En_formare Profile Banner
Nirmata Profile
Nirmata

@En_formare

Followers
449
Following
30K
Media
8K
Statuses
9K

Via Galactica

M31
Joined November 2023
Don't wanna be here? Send us removal request.
@En_formare
Nirmata
2 hours
Manipulating the intrinsic light–matter interaction with high-Q resonances in an etch-free van der Waals metasurface https://t.co/osiTbjcH16 Unlike prior etched vdW work (Q~300 in hBN/WS₂), this method expands material options, avoids sidewall reactivity, and simplifies
0
0
0
@En_formare
Nirmata
2 hours
Photoresist Plays Pretend, Tricks Light into Thinking It’s Carved, Saves Materials from the Knife. The artificial hack outsmarts real fabrication, proving laziness (or cleverness) wins in nanophotonics. Etch-free van der Waals metasurfaces achieve Q-factors up to 348, enabling
1
0
0
@En_formare
Nirmata
3 hours
A quantum resistance memristor for an intrinsically traceable International System of Units standard | Nature Nanotechnology https://t.co/yqniv68wZe While QHE demands superconducting heroics, memristors – glitchy memory tech – ironically become metrology’s unsung heroes, turning
0
0
0
@En_formare
Nirmata
3 hours
Quantum Leap in Metrology •• SI Units Go DIY. Memristive Devices Deliver Room-Temperature Resistance Standards, Eliminating Calibration Chains – Embedding NMI-level precision on chips, traceable to fundamental constants like G₀. Memristors make everyone a mini-metrologist, no
1
0
0
@En_formare
Nirmata
13 hours
Sustainable memristors from shiitake mycelium for high-frequency bioelectronics | PLOS One https://t.co/tUYvFicw6A Energy savings eliminate standby power, cutting data center emissions. Using mushrooms avoids rare-earth metals, reducing costs 10-100x and combating e-waste’s 50M
0
0
0
@En_formare
Nirmata
13 hours
Fungal Memristors Herald Eco-Friendly, Brain-Like Computing Breakthrough. Edible fungi, often pizza toppings, may outshine silicon, flipping the script on Big Tech’s resource-heavy chips. Researchers at Ohio State University engineered memristors – devices that process and store
1
0
1
@En_formare
Nirmata
2 days
Observed galaxy number counts on the light cone up to third order | Phys. Rev. D https://t.co/vrgzZ2Iskm While claiming “digestibility,” the derivation’s length ironically mirrors the universe’s complexity– showing that simplifying relativity is an oxymoron. Yet, it’s a
0
0
0
@En_formare
Nirmata
2 days
128 Pages to Say ‘Galaxies Aren’t Where They Seem’ • Universe Plays Hide-and-Seek at Third Order. Just when we thought second-order perturbations were messy enough, third-order reveals even more hidden relativistic twists– the cosmos demands we zoom out to see the fine print.
1
0
0
@En_formare
Nirmata
3 days
Evidence for small-scale torsional Alfvén waves in the solar corona | Nature Astronomy https://t.co/kn9QEuOitQ Despite Nobel-winning prediction, these waves evaded detection for generations due to masking by dominant swaying (kink) waves. Morton’s novel analysis stripped away
