERA Registry
4 years
Nephrologists from across Europe joined us this weekend in Krakow, Poland, for our CME Introductory Course on Epidemiology
0
1
10
@EraRegistry
ERA Registry
4 years
During this year’s ERA Congress, Kitty Jager will have the honor of presenting the Nephrology Pearls in the field of Epidemiology and Clinical Nephrology, 11:15AM, plenary hall.
0
1
3
@EraRegistry
ERA Registry
4 years
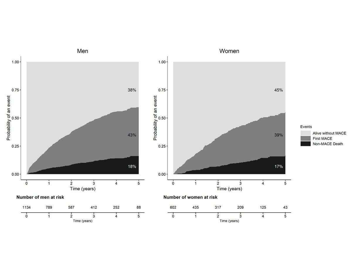
Elderly CKD patients are at risk for cardiovascular events, but does sex make a difference? Tune in 21 May 2022 at 17:43- Virtual Hall 1 to hear Megan Astley's talk on the impact of sex on the risk of major adverse cardiovascular events: results from the EQUAL study.
0
1
1
@EraRegistry
ERA Registry
4 years
Don’t miss Vianda Stel’s presentation on the use of target trial emulation to prevent important biases in studies comparing dialysis with transplant survival. May 20th, 5PM, Plenary Hall.
0
1
1