DarkFootstep Profile Banner
The Footsteps in the Dark Podcast Profile
The Footsteps in the Dark Podcast

@DarkFootstep

Followers
95
Following
3
Media
189
Statuses
756

A deep dive investigative documentary true crime podcast series. Season Two- The Story of John Woodward coming soon!

Fargo, North Dakota
Joined August 2022
Don't wanna be here? Send us removal request.
@DarkFootstep
The Footsteps in the Dark Podcast
7 months
Dear Gov. Walz, A large envelope with a letter and exhibits totally around 250 pages should be arriving soon. The letter clearly shows that John Woodward was framed in your state. Additionally, I've written seven articles now on the case for anyone to read. Perhaps you can
1
0
8
@DarkFootstep
The Footsteps in the Dark Podcast
3 days
1
0
3
@DarkFootstep
The Footsteps in the Dark Podcast
3 days
This is self-professed "I am antifa" militant crossdresser Kyle Wagner's ex-wife, Cristina. He filed for divorce in February 2021. According to records, they have a daughter. His custody arrangement was revised in 2024 because of a mental breakdown, inconsistent living and
4
4
8
@DarkFootstep
The Footsteps in the Dark Podcast
9 days
I just finished syncing 5 different angles of the Renee Good/ICE shooting. It is over 7-minutes of footage.
0
1
3
@DarkFootstep
The Footsteps in the Dark Podcast
15 days
This is Maria Hadley, the latest Trump accuser, before deleting her Facebook page. She doesn't like poor fitting uniforms. Apparently.
0
0
2
@DarkFootstep
The Footsteps in the Dark Podcast
16 days
Question: How much does a suburban weigh? https://t.co/8ymyuWfMc4
@keithedwards
Keith Edwards
16 days
Braver than the marines
0
0
1
@DarkFootstep
The Footsteps in the Dark Podcast
18 days
Man, I can't wait for you to take the same dedication to fight against the nonsense your own party is putting out there, Keith. Oh, wait.
0
0
1
@DarkFootstep
The Footsteps in the Dark Podcast
23 days
Still can't figure out how a case number that originated on July 9th, 2006 shows up on a case that doesn't enter the court system until 2007...but allegedly occurs three weeks before July 9th. Or how it was "Cleared by Arrest" when no arrest occurred. Or why the original amended
0
1
2
@DarkFootstep
The Footsteps in the Dark Podcast
30 days
Instead of exposing the fraud in Minnesota's criminal justice system, I decided to take the easy road to riches.
0
0
1
@DarkFootstep
The Footsteps in the Dark Podcast
1 month
There's much wrong about the "Epstein Postcard"
0
1
1
@DarkFootstep
The Footsteps in the Dark Podcast
1 month
The postmark says "NOVA 220". It comes from Virginia.
0
0
0
@DarkFootstep
The Footsteps in the Dark Podcast
