
Digestive Diseases and Sciences
@DDS_Journal
Followers
845
Following
5
Media
288
Statuses
643
🎖️Editor's Choice: @john_damianosMD et al. from @MayoClinic reported on 24 patients with Yao syndrome ➡️100% had GI symptoms (esp constipation and bloating) ➡️all tested having dyssynergic defecation https://t.co/l2kSGYxZ1w
link.springer.com
Digestive Diseases and Sciences - Yao syndrome (YAOS) is a NOD2-associated autoinflammatory disease characterized by periodic fevers, dermatitis, polyarthritis, swelling of the distal extremities,...
0
1
3
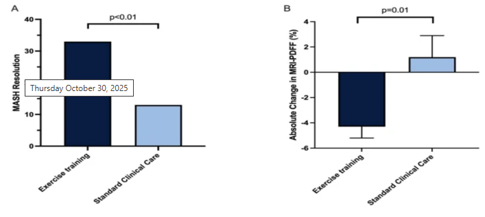
NASHFit RCT 🤼moderate aerobic exercise training vs. SOC ➡️20 wks: ↑ MASH resolution (33% vs. 13%) 🔗 https://t.co/Bi3GtUPMZ2
0
3
2
#Colonoscopy for heart 🫀transplant candidacy: 👉LVEF <30% (n=231) 🆚 >30% (n=91) ⏺️Retrospective, single center ⏺️Bowel prep and scope in a monitored, inpatient setting 🔑Similar AEs and no SAEs 🔑Similar ADR 🔗 https://t.co/EpXMytGecq
link.springer.com
Digestive Diseases and Sciences - Pre-cardiac transplant evaluation, including colorectal cancer screening, is vital for organ allocation. Data on colonoscopy risks in transplant candidates are...
0
2
1
🎖️Editor's Choice: Ramai et al. from Boston and Saudi Arabia retrospectively analyzed 763 patients who underwent ESD 🔑prior manipulation (e.g., EMR, tattoo) or submucosal fibrosis = ⬇️lower success of subsequent ESD 🔗 https://t.co/oJkUH8mRMl
link.springer.com
Digestive Diseases and Sciences - Endoscopic submucosal dissection (ESD) is a minimally invasive technique for en-bloc resection of superficial gastrointestinal lesions. However, the influence of...
0
0
0
Is #IBD a risk factor for perforation during #colonoscopy? Systematic review/meta-analysis 🙂Good news. Short answer is no. 🤔Possible risk factors to consider: disease severity, corticosteroid use 🔗 https://t.co/TEDLsMPWh5
0
0
0
#MELD-Na vs. MELD3.0 ➡️ consistent discrimination across major ethnic/racial groups ⚠️ at higher values, both can overestimate outcomes 🗒️ some site-specific differences exist 🔗 https://t.co/FQLhVTClsC
0
2
3
Meta-analysis: Interplay of immunity and gut microbes🦠in #IBS ⬆️Pro-inflammatory cytokines (TNF, IL-6) ⬇️Anti-inflammatory cytokines (IL-10) ⬆️Bacteroidetes ⬇️Firmicutes https://t.co/N815iwaryx
0
0
0
Image of Month: Gastric #cancer metastasis mimicking rectal #IBD This case reminds us to be vigilant about malignancy in IBD. https://t.co/12CuXyVDJc
0
0
0
What are predictors for achieving textbook outcomes after endoscopic resection of GIANT submucosal tumors in esophagus and cardia? https://t.co/w4jjSK5JbS
0
0
0
Mishra et al studied 100 patients who underwent EUS/FNA for pancreatic cysts, reporting a diagnostic accuracy of > 90% for most cases with a consequent reduction in the need for surveillance in those with benign lesions. https://t.co/GBPGruLim0
0
0
0
Alsakarneh et al retrospectively studied the response of patients with pouchitis and resulting from IBD surgery, finding that treatment with bile acid sequestrants was noninferior or possibly superior to the current standard, antibiotic treatment. https://t.co/1TdUKUwsjd
1
1
13
Culpepper et al tested the effect the probiotic yeast S. boulardii engineered to adhere to fibronectin and release TNF nanobodies on colonic inflammation and tumor burden in mice. The native and engineered yeast both reduced inflammation and tumor burden. https://t.co/dP8eRJsDhk
0
0
0
Dang et al from Vietnam and Australia conducted a retrospective study of subjected aged 18-50 with advanced polyps or colorectal cancer, finding that that siblings of the same age group had a much higher risk of colorectal cancer than did matched controls.
link.springer.com
Digestive Diseases and Sciences - The risk of colorectal advanced adenomas (CAAs) and colorectal cancer (CRC) in siblings aged ≤ 50 of patients diagnosed with early-onset CAAs...
0
0
0
↑ inpatient mortality during all COVID-19 variants except Omicron vs pre-COVID 1.2 ↑ odds of 30-day readmission pre-vaccination vs. pre-COVID Check out the full article in @DDS_Journal by @2higMD et al here:
0
0
2
Fast forward to 2022, Jens Holst reflects on his pioneering discovery in a fascinating perspective piece.
link.springer.com
Digestive Diseases and Sciences - In 1993, my laboratory published an article in Digestive Diseases and Sciences that clearly demonstrated the pronounced effects of the newly discovered intestinal...
0
0
0
In 1993, groundbreaking research in DDS unveiled the impact of GLP-1 on human GI functions, redefining our understanding of gastric emptying and more.
link.springer.com
Digestive Diseases and Sciences - We studied the effect of intravenous infusion of synthetic truncated GLP-1 (proglucagon 78–107-amide) on fasting and postprandial gastric acid secretion,...
0
0
0
Gastroparesis induced by atropine or dopamine worsened NSAID-induced gastric antral ulcer formation in refed mice via enhanced bile reflux via 5-HT3 and dopamine D2 receptors, with the possible involvement of increased duodenal motility. https://t.co/i7FSfvNpXh
0
0
1
The prevalence of esophageal inlet patch (IP), a finding of controversial consequence, was reported to be of higher among patients with Barrett’s esophagus (BE) along with pathophysiological similarities of IP and BE, suggesting shared etiology.
link.springer.com
Digestive Diseases and Sciences - Esophageal inlet patch (IP) with heterotopic gastric mucosa is an incidental finding on esophagogastroduodenoscopy (EGD). Although IP is thought to be embryologic...
0
0
2
Long-standing but not new-onset diabetes is associated with increased mortality among patients with pancreatic cancer. This information has implication for prognostication and risk stratification among pancreatic cancer patients. https://t.co/DXPmBqBTly
0
0
2
Obri et al from Detroit, Michigan, in an analysis of liver center registry data, reported that referral for end-of-life care in patients with advanced, terminal hepatocellular carcinoma were more common among Black than in white patients.
0
0
0