
DIPR Kargil
@DIPR_Kargil
Followers
14K
Following
3K
Media
11K
Statuses
17K
Official X handle of Department of Information & Public Relations, Kargil, Ladakh. Follow on Facebook: https://t.co/3zOzUpRDw5
Kargil
Joined November 2019
LAHDC KSSRB notifies final dates for conduct of written Examination for various District Cadre posts. @airnewskargil @ddnewsladakh @vol_ladakh @GulistanLadakh_
0
0
0
CEC Kargil, Dr. Jaffer Akhoon met with students of GDC Zanskar at Ladakh Bhawan, Delhi. The students are currently on a study, exposure tour to enhance their academic understanding & practical insights through interactions and institutional visits in the national capital.
0
0
4
LSSSB provides opportunity to re-upload Photograph and Signature. For more details and list visit the official website. @airnewskargil @ddnewsladakh @GulistanLadakh_ @vol_ladakh
0
2
1
Deposit of 2nd Installment of Rs 1,25,000 for Haj 2026 G. @airnewskargil @ddnewsladakh @GulistanLadakh_ @vol_ladakh
0
1
0
Deputy Commissioner Kargil issues order withdrawing restrictions imposed in Kargil District under 163 BNSS 2023. @airnewskargil @ddnewsladakh @GulistanLadakh_ @vol_ladakh
0
2
2
OpenAI and Walmart are bringing shopping to ChatGPT — soon you’ll be able to chat, choose, and check out. Would you shop this way?
0
0
2
The programme was graced by Sheikh Bashir Shakiri, member of IKMT, Sheikh Mahboob Vijdani, Imtiyaz Hussain (Drug De-Addiction Centre Manager), Diskit Angmo, Principal of GDC Kargil, faculty members & students of the college. @airnewskargil @ddnewsladakh @vol_ladakh
0
0
0
A Mass Pledge Taking and Awareness Program was organized at GDC Kargil as a pre-event for the upcoming 5th anniversary of the “Nasha Mukt Bharat Abhiyan”. The event was conducted by the Drug De-Addiction Centre (DDAC) Kargil. @HealthKargil @dc_Kgl
1
0
2
CEC Kargil, Dr. Mohammad Jaffer Akhoon, today visited the Ladakh Bhawan Kargil Wing located at Plot No. HAF-2, Sector 18A, Dwarka Phase II, Opposite Engineers Apartment, New Delhi, to review the progress of ongoing construction works. @drajaffer @LAHDC_Kgl @airnewskargil
0
2
9
The camp was a joint effort of the Chanigund Battalion, Kargil, in coordination with the Military Hospital Kargil and the District Hospital Kargil, aimed at promoting preventive healthcare and fostering stronger civil-military relations.
0
0
0
Meet Plaud Note Pro, the world's most advanced AI note taker! + Press to highlight – capture key ideas instantly, on device + Studio-quality audio – 4 MEMS microphones with AI beamforming, clear up to 16.4 ft + Smart Dual Mode – seamless recording for both meetings and phone
15
11
95
A comprehensive Civil-Military Health Initiative under the banner “Swasth Nari, Sashakt Parivar Abhiyaan – Life is Beautiful with Family” was successfully organized today at Karkit Majdass, Kargil. @HealthKargil @airnewskargil @ddnewsladakh
1
0
1
Allotment of five hundred (500) Haj seats under Mehram Category. Read the notice for more details. @airnewskargil @ddnewsladakh @vol_ladakh
0
0
2
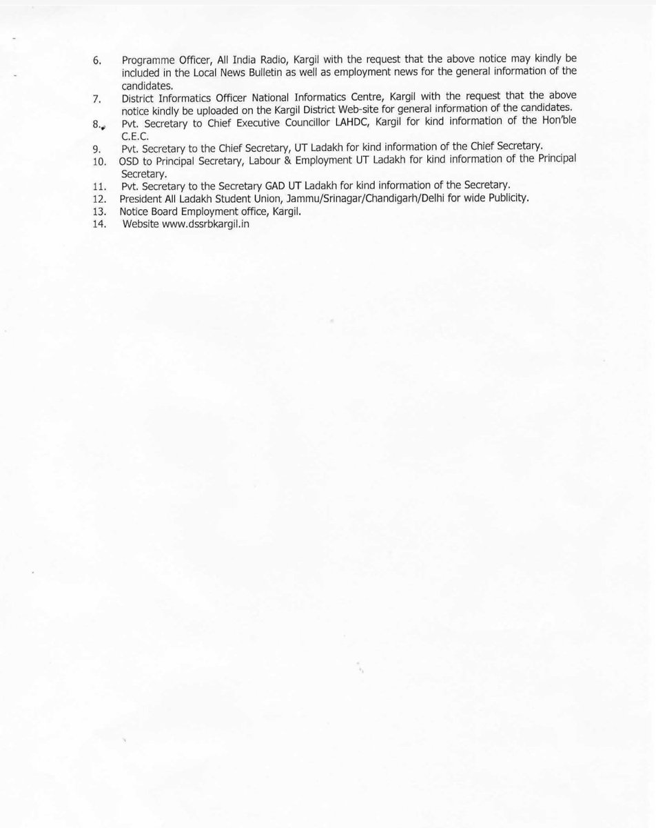
Tentative list of candidates found ineligible for the posts of Safaiwala/ Ladderman/ Orderly / Chowkidar / Process Server / Orderly/ Class IV.
0
1
7
Hajj Committee Ut Ladakh issues notice for selection of State Hajj Inspectors for Hajj 2026 G (1447 H). @airnewskargil @ddnewsladakh @GulistanLadakh_ @vol_ladakh @DIPR_Ladakh @Haneefa_Jan
0
1
3
JUDGEMENT Court holds Dabur India liable for misbranding 'Glucose-D'. A penalty of ₹2,80,000 imposed for false Vitamin D claims on the label. @airnewskargil @ddnewsladakh @GulistanLadakh_ @vol_ladakh
0
1
3
Grant of Non Political/ Non Religious Involvement certificate.
0
0
1
0
0
0
MP Ladakh, Haneefa Jan conducted an extensive tour of Drass to review ongoing developmental works and assess local issues on the ground. The MP was accompanied by ADC Kargil, Imteeaz Kacho, SDM Drass, Vishal Atri with heads of various departments and concerned officials.
1
0
0
Merit list of candidates for hiring staff at Netaji Hostel Youljuk under Samagra.
2
0
1
Department of Zoology, Government Degree College Kargil, Sankoo Campus, celebrated World Thrombosis Day 2025 with great enthusiasm and awareness on the causes, prevention, and treatment of thrombosis — a leading cause of mortality worldwide. @gdckofficial @ULadakh
0
1
5
I’ve been fighting the Outlook inbox battle for myself & others, here's how to reclaim your time with 5 Outlook hacks. 🧵1/5 Tip 1: THE UNSUBSCRIBE TRICK Create a rule that moves anything from your inbox to a separate folder containing the words “unsubscribe” or “email
4
0
4