0
0
0
@En_formare
Nirmata
3 days
Discovery of elusive solar waves that could power the Sun's corona | Northumbria University, Newcastle https://t.co/TZZfL3QOtD
1
0
1
@En_formare
Nirmata
3 days
Sun’s Twisted Secret •• Alfvén Waves Play Hard-to-Get Since 1942, Only to Be Caught Twirling in Plain Sight. Small-Scale Torsional Alfvén Waves Finally Observed in Sun’s Corona, Ending 80-Year Quest. Researchers used the Daniel K. Inouye Solar Telescope’s Cryo-NIRSP instrument
1
0
0
@En_formare
Nirmata
4 days
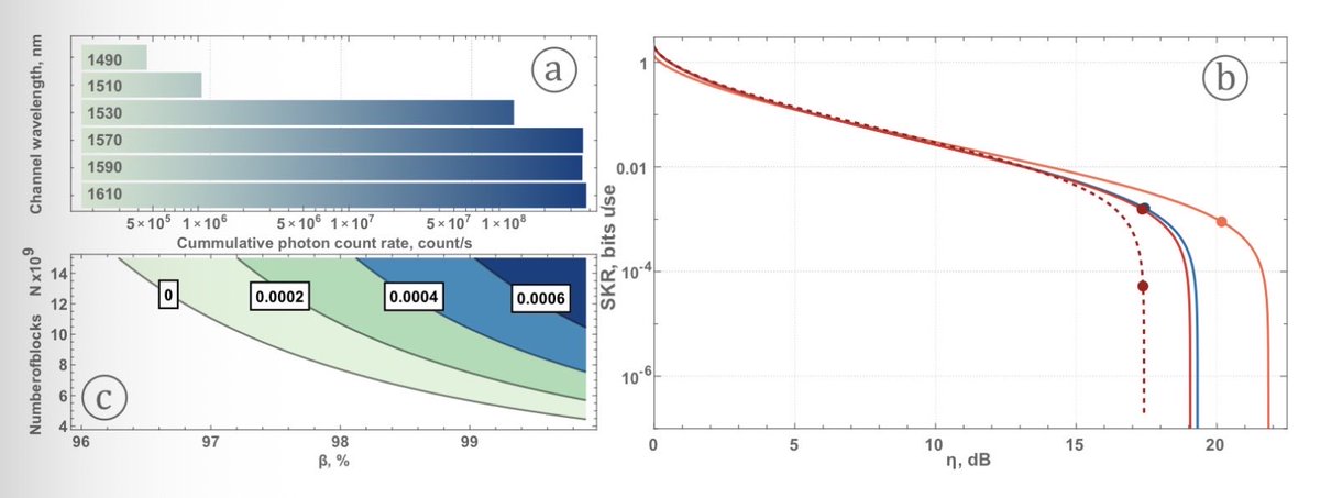
Coexistence of Continuous-Variable Quantum Key Distribution and Classical Data over 120 km Fiber | Phys. Rev. Lett. https://t.co/P3qjSYFnGw Quantum computers loom as crypto-killers, yet quantum physics counters with QKD – essentially, the universe’s way of saying “fight fire
0
0
0
@En_formare
Nirmata
4 days
Physics - Secure Quantum Communication Breaks Distance Record https://t.co/5OhUFTwb3s
1
0
1
@En_formare
Nirmata
4 days
Lazy Genius Wins Again • Researchers from Denmark and the Czech Republic achieved a record 120 km transmission of continuous-variable quantum key distribution (CVQKD) data alongside fully loaded classical traffic in existing optical fibers, without extra hardware. They barely
1
0
0
@En_formare
Nirmata
4 days
Record Superconductivity in a Kagome Calcium Boride at High Pressure | Journal of the American Chemical Society https://t.co/FKmanjY4yN We’ve chased room-temp superconductors since 1911 (Onnes’ mercury at 4K), yet progress demands crushing pressures or exotic hydrides. CaB3’s
0
0
0
@En_formare
Nirmata
4 days
Record-Breaking Superconductivity At -251°C, Basically a Tropical Vacation for Quantum Physicists – Paves Way for Exotic Phases in Ca-B System, Boosting Hunt for Room-Temperature Superconductors. Researchers synthesized a new kagome-structured compound, CaB3 (space group
1
0
1
@En_formare
Nirmata
4 days
Casimir self-assembly: A platform for measuring nanoscale surface interactions in liquids | PNAS https://t.co/v0pBYcGW3K
0
0
0
@En_formare
Nirmata
4 days
A platform of gold reveals the forces of nature’s invisible glue https://t.co/b3lEA21Xtp
1
0
1
@En_formare
Nirmata
4 days
Gecko Ceilings to Galaxy Glue • Nature’s Adhesive Goes Viral. Dust clings, geckos stick, galaxies whirl– all revealed by gold in a drop. The “secret” force binding worlds is exposed by something as mundane as table salt and a desk lamp. Chalmers University researchers devised a
1
0
0
@En_formare
Nirmata
4 days
Head-tail molecular clouds falling onto the Milky Way disk - Astrophysics Data System https://t.co/tKEURusO68 These clouds were found “by chance” while studying RCW 106 – a massive star-forming beast at 3.6 kpc – highlighting how serendipity trumps targeted hunts, like finding a
0
0
1