Dr_ibrahimHarbi Profile Banner
إبراهيم الحربي Ibrahim Alharbi Profile
إبراهيم الحربي Ibrahim Alharbi

@Dr_ibrahimHarbi

Followers
9K
Following
2K
Media
579
Statuses
4K

KFSHRC fellowship graduate🫀Scholar Fellow @ACCinTouch @crfheart @SCAI Ambassador @ccijournal @MiskKSA النجاح بوابته الأخطاء والتجارب - حساب شخصي لا يمثل أي جهة

🇸🇦 🇺🇸 🇨🇦
Joined August 2012
Don't wanna be here? Send us removal request.
@Dr_ibrahimHarbi
إبراهيم الحربي Ibrahim Alharbi
3 years
Thanks to everyone who supported to reach this step and win international fellows competition 🇸🇦 #ACC23 #FIT @ACCinTouch
40
31
179
@Dr_ibrahimHarbi
إبراهيم الحربي Ibrahim Alharbi
2 days
Trip this weekend to San Francisco for #TCT2025 Glad to be part of this global scientific program and to present some of our collaborative research including one featured in the Late Breaking Clinical Science session. Looking forward to learning & meeting colleagues worldwid 🌎
1
2
22
@Dr_ibrahimHarbi
إبراهيم الحربي Ibrahim Alharbi
5 days
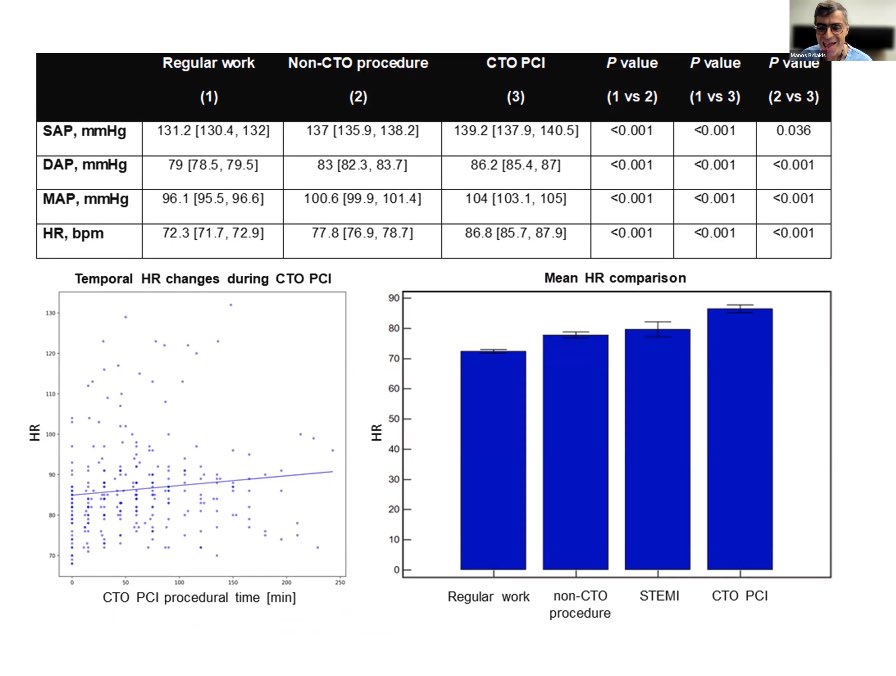
Fascinating data i came across today from Alexandrou M et al., JIC 2025 (in press) and Maksymlian P et al. showing how complex PCI challenges vital signs in both patients and operators. Also highlights differences in autonomic response between fellows & attendings. @esbrilakis
2
1
12
@Dr_ibrahimHarbi
إبراهيم الحربي Ibrahim Alharbi
14 days
A library is a place where silence speaks louder than words
1
0
9
@vistamedfmc
🎓VistaMed
19 days
💥 Ready to kickstart your residency? Join 💪🏽 Starting Strong: The Internal Medicine Bootcamp for Beginners & Part 1 Exam Prep! ✅ Live interactive sessions ✅ Exam-focused review ✅ Learn from top educators Don’t miss your chance to start strong! 📅 October 31 – November 8,
1
15
30
@Dr_ibrahimHarbi
إبراهيم الحربي Ibrahim Alharbi
1 month
I became increasingly convinced that AI can augment rather than replace clinicians. Data is useless without wisdom
@Dr_ibrahimHarbi
إبراهيم الحربي Ibrahim Alharbi
6 months
Honored to be accepted and enrolled in the upcoming batch of the ‘Artificial Intelligence in Health Care’ program at the Massachusetts Institute of Technology (MIT), Cambridge
0
0
10
@Dr_ibrahimHarbi
إبراهيم الحربي Ibrahim Alharbi
1 month
~ 1 week left before abstract submission closes
@Dr_ibrahimHarbi
إبراهيم الحربي Ibrahim Alharbi
3 months
~ 1 week left before abstract submission opens. Grateful for the kind invitation to be a reviewer #ACC26
0
0
6
@Dr_ibrahimHarbi
إبراهيم الحربي Ibrahim Alharbi
2 months
My Takeaways from #ESCCongress2025 #LBCT Followed remotely, Thnx to those who spread this huge knowledge globally🫀#ESCCongress #ESC2025 #CardioEd
@Dr_ibrahimHarbi
إبراهيم الحربي Ibrahim Alharbi
7 months
My Takeaways from #ACC25 @ACCinTouch
5
168
544
@Dr_ibrahimHarbi
إبراهيم الحربي Ibrahim Alharbi
2 months
