CeydaSayali Profile Banner
Ceyda Sayalı Profile
Ceyda Sayalı

@CeydaSayali

Followers
738
Following
897
Media
30
Statuses
312

On a (world) journey to understand the human mind & brain. Faculty @JHPsychedelics | BA @kocuniversity | PhD @BrownUniversity @BadreLab | Postdoc @CoolsControl

Baltimore, MD, USA
Joined June 2019
Don't wanna be here? Send us removal request.
@JHPsychedelics
Johns Hopkins Psychedelic Research Center
5 months
‼️NEW STUDY FOR HEALTHY VOLUNTEERS‼️ Join our study at Johns Hopkins exploring how psilocybin—a naturally occurring compound in mushrooms—affects brain activity and function. Our study uses safe, noninvasive methods like EEG, fMRI, transcranial magnetic stimulation (TMS), and
1
12
30
@JHPsychedelics
Johns Hopkins Psychedelic Research Center
5 months
That’s a wrap on Psychedelic Science 2025! We had a fantastic time presenting our research and connecting with both new and familiar faces in the field. Grateful for the conversations, collaborations, and inspiration. Excited for what’s ahead! @PsychedelicSci @MAPS @BWe1ss
1
8
44
@EliWeisman
Eli
5 months
Honored to have attended my first conference this past week at #CPDD2025 in New Orleans. Huge thank you to @CeydaSayali and @FredBarrettPhD for the opportunity and mentorship!
1
3
8
@CeydaSayali
Ceyda Sayalı
7 months
Live near Baltimore? I'm recruiting for a TMS/EEG study involving psilocybin. Come be part of cutting-edge neuroscience research!
@JHPsychedelics
Johns Hopkins Psychedelic Research Center
7 months
Join our brain stimulation research study! Researchers at Johns Hopkins are investigating the effects of psilocybin—a psychoactive compound found in mushrooms—on brain activity and function using transcranial magnetic stimulation, EEG, fMRI, and cognitive testing. Scan the QR
0
7
14
@BWe1ss
Brandon Weiss
9 months
Pleasure to a be a part of this timely review examining the relevance and safety of psychedelic therapy for the treatment of personality pathology. Outstanding work Brennan, @RickZeifman, and team.
@JHPsychedelics
Johns Hopkins Psychedelic Research Center
9 months
CPCR Assistant Professor @BWe1ss and colleagues just published a review examining the clinical utility and relevance of psychedelic therapy for personality disorders (PDs), including safety considerations, gaps and limitations, and recommendations for approaching psychedelic
0
3
18
@ExistWell
David B. Yaden
10 months
Join the world’s premier psychedelic research center! My lab at @JHPsychedelics is hiring 3 Research Program Coordinators. We're looking for talented, hard-working, rigorous emerging scientists to contribute to scientific studies, including psychedelic admin trials. Links:
7
41
99
@JHPsychedelics
Johns Hopkins Psychedelic Research Center
10 months
From entropy measures to serotonin receptors, CPCR Postdoc Nate Heller and Director Fred Barrett (@FredBarrettPhD) offer their takes in Nature Hot Topics, describing how combining well-established neurocognitive tasks, comparative neuropharmacology, and carefully crafted animal
1
1
14
@JuhaGogulski
Juha Gogulski
11 months
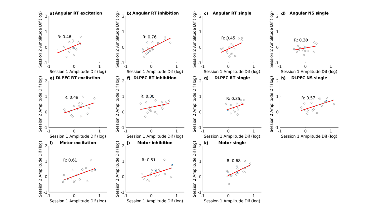
Preprint alert! We asked: does fMRI-guided targeting improve reliability of early TMS-evoked potentials (TEPs) in non-motor cortical regions like the DLPFC and angular gyrus? #TMS Thank you @CeydaSayali for the opportunity to collaborate! @JHPsychedelics @AaltoUniversity
@CeydaSayali
Ceyda Sayalı
11 months
As fMRI researchers, @FredBarrettPhD and I wanted to explore whether individualized target engagement defined by fMRI matters for TMS/EEG. But this was my first time working with TMS/EEG, and what I discovered was... surprising! 1/10
1
2
8
@CeydaSayali
Ceyda Sayalı