1 month
Actual Epstein signature.
0
0
0
@DarkFootstep
The Footsteps in the Dark Podcast
1 month
Actual Epstein handwriting found in his cell.
0
0
0
@DarkFootstep
The Footsteps in the Dark Podcast
1 month
Jeffrey Epstein wrote Larry Nassar a postcard that was postmarked 3-days after Epstein's death? Nevermind that: 1)It is postmarked 3 days after Epstein died. 2) It lists the "Manhattan Correctional Center", but was actually the "Metropolitan Correctional Center". 3) The
3
0
1
@DarkFootstep
The Footsteps in the Dark Podcast
1 month
In 2020, co-defendant Michelle McPhillips told Woodward's PI the truth. She was coerced into testifying about a drug deal that never happened. It was a false narrative put forth in a 2006 search warrant. This false narrative starts with the adolescent-like mention of a 69-minute
0
0
0
@DarkFootstep
The Footsteps in the Dark Podcast
2 months
Minnesota isn't mathing well. $500 million divided by 80,000 is $6250 per year per Somali-American. "At least" means they have no clue how to value their contributions in Minnesota. If you're going to make up a number, at least make it respectable. Clearly someone at KTSP thought
0
0
0
@DarkFootstep
The Footsteps in the Dark Podcast
2 months
It should be interesting to see how Phillip Vance's Petition for Post-Conviction Relief ends up. It looks like they're dragging their feet on it. A lot of the same names as John Woodward's case- Judge Rex 'Return to Sender' Stacey, and Woodward's former neighbor Jim Backstrom. I
0
0
0
@DarkFootstep
The Footsteps in the Dark Podcast
2 months
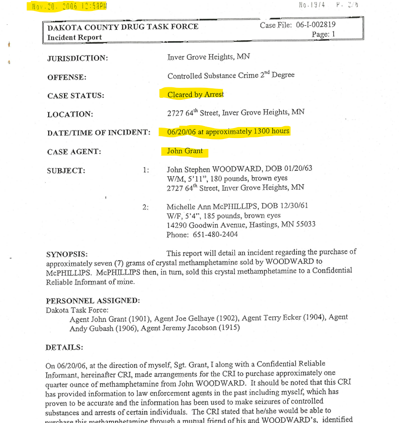
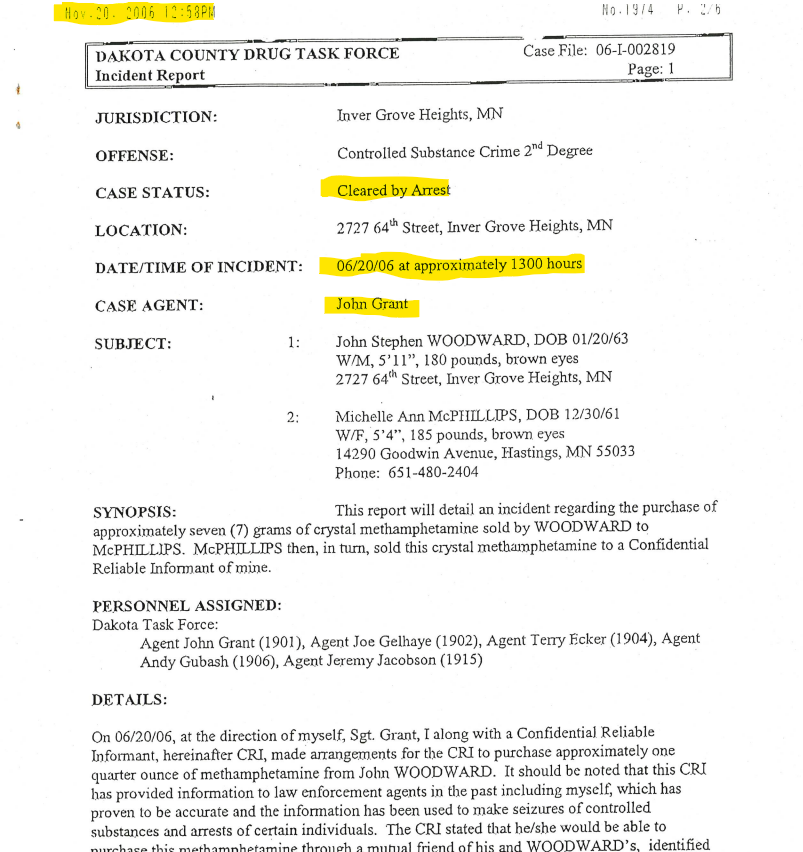
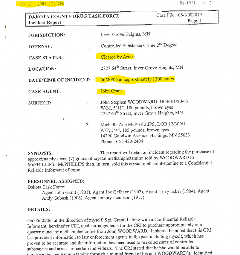
Several months after being charged for a bogus conspiracy drug charge, Woodward was strangely charged with 2nd degree drug sale for a crime that allegedly happened one month before the first charge. Weird, right? It gets weirder. According to the late arriving incident report,
0
0
0
@DarkFootstep
The Footsteps in the Dark Podcast
2 months
Women in America, did you have a bad night with a truck driver from Minnesota? The family of missing person Veronica "Voni" Safranski would like to hear your story. To date, we've uncovered eleven alleged victims. He has gone by Kevin and/or Scott Skjerven. He was known to
0
0
0
@DarkFootstep
The Footsteps in the Dark Podcast
2 months
December 2024: John Woodward listened to Thomas Jackson's confession for the first time and we filmed it. In 2010, Jackson claimed Woodward tried to hire him to kill Dakota County Attorney James Backstrom. Turns out...that isn't what happened, yet Woodward was convicted and
0
0
0