It was great educational weekend at @MayoClinicCV Excellent Interventional Cardiology review for the board exam and recertification.
0
0
16
@ZHeart11768530
The Heart
1 year
@Dr_ibrahimHarbi
إبراهيم الحربي Ibrahim Alharbi
2 years
My ANKI Cardiology Notes 🫀 https://t.co/oig6PosO2m (~500 high yield notes and will be updated frequently. I hope someone will find them helpful 🙏🏼)
1
36
87
@Dr_ibrahimHarbi
إبراهيم الحربي Ibrahim Alharbi
2 months
My Takeaways from #ESCCongress2025 #LBCT Followed remotely, Thnx to those who spread this huge knowledge globally🫀#ESCCongress #ESC2025 #CardioEd
@Dr_ibrahimHarbi
إبراهيم الحربي Ibrahim Alharbi
7 months
My Takeaways from #ACC25 @ACCinTouch
5
168
544
@kmarfaj1
د خالد العرفج| Dr. Khalid Al-Arfaj
2 months
القيل والقال، مُستنقع فوضوي مُجرّد الخروج منه مكسب عظيم ، لا يُقدّر بِثمن ...
1
10
20
@You9F_
د. يوسف ال زاهب
3 months
@Dr_ibrahimHarbi @vistamedfmc نتشرف بقامة علمية مثلك وطبيب خلوق🌷🌷
1
1
1
@nothing04040
د.احمد القبيضي
2 months
اللي عنده شغف بتخصصه يبين بإبداعه د.ابراهيم الحربي ما قصر في شرحه اليوم 🙏🏻
2
2
15
@Dr_ibrahimHarbi
إبراهيم الحربي Ibrahim Alharbi
2 months
سعدت اليوم بلقاءكم @vistamedfmc وشكراً على الدعوة أتمنى لاقت على الاستحسان وللعلم هي مسجلة لمدة ٦ أشهر للوصول لها بوقت لاحق لمن لم يستطع الحضور Thank you all, and I hope it meets your expectations. The session is recorded and will be available for 6 months if you’d like to
2
12
79
@Dr_ibrahimHarbi
إبراهيم الحربي Ibrahim Alharbi
3 months
~ 1 week left before abstract submission opens. Grateful for the kind invitation to be a reviewer #ACC26
0
0
11
@machealthsci
McMaster Health Sciences
3 months
Mohammed Shobain never imagined working alongside the likes of Cristiano Ronaldo, but a fellowship at @McMasterU helped propel him to the sidelines of elite football. @MacDeptMed https://t.co/O9gWigphgW
Tweet card summary image
healthsci.mcmaster.ca
When Mohammed Shobain joined McMaster University for a fellowship in sports medicine in 2023, he never imagined it would help catapult him into the world of elite football. Now, Shobain has returned...
0
2
6
@Dr_ibrahimHarbi
إبراهيم الحربي Ibrahim Alharbi
3 months
It is a great pleasure joining the DCB Academy under the supervision of a distinguished mentor @BernardCortese Thank you for the trust and I'm also fortunate to be surrounded by such talented fellows and colleagues.
2
0
16
@Dr_ibrahimHarbi
إبراهيم الحربي Ibrahim Alharbi
4 months
Finally caught the #Chelsea Semi Final match! Good luck blues @ChelseaFC World Cup match timings need to be reconsidered ☀️ ⏰ #تشلسي_فلومينينسي
0
0
10
@Dr_ibrahimHarbi
إبراهيم الحربي Ibrahim Alharbi
4 months
In yesterday’s Friday sermon, the preacher during these blessed days of Muharram and in the presence of people from diverse backgrounds, highlighted a profound Islamic value: Equality. There is no difference between people based on race or any other factor. This is a principle
0
0
12