11 months
This distinction highlights the need for tailored approaches. For TMS-EEG, focusing on targets with the highest SNR may yield better results than strictly following fMRI connectivity-based methods, particularly in artifact-prone regions like the DLPFC. 10/10
1
0
4
@CeydaSayali
Ceyda Sayalı
11 months
Our results reveal key differences between TMS-fMRI and TMS-EEG targeting. While fMRI-based targeting optimizes functional connectivity for engaging networks, TMS-EEG needs to prioritize signal-to-noise ratio (SNR) to minimize artifacts and maximize reliability. 9/10
1
0
5
@CeydaSayali
Ceyda Sayalı
11 months
While fMRI-guided individualized targeting improves precision, it didn’t consistently enhance TEP reliability for non-motor regions. This highlights the artifact challenges unique to TMS/EEG in areas like the DLPFC and angular gyrus. 8/10
1
0
3
@CeydaSayali
Ceyda Sayalı
11 months
M1 is still the benchmark: Motor cortex showed the highest TEP reliability (mean CCC = 0.59). Non-motor regions, especially anterior DLPFC, lagged behind in reliability potentially due to artifacts. 7/10
1
0
5
@CeydaSayali
Ceyda Sayalı
11 months
Using three protocols (single-pulse, SICI, LICI) and two targeting methods (individualized/resting state fMRI-based & Neurosynth-derived coordinates), we compared TEP reliability in these regions to M1. 6/10
1
0
4
@CeydaSayali
Ceyda Sayalı
11 months
We asked: How reliable are TMS-evoked potentials (TEPs) in non-motor cortical regions like the DLPFC and angular gyrus? And does fMRI-guided targeting improve this reliability? 5/10
1
0
5
@CeydaSayali
Ceyda Sayalı
11 months
This work represents a leap from fMRI-based TMS targeting into the more artifact-prone realm of TMS/EEG. Let’s talk about what we found and why it matters.. 4/10
1
0
3
@CeydaSayali
Ceyda Sayalı
11 months
While figuring out this system from scratch, I met Pantelis Lioumis at Aalto University who not only offered invaluable insights but also became a collaborator and coauthor on this study along with his team: @JuhaGogulski, Ida Granö. I’m so grateful! 3/10
1
0
3
@CeydaSayali
Ceyda Sayalı
11 months
The noise in TMS/EEG is thousands of times greater than the signal—a challenge that stems from the complexities of combining TMS pulse with EEG. Coil-induced muscle artifacts, noise, and electrical interference all made me rethink what I thought I knew about neuroimaging. 2/10
1
0
3
@CeydaSayali
Ceyda Sayalı
11 months
As fMRI researchers, @FredBarrettPhD and I wanted to explore whether individualized target engagement defined by fMRI matters for TMS/EEG. But this was my first time working with TMS/EEG, and what I discovered was... surprising! 1/10
3
10
27
@JHPsychedelics
Johns Hopkins Psychedelic Research Center
1 year
Dr. Ceyda Sayali (@CeydaSayali) is presenting her research investigating the Neurocognitive Mechanisms of Psychedelics at the CIS & MINDS Fall Seminar today 12:00 – 1:00 EST. In-person in Clark Hall, Room 110 at Johns Hopkins University or virtually on Zoom More info at:
4
14
50
@JHPsychedelics
Johns Hopkins Psychedelic Research Center
1 year
Thrilled to share a new study in Neuron (@NeuroCellPress) led by CPCR post-doc Dr. Praachi Tiwari (@PraachiTiwari) during her PhD! This study reveals that DOI reduces anxiety through 5-HT2A receptors on the ventral hippocampal inhibitory neurons, marking a key step forward in
@PraachiTiwari
Praachi Tiwari
1 year
Very happy to finally have THE major chunk of my PhD out! @TIFRScience Grateful to all the coauthors for their amazing contribution to this work. Key highlights of the paper from @ViditaVaidya quoted below. But there are some side nuggets also - summarizing in a thread here:
5
10
38